Fauzy Annas, Chen Guan-Bang, Lin Ta-Hui
Department of Mechanical Engineering, National Cheng Kung University, Tainan 701, Taiwan, R.O.C.
Department of Aeronautics and Astronautics, National Cheng Kung University, Tainan 701, Taiwan, R.O.C.
ACS Omega. 2023 Apr 24;8(18):16094-16105. doi: 10.1021/acsomega.3c00094. eCollection 2023 May 9.
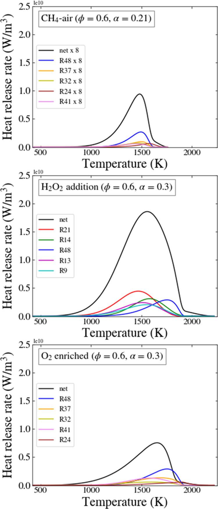
Methane (CH)/air lean combustion can be enhanced by increasing the concentration of the oxidizer, like oxygen (O) enrichment, or adding a strong oxidant to the reactant. Hydrogen peroxide (HO) is a strong oxidizer that yields O, steam, and appreciable heat after decomposition. This study numerically investigated and compared the effects of HO and O-enriched conditions on the adiabatic flame temperature, laminar burning velocity, flame thickness, and heat release rates of CH/air combustion using the San Diego mechanism. The result showed that in fuel-lean conditions, the adiabatic flame temperature changed from HO addition > O-enriched scenario to O-enriched scenario > HO addition with increasing α. This transition temperature was not affected by the equivalence ratio. Adding HO enhanced the laminar burning velocity of the CH/air lean combustion more than the O-enriched scenario. The thermal and chemical effects are quantified in various HO additions, and it is found that the chemical effect has a noticeable contribution to the laminar burning velocity compared with the thermal effect, especially in higher HO addition. Further, the laminar burning velocity had a quasi-linear correlation with (OH) in the flame. The maximum heat release rate was observed at lower temperatures for HO addition and higher temperatures for the O-enriched scenario. The flame thickness was significantly reduced upon adding HO. Finally, the dominant reaction to the heat release rate changed from the reaction of CH + O ↔ CHO + H in the CH/air or O-enriched scenario to the reaction of HO + OH ↔ HO + HO in the HO addition scenario.
甲烷(CH)/空气贫燃燃烧可以通过提高氧化剂浓度来增强,比如富氧(O),或者向反应物中添加强氧化剂。过氧化氢(HO)是一种强氧化剂,分解后会产生O、蒸汽和可观的热量。本研究使用圣地亚哥机理,对HO和富氧条件对CH/空气燃烧的绝热火焰温度、层流燃烧速度、火焰厚度和热释放率的影响进行了数值研究和比较。结果表明,在贫燃料条件下,随着α的增加,绝热火焰温度从添加HO的情况>富氧情况转变为富氧情况>添加HO的情况。这个转变温度不受当量比的影响。添加HO比富氧情况更能提高CH/空气贫燃燃烧的层流燃烧速度。对各种HO添加量下的热效应和化学效应进行了量化,发现与热效应相比,化学效应在层流燃烧速度中有着显著贡献,尤其是在较高的HO添加量时。此外,层流燃烧速度与火焰中的(OH)具有准线性关系。对于添加HO的情况,在较低温度下观察到最大热释放率,而对于富氧情况,则在较高温度下观察到。添加HO后火焰厚度显著减小。最后,对热释放率起主导作用的反应从CH/空气或富氧情况下的CH + O ↔ CHO + H反应转变为添加HO情况下的HO + OH ↔ HO + HO反应。