• 文献检索
  • 文档翻译
  • 深度研究
  • 学术资讯
  • Suppr Zotero 插件Zotero 插件
  • 邀请有礼
  • 套餐&价格
  • 历史记录
应用&插件
Suppr Zotero 插件Zotero 插件浏览器插件Mac 客户端Windows 客户端微信小程序
定价
高级版会员购买积分包购买API积分包
服务
文献检索文档翻译深度研究API 文档MCP 服务
关于我们
关于 Suppr公司介绍联系我们用户协议隐私条款
关注我们

Suppr 超能文献

核心技术专利:CN118964589B侵权必究
粤ICP备2023148730 号-1Suppr @ 2026

文献检索

告别复杂PubMed语法,用中文像聊天一样搜索,搜遍4000万医学文献。AI智能推荐,让科研检索更轻松。

立即免费搜索

文件翻译

保留排版,准确专业,支持PDF/Word/PPT等文件格式,支持 12+语言互译。

免费翻译文档

深度研究

AI帮你快速写综述,25分钟生成高质量综述,智能提取关键信息,辅助科研写作。

立即免费体验

一种新型的多极端耐受真菌——黏性外瓶霉的特性研究,及其黑色素调控和生态位的深入分析。

Characterization of a novel polyextremotolerant fungus, Exophiala viscosa, with insights into its melanin regulation and ecological niche.

机构信息

School of Biological Sciences, University of Nebraska-Lincoln, Lincoln, NE 68588, USA.

Roy J. Carver Department of Biochemistry, Biophysics, and Molecular Biology, Iowa State University, Ames, IA 50011, USA.

出版信息

G3 (Bethesda). 2023 Aug 9;13(8). doi: 10.1093/g3journal/jkad110.

DOI:10.1093/g3journal/jkad110
PMID:37221014
原文链接:https://pmc.ncbi.nlm.nih.gov/articles/PMC10411609/
Abstract

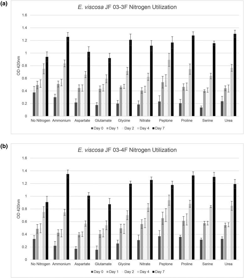
Black yeasts are polyextremotolerant fungi that contain high amounts of melanin in their cell wall and maintain a primar yeast form. These fungi grow in xeric, nutrient depletes environments which implies that they require highly flexible metabolisms and have been suggested to contain the ability to form lichen-like mutualisms with nearby algae and bacteria. However, the exact ecological niche and interactions between these fungi and their surrounding community are not well understood. We have isolated 2 novel black yeasts from the genus Exophiala that were recovered from dryland biological soil crusts. Despite notable differences in colony and cellular morphology, both fungi appear to be members of the same species, which has been named Exophiala viscosa (i.e. E. viscosa JF 03-3 Goopy and E. viscosa JF 03-4F Slimy). A combination of whole genome sequencing, phenotypic experiments, and melanin regulation experiments have been performed on these isolates to fully characterize these fungi and help decipher their fundamental niche within the biological soil crust consortium. Our results reveal that E. viscosa is capable of utilizing a wide variety of carbon and nitrogen sources potentially derived from symbiotic microbes, can withstand many forms of abiotic stresses, and excretes melanin which can potentially provide ultraviolet resistance to the biological soil crust community. Besides the identification of a novel species within the genus Exophiala, our study also provides new insight into the regulation of melanin production in polyextremotolerant fungi.

摘要

黑酵母是一种多极端耐受真菌,其细胞壁中含有大量黑色素,并保持原始酵母形态。这些真菌生长在干旱、营养匮乏的环境中,这意味着它们需要高度灵活的新陈代谢,并被认为具有与附近藻类和细菌形成类似地衣的共生关系的能力。然而,这些真菌的确切生态位和与周围群落的相互作用尚不清楚。我们从旱地生物土壤结皮中分离到 2 种新型的外瓶霉属黑酵母。尽管菌落和细胞形态有明显差异,但这两种真菌似乎都是同一个物种的成员,该物种被命名为粘滑外瓶霉(即 E. viscosa JF 03-3 Goopy 和 E. viscosa JF 03-4F Slimy)。对这些分离物进行了全基因组测序、表型实验和黑色素调控实验的组合,以充分表征这些真菌,并帮助破译它们在生物土壤结皮联合体中的基本生态位。我们的研究结果表明,E. viscosa 能够利用多种可能来自共生微生物的碳氮源,能够耐受多种形式的非生物胁迫,并分泌黑色素,这可能为生物土壤结皮群落提供抗紫外线的能力。除了在外瓶霉属中鉴定出一个新物种外,我们的研究还为多极端耐受真菌中黑色素产生的调控提供了新的见解。

https://cdn.ncbi.nlm.nih.gov/pmc/blobs/f1c2/10411609/cceb4cff3ad8/jkad110f17.jpg
https://cdn.ncbi.nlm.nih.gov/pmc/blobs/f1c2/10411609/a1853b0b8044/jkad110f1.jpg
https://cdn.ncbi.nlm.nih.gov/pmc/blobs/f1c2/10411609/1b85b5da70af/jkad110f2.jpg
https://cdn.ncbi.nlm.nih.gov/pmc/blobs/f1c2/10411609/d4d6d2cae1d5/jkad110f3.jpg
https://cdn.ncbi.nlm.nih.gov/pmc/blobs/f1c2/10411609/d175f00d30df/jkad110f4.jpg
https://cdn.ncbi.nlm.nih.gov/pmc/blobs/f1c2/10411609/d06ebc233ba5/jkad110f5.jpg
https://cdn.ncbi.nlm.nih.gov/pmc/blobs/f1c2/10411609/885a7343b720/jkad110f6.jpg
https://cdn.ncbi.nlm.nih.gov/pmc/blobs/f1c2/10411609/8390d20a3e0a/jkad110f7.jpg
https://cdn.ncbi.nlm.nih.gov/pmc/blobs/f1c2/10411609/149106fb2f5d/jkad110f8.jpg
https://cdn.ncbi.nlm.nih.gov/pmc/blobs/f1c2/10411609/a96a9ed84b0e/jkad110f9.jpg
https://cdn.ncbi.nlm.nih.gov/pmc/blobs/f1c2/10411609/0847ca57fced/jkad110f10.jpg
https://cdn.ncbi.nlm.nih.gov/pmc/blobs/f1c2/10411609/438453450272/jkad110f11.jpg
https://cdn.ncbi.nlm.nih.gov/pmc/blobs/f1c2/10411609/23a63bc9c975/jkad110f12.jpg
https://cdn.ncbi.nlm.nih.gov/pmc/blobs/f1c2/10411609/83d55dc7f0ab/jkad110f13.jpg
https://cdn.ncbi.nlm.nih.gov/pmc/blobs/f1c2/10411609/4da850c3fca2/jkad110f14.jpg
https://cdn.ncbi.nlm.nih.gov/pmc/blobs/f1c2/10411609/937731501594/jkad110f15.jpg
https://cdn.ncbi.nlm.nih.gov/pmc/blobs/f1c2/10411609/75940c154dbf/jkad110f16.jpg
https://cdn.ncbi.nlm.nih.gov/pmc/blobs/f1c2/10411609/cceb4cff3ad8/jkad110f17.jpg
https://cdn.ncbi.nlm.nih.gov/pmc/blobs/f1c2/10411609/a1853b0b8044/jkad110f1.jpg
https://cdn.ncbi.nlm.nih.gov/pmc/blobs/f1c2/10411609/1b85b5da70af/jkad110f2.jpg
https://cdn.ncbi.nlm.nih.gov/pmc/blobs/f1c2/10411609/d4d6d2cae1d5/jkad110f3.jpg
https://cdn.ncbi.nlm.nih.gov/pmc/blobs/f1c2/10411609/d175f00d30df/jkad110f4.jpg
https://cdn.ncbi.nlm.nih.gov/pmc/blobs/f1c2/10411609/d06ebc233ba5/jkad110f5.jpg
https://cdn.ncbi.nlm.nih.gov/pmc/blobs/f1c2/10411609/885a7343b720/jkad110f6.jpg
https://cdn.ncbi.nlm.nih.gov/pmc/blobs/f1c2/10411609/8390d20a3e0a/jkad110f7.jpg
https://cdn.ncbi.nlm.nih.gov/pmc/blobs/f1c2/10411609/149106fb2f5d/jkad110f8.jpg
https://cdn.ncbi.nlm.nih.gov/pmc/blobs/f1c2/10411609/a96a9ed84b0e/jkad110f9.jpg
https://cdn.ncbi.nlm.nih.gov/pmc/blobs/f1c2/10411609/0847ca57fced/jkad110f10.jpg
https://cdn.ncbi.nlm.nih.gov/pmc/blobs/f1c2/10411609/438453450272/jkad110f11.jpg
https://cdn.ncbi.nlm.nih.gov/pmc/blobs/f1c2/10411609/23a63bc9c975/jkad110f12.jpg
https://cdn.ncbi.nlm.nih.gov/pmc/blobs/f1c2/10411609/83d55dc7f0ab/jkad110f13.jpg
https://cdn.ncbi.nlm.nih.gov/pmc/blobs/f1c2/10411609/4da850c3fca2/jkad110f14.jpg
https://cdn.ncbi.nlm.nih.gov/pmc/blobs/f1c2/10411609/937731501594/jkad110f15.jpg
https://cdn.ncbi.nlm.nih.gov/pmc/blobs/f1c2/10411609/75940c154dbf/jkad110f16.jpg
https://cdn.ncbi.nlm.nih.gov/pmc/blobs/f1c2/10411609/cceb4cff3ad8/jkad110f17.jpg

相似文献

1
Characterization of a novel polyextremotolerant fungus, Exophiala viscosa, with insights into its melanin regulation and ecological niche.一种新型的多极端耐受真菌——黏性外瓶霉的特性研究,及其黑色素调控和生态位的深入分析。
G3 (Bethesda). 2023 Aug 9;13(8). doi: 10.1093/g3journal/jkad110.
2
Exophiala crusticola anam. nov. (affinity Herpotrichiellaceae), a novel black yeast from biological soil crusts in the Western United States.地壳外瓶霉新无性型(亲缘关系:毛球壳科),一种来自美国西部生物土壤结皮的新型黑色酵母菌。
Int J Syst Evol Microbiol. 2006 Nov;56(Pt 11):2697-2702. doi: 10.1099/ijs.0.64332-0.
3
Exophiala macquariensis sp. nov., a cold adapted black yeast species recovered from a hydrocarbon contaminated sub-Antarctic soil.外瓶霉属新种,一种从受碳氢化合物污染的亚南极土壤中分离出来的冷适应黑酵母。
Fungal Biol. 2019 Feb;123(2):151-158. doi: 10.1016/j.funbio.2018.11.011. Epub 2018 Nov 30.
4
Comparative genomic and transcriptomic analysis of wangiella dermatitidis, a major cause of phaeohyphomycosis and a model black yeast human pathogen.汪氏外瓶霉的比较基因组和转录组分析,该菌是暗色丝孢霉病的主要致病菌,也是一种模式黑酵母人类病原体。
G3 (Bethesda). 2014 Apr 16;4(4):561-78. doi: 10.1534/g3.113.009241.
5
Phenotypic Characterization and Comparative Genomics of the Melanin-Producing Yeast Reveals a Distinct Stress Tolerance Profile and Reduced Ribosomal Genetic Content.产黑色素酵母的表型特征及比较基因组学研究揭示了独特的应激耐受谱及核糖体遗传含量的降低
J Fungi (Basel). 2021 Dec 15;7(12):1078. doi: 10.3390/jof7121078.
6
Melanization slows the rapid movement of fungal necromass carbon and nitrogen into both bacterial and fungal decomposer communities and soils.黑化减缓了真菌残体碳和氮向细菌和真菌分解者群落及土壤中的快速转移。
mSystems. 2023 Aug 31;8(4):e0039023. doi: 10.1128/msystems.00390-23. Epub 2023 Jun 20.
7
The response of the melanized yeast Exophiala dermatitidis to gamma radiation exposure.黑酵母外瓶霉 Exophiala dermatitidis 对伽马辐射暴露的反应。
Environ Microbiol. 2020 Apr;22(4):1310-1326. doi: 10.1111/1462-2920.14936. Epub 2020 Feb 18.
8
Optimization of melanin pigment production from the halotolerant black yeast Hortaea werneckii AS1 isolated from solar salter in Alexandria.优化耐盐黑酵母 Hortaea werneckii AS1 从亚历山大盐场太阳能盐田中提取黑色素的生产。
BMC Microbiol. 2022 Apr 8;22(1):92. doi: 10.1186/s12866-022-02505-1.
9
Effects of disrupting the polyketide synthase gene WdPKS1 in Wangiella [Exophiala] dermatitidis on melanin production and resistance to killing by antifungal compounds, enzymatic degradation, and extremes in temperature.破坏皮炎外瓶霉中聚酮合酶基因WdPKS1对黑色素生成以及对抗真菌化合物杀伤、酶降解和极端温度的抗性的影响。
BMC Microbiol. 2006 Jun 19;6:55. doi: 10.1186/1471-2180-6-55.
10
Consistent high prevalence of Exophiala dermatitidis, a neurotropic opportunist, on railway sleepers.嗜皮外瓶霉(一种嗜神经的机会致病菌)在铁路枕木上持续呈现高流行率。
J Mycol Med. 2017 Jun;27(2):180-187. doi: 10.1016/j.mycmed.2017.01.007. Epub 2017 Feb 9.

引用本文的文献

1
Regulation of melanin production in fungi.真菌中黑色素生成的调控。
Front Fungal Biol. 2025 Aug 29;6:1621764. doi: 10.3389/ffunb.2025.1621764. eCollection 2025.
2
Purity of Biosynthesized Eumelanin via Solid-State Nuclear Magnetic Resonance.通过固态核磁共振法测定生物合成真黑素的纯度
ACS Omega. 2025 May 7;10(19):19808-19816. doi: 10.1021/acsomega.5c01034. eCollection 2025 May 20.
3
Polyextremotolerant, opportunistic, and melanin-driven resilient black yeast Exophiala dermatitidis in environmental and clinical contexts.

本文引用的文献

1
Phenotypic Characterization and Comparative Genomics of the Melanin-Producing Yeast Reveals a Distinct Stress Tolerance Profile and Reduced Ribosomal Genetic Content.产黑色素酵母的表型特征及比较基因组学研究揭示了独特的应激耐受谱及核糖体遗传含量的降低
J Fungi (Basel). 2021 Dec 15;7(12):1078. doi: 10.3390/jof7121078.
2
Drivers and implications of distance decay differ for ectomycorrhizal and foliar endophytic fungi across an anciently fragmented landscape.在一个古老的破碎景观中,外生菌根真菌和叶内真菌的距离衰减的驱动因素和影响不同。
ISME J. 2021 Dec;15(12):3437-3454. doi: 10.1038/s41396-021-01006-9. Epub 2021 Jun 7.
3
在环境和临床环境中具有多极端耐受性、机会性且由黑色素驱动的适应性强的黑色酵母皮炎外瓶霉
Sci Rep. 2025 Feb 22;15(1):6472. doi: 10.1038/s41598-025-88595-z.
4
: A Model Eukaryotic Organism for Astrobiological Studies on Microbial Interactions with Martian Soil Analogs.一种用于微生物与火星土壤模拟物相互作用的天体生物学研究的模式真核生物。
JACS Au. 2024 Dec 23;5(1):187-203. doi: 10.1021/jacsau.4c00869. eCollection 2025 Jan 27.
5
Genomic features of lichen-associated black fungi.地衣相关黑色真菌的基因组特征。
IUBMB Life. 2025 Jan;77(1):e2934. doi: 10.1002/iub.2934.
6
1,8-Dihydroxynaphthalene (DHN) melanin provides unequal protection to black fungi Knufia petricola and Cryomyces antarcticus from UV-B radiation.1,8-二羟基萘(DHN)黑色素为黑菌 Knufia petricola 和 Cryomyces antarcticus 提供了来自 UV-B 辐射的不平等保护。
Environ Microbiol Rep. 2024 Dec;16(6):e70043. doi: 10.1111/1758-2229.70043.
7
Exophiala chapopotensis sp. nov., an extremotolerant black yeast from an oil-polluted soil in Mexico; phylophenetic approach to species hypothesis in the Herpotrichiellaceae family.外瓶霉属一新种,来自墨西哥受石油污染土壤的极端耐盐酵母菌;外瓶霉科中种假设的系统发育方法。
PLoS One. 2024 Feb 14;19(2):e0297232. doi: 10.1371/journal.pone.0297232. eCollection 2024.
8
Non-photochemical quenching may contribute to the dominance of the pale mat-forming lichen Cladonia stellaris over the sympatric melanic Cetraria islandica.非光化学猝灭可能有助于浅色平铺状地衣 Cladonia stellaris 对同域的黑褐色地衣 Cetraria islandica 的优势地位。
Oecologia. 2024 Jan;204(1):187-198. doi: 10.1007/s00442-023-05498-4. Epub 2024 Jan 17.
Interactive Tree Of Life (iTOL) v5: an online tool for phylogenetic tree display and annotation.
交互式生命树 (iTOL) v5:一个用于显示和注释系统发育树的在线工具。
Nucleic Acids Res. 2021 Jul 2;49(W1):W293-W296. doi: 10.1093/nar/gkab301.
4
Unraveling the Structure and Function of Melanin through Synthesis.通过合成解开黑色素的结构和功能之谜。
J Am Chem Soc. 2021 Feb 24;143(7):2622-2637. doi: 10.1021/jacs.0c12322. Epub 2021 Feb 9.
5
ASAP: assemble species by automatic partitioning.ASAP:自动分区组装物种。
Mol Ecol Resour. 2021 Feb;21(2):609-620. doi: 10.1111/1755-0998.13281. Epub 2020 Nov 20.
6
Computation-Driven Analysis of Model Polyextremo-tolerant Fungus Exophiala dermatitidis: Defensive Pigment Metabolic Costs and Human Applications.基于计算的耐多极端条件真菌皮炎外瓶霉模型分析:防御色素代谢成本及在人类中的应用
iScience. 2020 Apr 24;23(4):100980. doi: 10.1016/j.isci.2020.100980. Epub 2020 Mar 13.
7
The response of the melanized yeast Exophiala dermatitidis to gamma radiation exposure.黑酵母外瓶霉 Exophiala dermatitidis 对伽马辐射暴露的反应。
Environ Microbiol. 2020 Apr;22(4):1310-1326. doi: 10.1111/1462-2920.14936. Epub 2020 Feb 18.
8
Fungal functional ecology: bringing a trait-based approach to plant-associated fungi.真菌功能生态学:将基于特征的方法应用于与植物相关的真菌。
Biol Rev Camb Philos Soc. 2020 Apr;95(2):409-433. doi: 10.1111/brv.12570. Epub 2019 Nov 25.
9
No support for the emergence of lichens prior to the evolution of vascular plants.不支持地衣在维管植物进化之前出现。
Geobiology. 2020 Jan;18(1):3-13. doi: 10.1111/gbi.12369. Epub 2019 Nov 14.
10
Functions of fungal melanin beyond virulence.真菌黑色素在毒力之外的功能。
Fungal Biol Rev. 2017 Mar;31(2):99-112. doi: 10.1016/j.fbr.2016.12.003. Epub 2017 Jan 18.