Suppr超能文献

口腔黏膜的漫反射光谱:癌前病变早期检测可能性的体内实验验证

Diffuse Reflectance Spectroscopy of the Oral Mucosa: In Vivo Experimental Validation of the Precancerous Lesions Early Detection Possibility.

作者信息

Kolpakov Alexander V, Moshkova Anastasia A, Melikhova Ekaterina V, Sokolova Diana Yu, Muravskaya Natalia P, Samorodov Andrey V, Kopaneva Nina O, Lukina Galina I, Abramova Marina Ya, Mamatsashvili Veta G, Parshkov Vadim V

机构信息

Faculty of Biomedical Engineering, Bauman Moscow State Technical University, Moscow 105005, Russia.

Department of Therapeutic Dentistry and Diseases of the Oral Mucosa, Moscow State University of Medicine and Dentistry, Moscow 127473, Russia.

出版信息

Diagnostics (Basel). 2023 May 5;13(9):1633. doi: 10.3390/diagnostics13091633.

Abstract

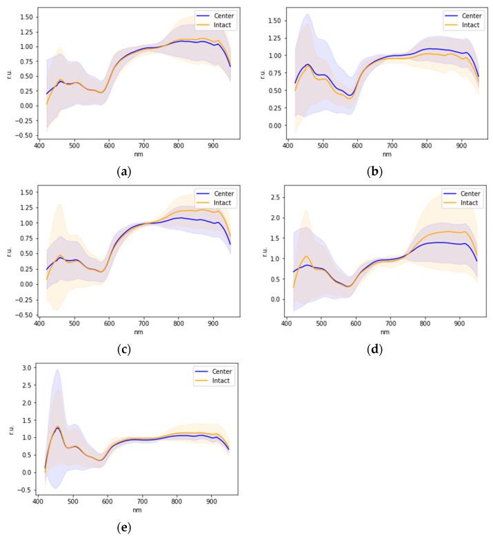
This article is devoted to the experimental validation of the possibility of early detection of precancerous lesions in the oral mucosa in vivo using diffuse reflectance spectroscopy in the wavelength range from 360 to 1000 nm. During the study, a sample of 119 patients with precancerous lesions has been collected and analyzed. As a result of the analysis, the most informative wavelength ranges were determined, in which the maximum differences in the backscattering spectra of lesions and intact tissues were observed, methods for automatic classification of backscattering spectra of the oral mucosa were studied, sensitivity and specificity values, achievable using diffuse reflectance spectroscopy for detecting hyperkeratosis on the tongue ventrolateral mucosa surface and buccal mucosa, were evaluated. As a result of preliminary experimental studies in vivo, the possibility of automatic detection of precancerous lesions of the oral mucosa surface using diffuse reflectance spectroscopy in the wavelength range from 500 to 900 nm with an accuracy of at least 75 percent has been shown.

摘要

本文致力于通过在360至1000纳米波长范围内使用漫反射光谱法对口腔黏膜癌前病变进行体内早期检测可能性的实验验证。在研究过程中,收集并分析了119例癌前病变患者的样本。分析结果确定了最具信息价值的波长范围,在该范围内观察到病变组织和正常组织后向散射光谱的最大差异,研究了口腔黏膜后向散射光谱的自动分类方法,评估了使用漫反射光谱法检测舌腹外侧黏膜表面和颊黏膜角化过度时可达到的灵敏度和特异性值。体内初步实验研究结果表明,使用500至900纳米波长范围内的漫反射光谱法可自动检测口腔黏膜表面癌前病变,准确率至少为75%。

https://cdn.ncbi.nlm.nih.gov/pmc/blobs/4eff/10177876/f4af9adddeef/diagnostics-13-01633-g001.jpg

相似文献

2
Autofluorescence and diffuse reflectance spectroscopy for oral oncology.
Lasers Surg Med. 2005 Jun;36(5):356-64. doi: 10.1002/lsm.20122.
3
Mapping of healthy oral mucosal tissue using diffuse reflectance spectroscopy: ratiometric-based total hemoglobin comparative study.
Lasers Med Sci. 2015 Nov;30(8):2135-41. doi: 10.1007/s10103-015-1765-y. Epub 2015 May 19.
4
Diffuse reflectance patterns in cervical spectroscopy.
Gynecol Oncol. 2005 Dec;99(3 Suppl 1):S116-20. doi: 10.1016/j.ygyno.2005.07.054. Epub 2005 Sep 13.
5
Noninvasive evaluation of oral lesions using depth-sensitive optical spectroscopy.
Cancer. 2009 Apr 15;115(8):1669-79. doi: 10.1002/cncr.24177.
10
Autofluorescence spectroscopy for in vivo diagnosis of DMBA-induced hamster buccal pouch pre-cancers and cancers.
J Oral Pathol Med. 2003 Jan;32(1):18-24. doi: 10.1034/j.1600-0714.2003.00049.x.

本文引用的文献

4
Role of mast cells in oral inflammation.
J Biol Regul Homeost Agents. 2021 Jul-Aug;35(4 Suppl. 1):65-70. doi: 10.23812/21-4supp1-6.
5
Object-dependent spatial resolution of the reflection-mode terahertz solid immersion microscopy.
Opt Express. 2021 Feb 1;29(3):3553-3566. doi: 10.1364/OE.415049.
7
Oral Cancer and Precancer: A Narrative Review on the Relevance of Early Diagnosis.
Int J Environ Res Public Health. 2020 Dec 8;17(24):9160. doi: 10.3390/ijerph17249160.
8
Deep learning applied to hyperspectral endoscopy for online spectral classification.
Sci Rep. 2020 Mar 3;10(1):3947. doi: 10.1038/s41598-020-60574-6.
9
Extended-wavelength diffuse reflectance spectroscopy with a machine-learning method for in vivo tissue classification.
PLoS One. 2019 Oct 10;14(10):e0223682. doi: 10.1371/journal.pone.0223682. eCollection 2019.

文献AI研究员

20分钟写一篇综述,助力文献阅读效率提升50倍。

立即体验

用中文搜PubMed

大模型驱动的PubMed中文搜索引擎

马上搜索

文档翻译

学术文献翻译模型,支持多种主流文档格式。

立即体验