• 文献检索
  • 文档翻译
  • 深度研究
  • 学术资讯
  • Suppr Zotero 插件Zotero 插件
  • 邀请有礼
  • 套餐&价格
  • 历史记录
应用&插件
Suppr Zotero 插件Zotero 插件浏览器插件Mac 客户端Windows 客户端微信小程序
定价
高级版会员购买积分包购买API积分包
服务
文献检索文档翻译深度研究API 文档MCP 服务
关于我们
关于 Suppr公司介绍联系我们用户协议隐私条款
关注我们

Suppr 超能文献

核心技术专利:CN118964589B侵权必究
粤ICP备2023148730 号-1Suppr @ 2026

文献检索

告别复杂PubMed语法,用中文像聊天一样搜索,搜遍4000万医学文献。AI智能推荐,让科研检索更轻松。

立即免费搜索

文件翻译

保留排版,准确专业,支持PDF/Word/PPT等文件格式,支持 12+语言互译。

免费翻译文档

深度研究

AI帮你快速写综述,25分钟生成高质量综述,智能提取关键信息,辅助科研写作。

立即免费体验

纳米 TiO 和 O 作为氧化剂对苴烯和百里酚的选择光氧化。

Selective Photooxidation of Valencene and Thymol with Nano-TiO and O as Oxidant.

机构信息

Centro de Investigaciones en Catálisis, CICAT, Universidad Industrial de Santander, Piedecuesta 681011, Colombia.

Facultad de Ciencias Exactas, Naturales y Agropecuarias, Ciencias Básicas y Aplicadas Para la Sostenibilidad, CIBAS, Universidad de Santander, Bucaramanga 680003, Colombia.

出版信息

Molecules. 2023 May 4;28(9):3868. doi: 10.3390/molecules28093868.

DOI:10.3390/molecules28093868
PMID:37175280
原文链接:https://pmc.ncbi.nlm.nih.gov/articles/PMC10180157/
Abstract

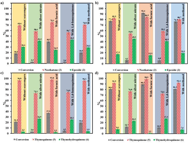
The selective photocatalytic oxidation with O as oxidant of valencene and thymol was evaluated using nanostructured TiO under UV-Vis radiation at atmospheric conditions. The effect of the morphology and optical properties of TiO nanotubes and aminate nanoparticles was studied. Different scavengers were used to detect the presence of positive holes (h), electrons (e), hydroxyl radicals (•OH), and the superoxide radical anion (O) during the photooxidation reaction. Superoxide anion radical is the main oxidizing specie formed, which is responsible for the selective formation of nootkatone and thymoquinone using aminated TiO nanoparticles under 400 nm radiation.

摘要

采用纳米结构 TiO 在大气条件下的紫外可见辐射下,以 O 作为氧化剂,对葑烯和百里酚进行选择性光催化氧化。研究了 TiO 纳米管和氨基纳米粒子的形态和光学性质的影响。在光氧化反应过程中,使用不同的清除剂来检测正孔(h)、电子(e)、羟基自由基(•OH)和超氧自由基阴离子(O)的存在。超氧自由基阴离子是形成的主要氧化物质,它负责在 400nm 辐射下使用氨基化 TiO 纳米粒子选择性地形成诺卡酮和百里醌。

https://cdn.ncbi.nlm.nih.gov/pmc/blobs/d519/10180157/56d4b6eec144/molecules-28-03868-sch002.jpg
https://cdn.ncbi.nlm.nih.gov/pmc/blobs/d519/10180157/c5549f2cc4a1/molecules-28-03868-sch001.jpg
https://cdn.ncbi.nlm.nih.gov/pmc/blobs/d519/10180157/a6f7c0ee73dd/molecules-28-03868-g001.jpg
https://cdn.ncbi.nlm.nih.gov/pmc/blobs/d519/10180157/1a85c1ea0cbe/molecules-28-03868-g002.jpg
https://cdn.ncbi.nlm.nih.gov/pmc/blobs/d519/10180157/bb228b9e94c4/molecules-28-03868-g003.jpg
https://cdn.ncbi.nlm.nih.gov/pmc/blobs/d519/10180157/90e11d25c900/molecules-28-03868-g004.jpg
https://cdn.ncbi.nlm.nih.gov/pmc/blobs/d519/10180157/8090d73489a6/molecules-28-03868-g005.jpg
https://cdn.ncbi.nlm.nih.gov/pmc/blobs/d519/10180157/51bfc513743e/molecules-28-03868-g006.jpg
https://cdn.ncbi.nlm.nih.gov/pmc/blobs/d519/10180157/77944f93e59e/molecules-28-03868-g007.jpg
https://cdn.ncbi.nlm.nih.gov/pmc/blobs/d519/10180157/cf61e4bcb491/molecules-28-03868-g008.jpg
https://cdn.ncbi.nlm.nih.gov/pmc/blobs/d519/10180157/c2bc9c4f01ac/molecules-28-03868-g009.jpg
https://cdn.ncbi.nlm.nih.gov/pmc/blobs/d519/10180157/01a45972dc08/molecules-28-03868-g010.jpg
https://cdn.ncbi.nlm.nih.gov/pmc/blobs/d519/10180157/19d5916e6f99/molecules-28-03868-g011.jpg
https://cdn.ncbi.nlm.nih.gov/pmc/blobs/d519/10180157/56d4b6eec144/molecules-28-03868-sch002.jpg
https://cdn.ncbi.nlm.nih.gov/pmc/blobs/d519/10180157/c5549f2cc4a1/molecules-28-03868-sch001.jpg
https://cdn.ncbi.nlm.nih.gov/pmc/blobs/d519/10180157/a6f7c0ee73dd/molecules-28-03868-g001.jpg
https://cdn.ncbi.nlm.nih.gov/pmc/blobs/d519/10180157/1a85c1ea0cbe/molecules-28-03868-g002.jpg
https://cdn.ncbi.nlm.nih.gov/pmc/blobs/d519/10180157/bb228b9e94c4/molecules-28-03868-g003.jpg
https://cdn.ncbi.nlm.nih.gov/pmc/blobs/d519/10180157/90e11d25c900/molecules-28-03868-g004.jpg
https://cdn.ncbi.nlm.nih.gov/pmc/blobs/d519/10180157/8090d73489a6/molecules-28-03868-g005.jpg
https://cdn.ncbi.nlm.nih.gov/pmc/blobs/d519/10180157/51bfc513743e/molecules-28-03868-g006.jpg
https://cdn.ncbi.nlm.nih.gov/pmc/blobs/d519/10180157/77944f93e59e/molecules-28-03868-g007.jpg
https://cdn.ncbi.nlm.nih.gov/pmc/blobs/d519/10180157/cf61e4bcb491/molecules-28-03868-g008.jpg
https://cdn.ncbi.nlm.nih.gov/pmc/blobs/d519/10180157/c2bc9c4f01ac/molecules-28-03868-g009.jpg
https://cdn.ncbi.nlm.nih.gov/pmc/blobs/d519/10180157/01a45972dc08/molecules-28-03868-g010.jpg
https://cdn.ncbi.nlm.nih.gov/pmc/blobs/d519/10180157/19d5916e6f99/molecules-28-03868-g011.jpg
https://cdn.ncbi.nlm.nih.gov/pmc/blobs/d519/10180157/56d4b6eec144/molecules-28-03868-sch002.jpg

相似文献

1
Selective Photooxidation of Valencene and Thymol with Nano-TiO and O as Oxidant.纳米 TiO 和 O 作为氧化剂对苴烯和百里酚的选择光氧化。
Molecules. 2023 May 4;28(9):3868. doi: 10.3390/molecules28093868.
2
Use of Selected Scavengers for the Determination of NF-TiO Reactive Oxygen Species during the Degradation of Microcystin-LR under Visible Light Irradiation.在可见光照射下微囊藻毒素-LR降解过程中使用选定清除剂测定NF-TiO活性氧物种
J Mol Catal A Chem. 2016 Dec 15;425(0):183-189. doi: 10.1016/j.molcata.2016.09.035.
3
Gaseous ethylbenzene removal by photocatalytic TiO nanoparticles immobilized on glass fiber tissue under real conditions: evaluation of reactive oxygen species contribution to the photocatalytic process.在实际条件下固定于玻璃纤维织物上的光催化TiO纳米颗粒去除气态乙苯:评估活性氧对光催化过程的贡献
Environ Sci Pollut Res Int. 2023 Mar;30(13):35745-35756. doi: 10.1007/s11356-022-24636-8. Epub 2022 Dec 20.
4
Role of reactive oxygen species on the activity of noble metal-doped TiO photocatalysts.活性氧物种对贵金属掺杂二氧化钛光催化剂活性的作用
J Hazard Mater. 2019 Jun 15;372:45-51. doi: 10.1016/j.jhazmat.2018.05.026. Epub 2018 May 15.
5
Oxidation mechanism of As(III) in the UV/TiO2 system: evidence for a direct hole oxidation mechanism.UV/TiO₂体系中As(III)的氧化机制:直接空穴氧化机制的证据
Environ Sci Technol. 2005 Dec 15;39(24):9695-701. doi: 10.1021/es051148r.
6
Assessment of the roles of reactive oxygen species in the UV and visible light photocatalytic degradation of cyanotoxins and water taste and odor compounds using C-TiO2.评估 C-TiO2 在利用紫外光和可见光光催化降解蓝藻毒素和水中异味化合物过程中活性氧的作用。
Water Res. 2016 Mar 1;90:52-61. doi: 10.1016/j.watres.2015.12.006. Epub 2015 Dec 11.
7
New insight into singlet oxygen generation at surface modified nanocrystalline TiO2--the effect of near-infrared irradiation.表面修饰纳米 TiO2 中单线态氧生成的新认识——近红外辐射的影响。
Dalton Trans. 2013 Jul 14;42(26):9468-75. doi: 10.1039/c3dt50399b. Epub 2013 May 13.
8
Novel quantification of formation trend and reaction efficiency of hydroxyl radicals for investigating photocatalytic mechanism of Fe-doped TiO during UV and visible light-induced degradation of acid orange 7.新型羟基自由基生成趋势和反应效率定量方法用于研究 Fe 掺杂 TiO2 在紫外光和可见光诱导下酸性橙 7 降解中的光催化机理。
Chemosphere. 2020 Jul;251:126380. doi: 10.1016/j.chemosphere.2020.126380. Epub 2020 Feb 29.
9
Role of active oxidative species on TiO2 photocatalysis of tetracycline and optimization of photocatalytic degradation conditions.活性氧化物种在二氧化钛光催化四环素中的作用及光催化降解条件的优化
J Environ Biol. 2015 Jul;36 Spec No:837-43.
10
Photoelectron Properties and Organic Molecules Photodegradation Activity of Titania Nanotubes with CuO Nanoparticles Heat Treated in Air and Argon.空气中和氩气中热处理的含CuO纳米颗粒的二氧化钛纳米管的光电子性质及有机分子光降解活性
Molecules. 2022 Nov 21;27(22):8080. doi: 10.3390/molecules27228080.

本文引用的文献

1
Production, Function, and Applications of the Sesquiterpenes Valencene and Nootkatone: a Comprehensive Review.《大根香叶烯和诺卡酮的生产、功能及应用:全面综述》。
J Agric Food Chem. 2023 Jan 11;71(1):121-142. doi: 10.1021/acs.jafc.2c07543. Epub 2022 Dec 21.
2
Antitumor Effects of Carvacrol and Thymol: A Systematic Review.香芹酚和百里香酚的抗肿瘤作用:一项系统综述。
Front Pharmacol. 2021 Jul 7;12:702487. doi: 10.3389/fphar.2021.702487. eCollection 2021.
3
Visible-Light-Activated Black Organotitanias: How Synthetic Conditions Influence Their Structure and Photocatalytic Activity.
可见光激活的黑色有机钛酸盐:合成条件如何影响其结构和光催化活性。
Chempluschem. 2018 May;83(5):390-400. doi: 10.1002/cplu.201800054. Epub 2018 Apr 27.
4
Use of Selected Scavengers for the Determination of NF-TiO Reactive Oxygen Species during the Degradation of Microcystin-LR under Visible Light Irradiation.在可见光照射下微囊藻毒素-LR降解过程中使用选定清除剂测定NF-TiO活性氧物种
J Mol Catal A Chem. 2016 Dec 15;425(0):183-189. doi: 10.1016/j.molcata.2016.09.035.
5
Generation and Detection of Reactive Oxygen Species in Photocatalysis.光催化中活性氧的生成和检测。
Chem Rev. 2017 Sep 13;117(17):11302-11336. doi: 10.1021/acs.chemrev.7b00161. Epub 2017 Aug 4.
6
Antibacterial and antifungal activities of thymol: A brief review of the literature.百里香酚的抗菌和抗真菌活性:文献综述。
Food Chem. 2016 Nov 1;210:402-14. doi: 10.1016/j.foodchem.2016.04.111. Epub 2016 Apr 26.
7
Superoxide Ion: Generation and Chemical Implications.超氧离子:生成及其化学意义
Chem Rev. 2016 Mar 9;116(5):3029-85. doi: 10.1021/acs.chemrev.5b00407. Epub 2016 Feb 15.
8
Development of photocatalysts for selective and efficient organic transformations.光催化剂的选择性和高效有机转化的发展。
J Photochem Photobiol B. 2015 Jul;148:209-222. doi: 10.1016/j.jphotobiol.2015.04.020. Epub 2015 Apr 30.
9
Selective oxidation of alcohols in aqueous suspensions of rhodium ion-modified TiO2 photocatalysts under irradiation of visible light.铑离子修饰的二氧化钛光催化剂水悬浮液在可见光照射下对醇的选择性氧化
Phys Chem Chem Phys. 2014 Jun 28;16(24):12554-9. doi: 10.1039/c4cp00863d.
10
Allylic oxidation of alkenes catalyzed by a copper-aluminum mixed oxide.铜铝混合氧化物催化烯烃的烯丙基氧化。
Org Lett. 2014 Mar 21;16(6):1598-601. doi: 10.1021/ol500198c. Epub 2014 Mar 5.