Suppr超能文献

基于血红蛋白、白蛋白、淋巴细胞和血小板评分的列线图预测T3-4N0-1期鼻咽癌患者的总生存期

Nomogram Based on Hemoglobin, Albumin, Lymphocyte and Platelet Score to Predict Overall Survival in Patients with T3-4N0-1 Nasopharyngeal Carcinoma.

作者信息

Zhao Rong, Liang Zhongguo, Chen Kaihua, Zhu Xiaodong

机构信息

Department of Radiation Oncology, Guangxi Medical University Cancer Hospital, Nanning, Guangxi, People's Republic of China.

Affiliated Wu-Ming Hospital of Guangxi Medical University, Nanning, Guangxi, People's Republic of China.

出版信息

J Inflamm Res. 2023 May 9;16:1995-2006. doi: 10.2147/JIR.S411194. eCollection 2023.

Abstract

PURPOSE

There is still uncertainty regarding the prognosis of nasopharyngeal carcinoma (NPC) based on hemoglobin, albumin, lymphocytes, and platelets (HALP) score. The aim of this study was to build and verify a nomogram using HALP score to investigate the prognostic value of NPC and identify low-risk patients in T3-4N0-1 NPC to guide treatment options.

PATIENTS AND METHODS

A total of 568 NPC patients with stage T3-4N0-1M0 were recruited in the study, who were given either concurrent chemoradiotherapy (CCRT) or induction chemotherapy (IC) plus CCRT. The prognostic factors of overall survival (OS) were picked by Cox proportional hazards regression analysis to generate a nomogram, which appraised by discrimination, calibration and clinical utility. Patients were stratified according to risk scores calculated by the nomogram, and compared to the 8th TNM staging system using the Kaplan-Meier methods.

RESULTS

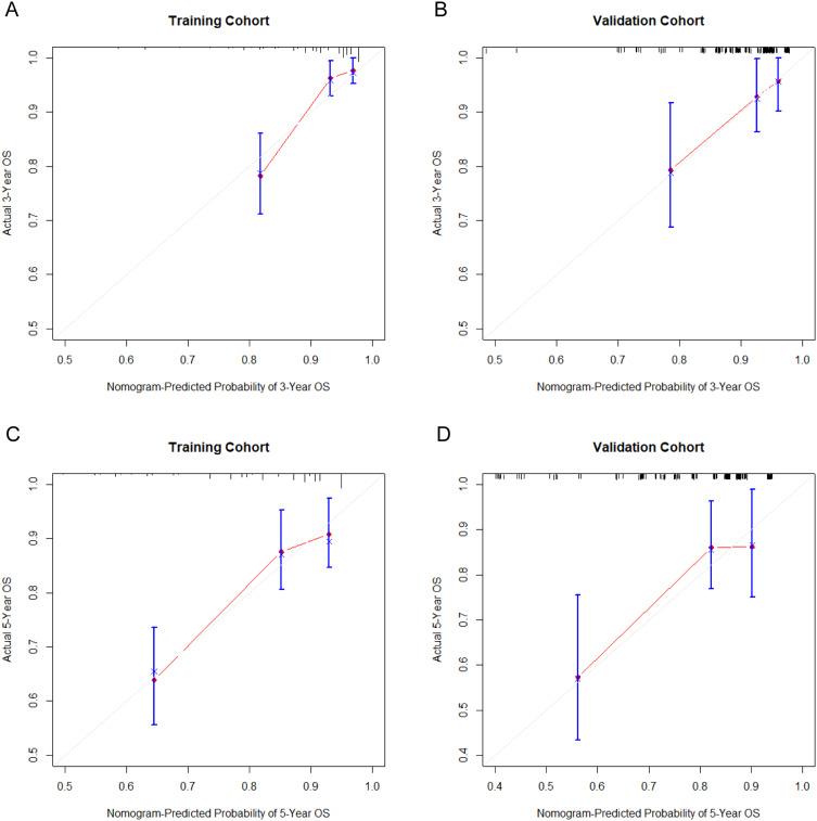
Multivariate analysis showed that TNM stage, Epstein-Barr virus DNA (EBV DNA), HALP score, lactate dehydrogenase-to-albumin ratio (LAR) and systemic inflammatory response index (SIRI) were independent prognostic indicators for OS, and these factors contained in the nomogram. The nomogram demonstrated a significant enhancement over the 8th TNM staging system in terms of assessing OS (C-index, 0.744 vs 0.615 in the training cohort, P < 0.001; 0.757 vs 0.646 in the validation cohort, P = 0.002). Calibration curves displayed good agreement and the stratification in high-risk and low-risk groups resulted in a significant divergence of Kaplan-Meier curves for OS (P < 0.001). In addition, the decision analysis (DCA) curves confirmed satisfactory discriminability and clinical utility.

CONCLUSION

The HALP score was an independent prognostic factor for NPC. The prognostic function of the nomogram for T3-4N0-1 NPC patients was more accurate compared to the 8th TNM system, facilitating personalized treatment planning.

摘要

目的

基于血红蛋白、白蛋白、淋巴细胞和血小板(HALP)评分的鼻咽癌(NPC)预后仍存在不确定性。本研究的目的是构建并验证一个使用HALP评分的列线图,以研究NPC的预后价值,并识别T3-4N0-1期NPC的低风险患者,从而指导治疗方案的选择。

患者与方法

本研究共纳入568例T3-4N0-1M0期NPC患者,给予同步放化疗(CCRT)或诱导化疗(IC)联合CCRT。通过Cox比例风险回归分析筛选总生存(OS)的预后因素以生成列线图,并通过区分度、校准度和临床实用性进行评估。根据列线图计算的风险评分对患者进行分层,并使用Kaplan-Meier方法与第八版TNM分期系统进行比较。

结果

多因素分析显示,TNM分期、爱泼斯坦-巴尔病毒DNA(EBV DNA)、HALP评分、乳酸脱氢酶与白蛋白比值(LAR)和全身炎症反应指数(SIRI)是OS的独立预后指标,且这些因素包含在列线图中。在评估OS方面,列线图显示出比第八版TNM分期系统有显著改善(训练队列中C指数分别为0.744和0.615,P<0.001;验证队列中分别为0.757和0.646,P = 0.002)。校准曲线显示出良好的一致性,高风险和低风险组的分层导致OS的Kaplan-Meier曲线有显著差异(P<0.001)。此外,决策分析(DCA)曲线证实了令人满意的区分度和临床实用性。

结论

HALP评分是NPC的独立预后因素。与第八版TNM系统相比,T3-4N0-1期NPC患者列线图的预后功能更准确,有助于制定个性化的治疗方案。

https://cdn.ncbi.nlm.nih.gov/pmc/blobs/db20/10182792/7ce2b9c9759c/JIR-16-1995-g0001.jpg

文献检索

告别复杂PubMed语法,用中文像聊天一样搜索,搜遍4000万医学文献。AI智能推荐,让科研检索更轻松。

立即免费搜索

文件翻译

保留排版,准确专业,支持PDF/Word/PPT等文件格式,支持 12+语言互译。

免费翻译文档

深度研究

AI帮你快速写综述,25分钟生成高质量综述,智能提取关键信息,辅助科研写作。

立即免费体验