• 文献检索
  • 文档翻译
  • 深度研究
  • 学术资讯
  • Suppr Zotero 插件Zotero 插件
  • 邀请有礼
  • 套餐&价格
  • 历史记录
应用&插件
Suppr Zotero 插件Zotero 插件浏览器插件Mac 客户端Windows 客户端微信小程序
定价
高级版会员购买积分包购买API积分包
服务
文献检索文档翻译深度研究API 文档MCP 服务
关于我们
关于 Suppr公司介绍联系我们用户协议隐私条款
关注我们

Suppr 超能文献

核心技术专利:CN118964589B侵权必究
粤ICP备2023148730 号-1Suppr @ 2026

文献检索

告别复杂PubMed语法,用中文像聊天一样搜索,搜遍4000万医学文献。AI智能推荐,让科研检索更轻松。

立即免费搜索

文件翻译

保留排版,准确专业,支持PDF/Word/PPT等文件格式,支持 12+语言互译。

免费翻译文档

深度研究

AI帮你快速写综述,25分钟生成高质量综述,智能提取关键信息,辅助科研写作。

立即免费体验

硝酸异山梨酯和西洛他唑治疗有症状性脑小血管病患者:腔隙性干预试验 2(LACI-2)随机临床试验。

Isosorbide Mononitrate and Cilostazol Treatment in Patients With Symptomatic Cerebral Small Vessel Disease: The Lacunar Intervention Trial-2 (LACI-2) Randomized Clinical Trial.

机构信息

Centre for Clinical Brain Sciences, UK Dementia Research Institute, University of Edinburgh, Edinburgh, United Kingdom.

Stroke Trials Unit, Mental Health and Clinical Neuroscience, University of Nottingham, Nottingham, United Kingdom.

出版信息

JAMA Neurol. 2023 Jul 1;80(7):682-692. doi: 10.1001/jamaneurol.2023.1526.

DOI:10.1001/jamaneurol.2023.1526
PMID:37222252
原文链接:https://pmc.ncbi.nlm.nih.gov/articles/PMC10209826/
Abstract

IMPORTANCE

Cerebral small vessel disease (cSVD) is a common cause of stroke (lacunar stroke), is the most common cause of vascular cognitive impairment, and impairs mobility and mood but has no specific treatment.

OBJECTIVE

To test the feasibility, drug tolerability, safety, and effects of 1-year isosorbide mononitrate (ISMN) and cilostazol treatment on vascular, functional, and cognitive outcomes in patients with lacunar stroke.

DESIGN, SETTING, AND PARTICIPANTS: The Lacunar Intervention Trial-2 (LACI-2) was an investigator-initiated, open-label, blinded end-point, randomized clinical trial with a 2 × 2 factorial design. The trial aimed to recruit 400 participants from 26 UK hospital stroke centers between February 5, 2018, and May 31, 2021, with 12-month follow-up. Included participants had clinical lacunar ischemic stroke, were independent, were aged older than 30 years, had compatible brain imaging findings, had capacity to consent, and had no contraindications to (or indications for) the study drugs. Data analysis was performed on August 12, 2022.

INTERVENTIONS

All patients received guideline stroke prevention treatment and were randomized to ISMN (40-60 mg/d), cilostazol (200 mg/d), ISMN-cilostazol (40-60 and 200 mg/d, respectively), or no study drug.

MAIN OUTCOMES

The primary outcome was recruitment feasibility, including retention at 12 months. Secondary outcomes were safety (death), efficacy (composite of vascular events, dependence, cognition, and death), drug adherence, tolerability, recurrent stroke, dependence, cognitive impairment, quality of life (QOL), and hemorrhage.

RESULTS

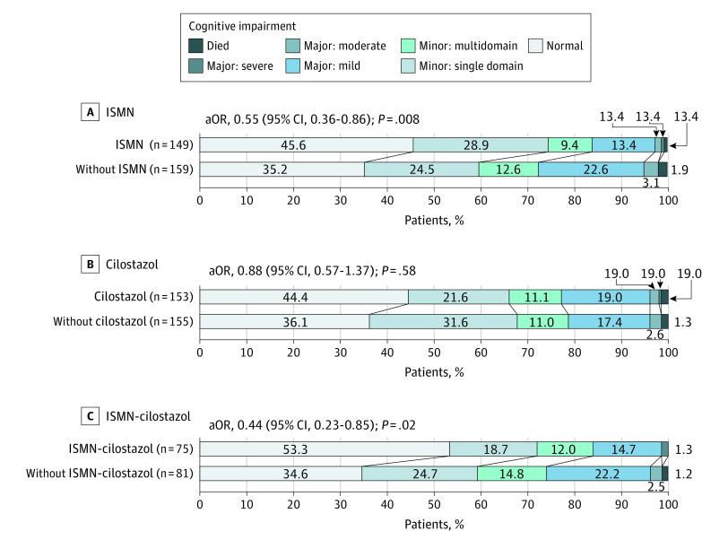
Of the 400 participants planned for this trial, 363 (90.8%) were recruited. Their median age was 64 (IQR, 56.0-72.0) years; 251 (69.1%) were men. The median time between stroke and randomization was 79 (IQR, 27.0-244.0) days. A total of 358 patients (98.6%) were retained in the study at 12 months, with 257 of 272 (94.5%) taking 50% or more of the allocated drug. Compared with those participants not receiving that particular drug, neither ISMN (adjusted hazard ratio [aHR], 0.80 [95% CI, 0.59 to 1.09]; P = .16) nor cilostazol (aHR, 0.77 [95% CI, 0.57 to 1.05]; P = .10) alone reduced the composite outcome in 297 patients. Isosorbide mononitrate reduced recurrent stroke in 353 patients (adjusted odds ratio [aOR], 0.23 [95% CI, 0.07 to 0.74]; P = .01) and cognitive impairment in 308 patients (aOR, 0.55 [95% CI, 0.36 to 0.86]; P = .008). Cilostazol reduced dependence in 320 patients (aHR, 0.31 [95% CI, 0.14 to 0.72]; P = .006). Combination ISMN-cilostazol reduced the composite (aHR, 0.58 [95% CI, 0.36 to 0.92]; P = .02), dependence (aOR, 0.14 [95% CI, 0.03 to 0.59]; P = .008), and any cognitive impairment (aOR, 0.44 [95% CI, 0.23 to 0.85]; P = .02) and improved QOL (adjusted mean difference, 0.10 [95% CI, 0.03 to 0.17]; P = .005) in 153 patients. There were no safety concerns.

CONCLUSIONS AND RELEVANCE

These results show that the LACI-2 trial was feasible and ISMN and cilostazol were well tolerated and safe. These agents may reduce recurrent stroke, dependence, and cognitive impairment after lacunar stroke, and they could prevent other adverse outcomes in cSVD. Therefore, both agents should be tested in large phase 3 trials.

TRIAL REGISTRATION

ClinicalTrials.gov Identifier: NCT03451591.

摘要

重要性

脑小血管病(cSVD)是中风(腔隙性中风)的常见原因,是血管性认知障碍的最常见原因,会损害移动能力和情绪,但没有特定的治疗方法。

目的

测试异山梨醇单硝酸酯(ISMN)和西洛他唑治疗 1 年对腔隙性中风患者血管、功能和认知结局的可行性、药物耐受性、安全性和效果。

设计、地点和参与者:腔隙性干预试验 2(LACI-2)是一项由研究者发起的、开放性、盲终点、随机临床试验,具有 2×2 析因设计。该试验旨在从 2018 年 2 月 5 日至 2021 年 5 月 31 日期间从 26 家英国医院卒中中心招募 400 名参与者,随访 12 个月。纳入的参与者具有临床腔隙性缺血性中风、独立、年龄大于 30 岁、具有相容的脑部影像学发现、有能力同意,并没有研究药物的禁忌症或适应症。数据分析于 2022 年 8 月 12 日进行。

干预措施

所有患者均接受指南推荐的卒中预防治疗,并随机分为 ISMN(40-60mg/d)、西洛他唑(200mg/d)、ISMN-西洛他唑(40-60mg/d 和 200mg/d,分别)或无研究药物。

主要结局

主要结局是招募的可行性,包括 12 个月时的保留率。次要结局是安全性(死亡)、疗效(血管事件、依赖、认知和死亡的复合结局)、药物依从性、耐受性、复发性中风、依赖、认知障碍、生活质量(QOL)和出血。

结果

在计划进行的这项试验中,363 名(90.8%)参与者符合招募条件。他们的中位年龄为 64 岁(IQR,56.0-72.0);251 名(69.1%)为男性。中风与随机分组之间的中位时间为 79 天(IQR,27.0-244.0)。共有 358 名患者(98.6%)在 12 个月时保留在研究中,其中 272 名患者中有 257 名(94.5%)服用了 50%或更多的分配药物。与未服用特定药物的患者相比,ISMN(调整后的危险比[aHR],0.80[95%CI,0.59 至 1.09];P=0.16)和西洛他唑(aHR,0.77[95%CI,0.57 至 1.05];P=0.10)单独使用均未降低 297 名患者的复合结局。ISMN 降低了 353 名患者的复发性中风(调整后的优势比[aOR],0.23[95%CI,0.07 至 0.74];P=0.01)和 308 名患者的认知障碍(aOR,0.55[95%CI,0.36 至 0.86];P=0.008)。西洛他唑降低了 320 名患者的依赖(aHR,0.31[95%CI,0.14 至 0.72];P=0.006)。ISMN-西洛他唑联合使用降低了复合结局(aHR,0.58[95%CI,0.36 至 0.92];P=0.02)、依赖(aOR,0.14[95%CI,0.03 至 0.59];P=0.008)和任何认知障碍(aOR,0.44[95%CI,0.23 至 0.85];P=0.02),并改善了 153 名患者的生活质量(调整后的平均差异,0.10[95%CI,0.03 至 0.17];P=0.005)。没有安全性问题。

结论和相关性

这些结果表明,LACI-2 试验是可行的,ISMN 和西洛他唑具有良好的耐受性和安全性。这些药物可能降低腔隙性中风后的复发性中风、依赖和认知障碍,并能预防 cSVD 的其他不良结局。因此,这两种药物都应该在大型 3 期试验中进行测试。

试验注册

ClinicalTrials.gov 标识符:NCT03451591。

https://cdn.ncbi.nlm.nih.gov/pmc/blobs/40ca/10209826/136289db4077/jamaneurol-e231526-g002.jpg
https://cdn.ncbi.nlm.nih.gov/pmc/blobs/40ca/10209826/d9733ec0e27b/jamaneurol-e231526-g001.jpg
https://cdn.ncbi.nlm.nih.gov/pmc/blobs/40ca/10209826/136289db4077/jamaneurol-e231526-g002.jpg
https://cdn.ncbi.nlm.nih.gov/pmc/blobs/40ca/10209826/d9733ec0e27b/jamaneurol-e231526-g001.jpg
https://cdn.ncbi.nlm.nih.gov/pmc/blobs/40ca/10209826/136289db4077/jamaneurol-e231526-g002.jpg

相似文献

1
Isosorbide Mononitrate and Cilostazol Treatment in Patients With Symptomatic Cerebral Small Vessel Disease: The Lacunar Intervention Trial-2 (LACI-2) Randomized Clinical Trial.硝酸异山梨酯和西洛他唑治疗有症状性脑小血管病患者:腔隙性干预试验 2(LACI-2)随机临床试验。
JAMA Neurol. 2023 Jul 1;80(7):682-692. doi: 10.1001/jamaneurol.2023.1526.
2
Preventing cognitive decline and dementia from cerebral small vessel disease: The LACI-1 Trial. Protocol and statistical analysis plan of a phase IIa dose escalation trial testing tolerability, safety and effect on intermediary endpoints of isosorbide mononitrate and cilostazol, separately and in combination.预防脑小血管病所致认知衰退和痴呆:LACI-1 试验。一项 IIa 期剂量递增试验的方案和统计分析计划,分别和联合测试单硝酸异山梨酯和西洛他唑的耐受性、安全性和对中介终点的影响。
Int J Stroke. 2018 Jul;13(5):530-538. doi: 10.1177/1747493017731947. Epub 2017 Sep 14.
3
Tolerability, safety and intermediary pharmacological effects of cilostazol and isosorbide mononitrate, alone and combined, in patients with lacunar ischaemic stroke: The LACunar Intervention-1 (LACI-1) trial, a randomised clinical trial.西洛他唑与单硝酸异山梨酯单独及联合应用于腔隙性缺血性卒中患者的耐受性、安全性及中间药理学效应:一项随机临床试验——腔隙性干预-1(LACI-1)试验
EClinicalMedicine. 2019 Apr 24;11:34-43. doi: 10.1016/j.eclinm.2019.04.001. eCollection 2019 May-Jun.
4
Cilostazol and isosorbide mononitrate for the prevention of progression of cerebral small vessel disease: baseline data and statistical analysis plan for the Lacunar Intervention Trial-2 (LACI-2) (ISRCTN14911850).西洛他唑和单硝酸异山梨酯预防脑小血管病进展:腔隙性干预试验-2(LACI-2)(ISRCTN14911850)的基线数据和统计分析计划。
Stroke Vasc Neurol. 2023 Apr;8(2):134-143. doi: 10.1136/svn-2022-001816. Epub 2022 Sep 2.
5
Protocol: The Lacunar Intervention Trial 2 (LACI-2). A trial of two repurposed licenced drugs to prevent progression of cerebral small vessel disease.方案:腔隙性脑梗死干预试验2(LACI - 2)。一项使用两种重新利用的已获许可药物预防脑小血管病进展的试验。
Eur Stroke J. 2020 Sep;5(3):297-308. doi: 10.1177/2396987320920110. Epub 2020 Apr 20.
6
Effects of Cilostazol and Isosorbide Mononitrate on Cerebral Hemodynamics in the LACI-1 Randomized Controlled Trial.西洛他唑和单硝酸异山梨酯对 LACI-1 随机对照试验中脑血流动力学的影响。
Stroke. 2022 Jan;53(1):29-33. doi: 10.1161/STROKEAHA.121.034866. Epub 2021 Dec 1.
7
Effects of Isosorbide Mononitrate and/or Cilostazol on Hematological Markers, Platelet Function, and Hemodynamics in Patients With Lacunar Ischaemic Stroke: Safety Data From the Lacunar Intervention-1 (LACI-1) Trial.单硝酸异山梨酯和/或西洛他唑对腔隙性缺血性卒中患者血液学指标、血小板功能及血流动力学的影响:来自腔隙性干预-1(LACI-1)试验的安全性数据
Front Neurol. 2019 Jul 3;10:723. doi: 10.3389/fneur.2019.00723. eCollection 2019.
8
Dual Antiplatelet Therapy With Cilostazol for Secondary Prevention in Lacunar Stroke: Subanalysis of the CSPS.com Trial.西洛他唑双重抗血小板治疗用于腔隙性脑卒中介入预防:CSPS.com试验的亚组分析
Stroke. 2023 Mar;54(3):697-705. doi: 10.1161/STROKEAHA.122.039900. Epub 2023 Feb 3.
9
Prevention of cardiovascular events in Asian patients with ischaemic stroke at high risk of cerebral haemorrhage (PICASSO): a multicentre, randomised controlled trial.亚洲缺血性脑卒中高危脑出血风险患者的心血管事件预防(PICASSO):一项多中心、随机对照试验。
Lancet Neurol. 2018 Jun;17(6):509-518. doi: 10.1016/S1474-4422(18)30128-5.
10
Folic acid supplementation and malaria susceptibility and severity among people taking antifolate antimalarial drugs in endemic areas.在流行地区,服用抗叶酸抗疟药物的人群中,叶酸补充剂与疟疾易感性和严重程度的关系。
Cochrane Database Syst Rev. 2022 Feb 1;2(2022):CD014217. doi: 10.1002/14651858.CD014217.

引用本文的文献

1
Single-cell transcriptomic analysis of the human vascular atlas provides new insights into vasorelaxation redundancy and heterogeneity.人类血管图谱的单细胞转录组分析为血管舒张冗余和异质性提供了新见解。
Front Cardiovasc Med. 2025 Aug 13;12:1634645. doi: 10.3389/fcvm.2025.1634645. eCollection 2025.
2
Drug repurposing: isosorbide mononitrate enhances tumor accumulation to augment sonodynamic therapy for hepatocellular carcinoma.药物再利用:单硝酸异山梨酯增强肿瘤蓄积以增强肝细胞癌的声动力治疗效果。
J Nanobiotechnology. 2025 Aug 25;23(1):587. doi: 10.1186/s12951-025-03674-7.
3
On Neurocardiology Updates: an Interdisciplinary Field at the Intersection of Neurology and Cardiology.
关于神经心脏病学进展:神经病学与心脏病学交叉的跨学科领域。
Curr Neurol Neurosci Rep. 2025 Aug 14;25(1):59. doi: 10.1007/s11910-025-01447-1.
4
Developing treatments for cerebral small vessel disease: a scoping review of licensed interventions for potential repurposing.开发脑小血管疾病的治疗方法:对潜在重新利用的已获许可干预措施的范围审查。
F1000Res. 2024 Dec 20;13:1546. doi: 10.12688/f1000research.157890.1. eCollection 2024.
5
Retinal vascular reactivity is associated with white matter hyperintensities and dysfunctional cerebrovascular reactivity in cerebral small vessel disease.视网膜血管反应性与脑小血管病中的白质高信号及脑血管反应性异常有关。
J Cereb Blood Flow Metab. 2025 Aug 6:271678X251366079. doi: 10.1177/0271678X251366079.
6
The vascular contribution to cognitive decline in ageing and dementia.血管因素对衰老和痴呆中认知功能减退的影响。
Nat Rev Neurosci. 2025 Aug 4. doi: 10.1038/s41583-025-00950-1.
7
Cerebral Small Vessel Disease: Therapeutic Approaches Targeting Neuroinflammation, Oxidative Stress, and Endothelial Dysfunction.脑小血管病:针对神经炎症、氧化应激和内皮功能障碍的治疗方法
Curr Issues Mol Biol. 2025 Mar 27;47(4):232. doi: 10.3390/cimb47040232.
8
Pharmacokinetics and Safety with Bioequivalence of Isosorbide Mononitrate Sustained-Release Tablets in Chinese Healthy Volunteers: Bioequivalence Study.单硝酸异山梨酯缓释片在中国健康志愿者中的药代动力学、安全性及生物等效性:生物等效性研究
Drug Des Devel Ther. 2025 Jul 14;19:6025-6035. doi: 10.2147/DDDT.S508202. eCollection 2025.
9
Neurovascular coupling assessment by transcranial doppler in acute stroke could be informative of long-term cognitive status.急性卒中患者经颅多普勒评估神经血管耦合可能有助于了解长期认知状态。
J Cereb Blood Flow Metab. 2025 Jul 4:271678X251352695. doi: 10.1177/0271678X251352695.
10
Carbon footprint of a sample of clinical trials for people with neurological disorders: cross-sectional analysis.针对神经系统疾病患者的临床试验样本的碳足迹:横断面分析
BMJ Open. 2025 Jun 17;15(6):e090419. doi: 10.1136/bmjopen-2024-090419.