• 文献检索
  • 文档翻译
  • 深度研究
  • 学术资讯
  • Suppr Zotero 插件Zotero 插件
  • 邀请有礼
  • 套餐&价格
  • 历史记录
应用&插件
Suppr Zotero 插件Zotero 插件浏览器插件Mac 客户端Windows 客户端微信小程序
定价
高级版会员购买积分包购买API积分包
服务
文献检索文档翻译深度研究API 文档MCP 服务
关于我们
关于 Suppr公司介绍联系我们用户协议隐私条款
关注我们

Suppr 超能文献

核心技术专利:CN118964589B侵权必究
粤ICP备2023148730 号-1Suppr @ 2026

文献检索

告别复杂PubMed语法,用中文像聊天一样搜索,搜遍4000万医学文献。AI智能推荐,让科研检索更轻松。

立即免费搜索

文件翻译

保留排版,准确专业,支持PDF/Word/PPT等文件格式,支持 12+语言互译。

免费翻译文档

深度研究

AI帮你快速写综述,25分钟生成高质量综述,智能提取关键信息,辅助科研写作。

立即免费体验

肝静脉淋巴系统的微观解剖结构在人类中。

Microanatomical organization of hepatic venous lymphatic system in humans.

机构信息

Department of Gastroenterological Surgery, Hirosaki University, Graduate School of Medicine, Hirosaki, Aomori, Japan.

Department of Anatomical Science, Hirosaki University, Graduate School of Medicine, Hirosaki, Aomori, Japan.

出版信息

PLoS One. 2023 May 25;18(5):e0286316. doi: 10.1371/journal.pone.0286316. eCollection 2023.

DOI:10.1371/journal.pone.0286316
PMID:37228087
原文链接:https://pmc.ncbi.nlm.nih.gov/articles/PMC10212168/
Abstract

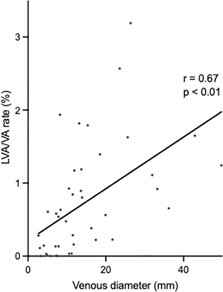
Lymphatic fluid drains from the liver via the periportal lymphatic, hepatic venous lymphatic, and superficial lymphatic systems. We performed a postmortem study to clarify the three-dimensional structure and flow dynamics of the human hepatic venous lymphatic system, as it still remains unclear. Livers were excised whole from three human cadavers, injected with India ink, and sliced into 1-cm sections from which veins were harvested. The distribution of lymphatic vessels was observed in 5 μm sections immunostained for lymphatic and vascular markers (podoplanin and CD31, respectively) using light microscopy. Continuity and density of lymphatic vessel distribution were assessed in en-face whole-mount preparations of veins using stereomicroscopy. The structure of the external hepatic vein wall was assessed with scanning electron microscopy (SEM). The lymphatic dynamics study suggested that lymphatic fluid flows through an extravascular pathway around the central and sublobular veins. A lymphatic vessel network originates in the wall of sublobular veins, with a diameter greater than 110 μm, and the peripheral portions of hepatic veins and continues to the inferior vena cava. The density distribution of lymphatic vessels is smallest in the peripheral portion of the hepatic vein (0.03%) and increases to the proximal portion (0.22%, p = 0.012) and the main trunk (1.01%, p < 0.001), correlating positively with increasing hepatic vein diameter (Rs = 0.67, p < 0.001). We revealed the three-dimensional structure of the human hepatic venous lymphatic system. The results could improve the understanding of lymphatic physiology and liver pathology.

摘要

淋巴液通过门脉周围淋巴管、肝静脉淋巴管和浅表淋巴管系统从肝脏排出。我们进行了一项尸检研究,以阐明人类肝静脉淋巴管系统的三维结构和流动动力学,因为其仍然不清楚。从三个人体尸检中取出整个肝脏,注入印度墨水,并切成 1 厘米的切片,从这些切片中取出静脉。使用淋巴和血管标志物(分别为 podoplanin 和 CD31)对 5 μm 切片进行免疫染色,观察淋巴管的分布。使用体视显微镜观察静脉的全面立体准备,评估淋巴管分布的连续性和密度。使用扫描电子显微镜(SEM)评估肝外静脉壁的结构。淋巴动力学研究表明,淋巴液通过围绕中央和小叶静脉的血管外途径流动。淋巴管网络起源于小叶静脉壁,直径大于 110 μm,并且存在于肝静脉和下腔静脉的周围部分。淋巴管的密度分布在肝静脉的周围部分最小(0.03%),并增加到近端部分(0.22%,p = 0.012)和主干(1.01%,p < 0.001),与肝静脉直径的增加呈正相关(Rs = 0.67,p < 0.001)。我们揭示了人类肝静脉淋巴管系统的三维结构。这些结果可以提高对淋巴生理学和肝脏病理学的理解。

https://cdn.ncbi.nlm.nih.gov/pmc/blobs/0d16/10212168/05eb0f9f6e02/pone.0286316.g007.jpg
https://cdn.ncbi.nlm.nih.gov/pmc/blobs/0d16/10212168/e24c12e0696b/pone.0286316.g001.jpg
https://cdn.ncbi.nlm.nih.gov/pmc/blobs/0d16/10212168/ac7f89c146a2/pone.0286316.g002.jpg
https://cdn.ncbi.nlm.nih.gov/pmc/blobs/0d16/10212168/ba136fbd6080/pone.0286316.g003.jpg
https://cdn.ncbi.nlm.nih.gov/pmc/blobs/0d16/10212168/7b67acb6cf65/pone.0286316.g004.jpg
https://cdn.ncbi.nlm.nih.gov/pmc/blobs/0d16/10212168/53357b1149b2/pone.0286316.g005.jpg
https://cdn.ncbi.nlm.nih.gov/pmc/blobs/0d16/10212168/9473577c524d/pone.0286316.g006.jpg
https://cdn.ncbi.nlm.nih.gov/pmc/blobs/0d16/10212168/05eb0f9f6e02/pone.0286316.g007.jpg
https://cdn.ncbi.nlm.nih.gov/pmc/blobs/0d16/10212168/e24c12e0696b/pone.0286316.g001.jpg
https://cdn.ncbi.nlm.nih.gov/pmc/blobs/0d16/10212168/ac7f89c146a2/pone.0286316.g002.jpg
https://cdn.ncbi.nlm.nih.gov/pmc/blobs/0d16/10212168/ba136fbd6080/pone.0286316.g003.jpg
https://cdn.ncbi.nlm.nih.gov/pmc/blobs/0d16/10212168/7b67acb6cf65/pone.0286316.g004.jpg
https://cdn.ncbi.nlm.nih.gov/pmc/blobs/0d16/10212168/53357b1149b2/pone.0286316.g005.jpg
https://cdn.ncbi.nlm.nih.gov/pmc/blobs/0d16/10212168/9473577c524d/pone.0286316.g006.jpg
https://cdn.ncbi.nlm.nih.gov/pmc/blobs/0d16/10212168/05eb0f9f6e02/pone.0286316.g007.jpg

相似文献

1
Microanatomical organization of hepatic venous lymphatic system in humans.肝静脉淋巴系统的微观解剖结构在人类中。
PLoS One. 2023 May 25;18(5):e0286316. doi: 10.1371/journal.pone.0286316. eCollection 2023.
2
Histological evaluation of intracapsular venous invasion for discrimination between portal and hepatic venous invasion in hepatocellular carcinoma.评估囊内静脉侵犯以鉴别肝细胞癌门静脉和肝静脉侵犯
J Gastroenterol Hepatol. 2010 Jan;25(1):143-9. doi: 10.1111/j.1440-1746.2009.06008.x. Epub 2009 Nov 24.
3
Origins and pathways of fluid entering sublobular lymphatic vessels in cat livers.猫肝脏小叶下淋巴管内液体的来源及途径
Arch Histol Cytol. 2003 Oct;66(4):317-26. doi: 10.1679/aohc.66.317.
4
Anatomy of retrohepatic segment of inferior vena cava and termination of hepatic veins.肝后段下腔静脉及肝静脉汇入处的解剖结构。
Indian J Gastroenterol. 2009 Dec;28(6):216-20. doi: 10.1007/s12664-009-0081-5. Epub 2010 Feb 23.
5
Lymph circulation in the liver.肝脏中的淋巴循环。
Anat Rec (Hoboken). 2008 Jun;291(6):643-52. doi: 10.1002/ar.20681.
6
Canine hepatic vein branches associated with subendothelial mast cells and an adventitial lymphatic plexus.犬肝静脉分支与内皮下肥大细胞及外膜淋巴丛相关。
Arch Histol Cytol. 1990;53 Suppl:189-97. doi: 10.1679/aohc.53.suppl_189.
7
Lymphatic vessels of the eye - old questions - new insights.眼部的淋巴管——旧问题——新见解
Ann Anat. 2019 Jan;221:1-16. doi: 10.1016/j.aanat.2018.08.004. Epub 2018 Sep 18.
8
Anatomy of the common trunk of the middle and left hepatic veins: application to liver transplantation.肝中静脉和肝左静脉共干的解剖学:在肝移植中的应用
Surg Radiol Anat. 1999;21(1):17-21. doi: 10.1007/BF01635047.
9
Functional anatomy of the retro- and suprahepatic portions of the human inferior vena cava and their main affluents.人类下腔静脉肝后段和肝上段及其主要属支的功能解剖学
Surg Radiol Anat. 1994;16(3):267-75. doi: 10.1007/BF01627681.
10
Focal veno-occlusive lesions following metastasis of cancer in the liver with special reference to obstruction of lymphatics in hepatic veins.癌症肝转移后的局灶性静脉闭塞性病变,特别提及肝静脉内淋巴管阻塞
Virchows Arch A Pathol Anat Histopathol. 1991;418(2):169-74. doi: 10.1007/BF01600293.

引用本文的文献

1
Integrated gross and microanatomical analysis of the periportal lymphatic system in human liver.人体肝脏门周淋巴系统的大体与显微解剖综合分析
J Hepatobiliary Pancreat Sci. 2025 Jun;32(6):418-428. doi: 10.1002/jhbp.12127. Epub 2025 Mar 4.
2
Neoplastic Pseudocirrhosis Pathophysiological Deepening.肿瘤性假肝硬化的病理生理深入探讨
Dig Dis Sci. 2024 Dec;69(12):4493-4494. doi: 10.1007/s10620-024-08669-2. Epub 2024 Nov 1.

本文引用的文献

1
Liver lymphatic drainage patterns follow segmental anatomy in a murine model.肝脏淋巴引流模式在小鼠模型中遵循节段性解剖结构。
Sci Rep. 2020 Dec 11;10(1):21808. doi: 10.1038/s41598-020-78727-y.
2
Achievement of complete response to nivolumab in a patient with advanced sarcomatoid hepatocellular carcinoma: A case report.一名晚期肉瘤样肝细胞癌患者对纳武单抗实现完全缓解:病例报告
World J Gastrointest Oncol. 2020 Oct 15;12(10):1209-1215. doi: 10.4251/wjgo.v12.i10.1209.
3
CUBIC pathology: three-dimensional imaging for pathological diagnosis.
立方病理:用于病理诊断的三维成像。
Sci Rep. 2017 Aug 24;7(1):9269. doi: 10.1038/s41598-017-09117-0.
4
The Hepatic Lymphatic Vascular System: Structure, Function, Markers, and Lymphangiogenesis.肝淋巴血管系统:结构、功能、标志物与淋巴管生成
Cell Mol Gastroenterol Hepatol. 2016 Sep 14;2(6):733-749. doi: 10.1016/j.jcmgh.2016.09.002. eCollection 2016 Nov.
5
Hoarseness due to lymph node metastasis of hepatocellular carcinoma: A case report.肝细胞癌淋巴结转移所致声音嘶哑:一例报告
Oncol Lett. 2016 Aug;12(2):918-920. doi: 10.3892/ol.2016.4687. Epub 2016 Jun 8.
6
The value of systematic lymph node dissection for intrahepatic cholangiocarcinoma from the viewpoint of liver lymphatics.从肝内淋巴管角度看系统性淋巴结清扫术对肝内胆管癌的价值
J Gastroenterol. 2015 Sep;50(9):913-27. doi: 10.1007/s00535-015-1071-2. Epub 2015 Apr 2.
7
Hepatic lymphatics: anatomy and related diseases.肝淋巴管:解剖学与相关疾病
Abdom Imaging. 2015 Aug;40(6):1997-2011. doi: 10.1007/s00261-015-0350-y.
8
Angiopoietin 2 regulates the transformation and integrity of lymphatic endothelial cell junctions.血管生成素 2 调节淋巴管内皮细胞连接的转化和完整性。
Genes Dev. 2014 Jul 15;28(14):1592-603. doi: 10.1101/gad.237677.114.
9
Lymphatic collecting vessel maturation and valve morphogenesis.淋巴管收集血管成熟与瓣膜形态发生。
Microvasc Res. 2014 Nov;96:31-7. doi: 10.1016/j.mvr.2014.07.001. Epub 2014 Jul 12.
10
Plasticity of button-like junctions in the endothelium of airway lymphatics in development and inflammation.气道淋巴管内皮中纽扣状连接的可塑性:在发育和炎症中的作用。
Am J Pathol. 2012 Jun;180(6):2561-75. doi: 10.1016/j.ajpath.2012.02.019. Epub 2012 Apr 23.