• 文献检索
  • 文档翻译
  • 深度研究
  • 学术资讯
  • Suppr Zotero 插件Zotero 插件
  • 邀请有礼
  • 套餐&价格
  • 历史记录
应用&插件
Suppr Zotero 插件Zotero 插件浏览器插件Mac 客户端Windows 客户端微信小程序
定价
高级版会员购买积分包购买API积分包
服务
文献检索文档翻译深度研究API 文档MCP 服务
关于我们
关于 Suppr公司介绍联系我们用户协议隐私条款
关注我们

Suppr 超能文献

核心技术专利:CN118964589B侵权必究
粤ICP备2023148730 号-1Suppr @ 2026

文献检索

告别复杂PubMed语法,用中文像聊天一样搜索,搜遍4000万医学文献。AI智能推荐,让科研检索更轻松。

立即免费搜索

文件翻译

保留排版,准确专业,支持PDF/Word/PPT等文件格式,支持 12+语言互译。

免费翻译文档

深度研究

AI帮你快速写综述,25分钟生成高质量综述,智能提取关键信息,辅助科研写作。

立即免费体验

针对HIV-1整合酶链转移抑制剂多替拉韦、比克替拉韦和卡博特韦共有的关键吡啶酮羧酸前体的合成方法。

Synthetic Approaches to a Key Pyridone-carboxylic Acid Precursor Common to the HIV-1 Integrase Strand Transfer Inhibitors Dolutegravir, Bictegravir, and Cabotegravir.

作者信息

Mahajan Pankaj S, Burke Terrence R

机构信息

Chemical Biology Laboratory, Center for Cancer Research, National Cancer Institute, National Institutes of Health, Frederick, Maryland 21702, United States.

出版信息

Org Process Res Dev. 2023 Apr 20;27(5):847-853. doi: 10.1021/acs.oprd.3c00063. eCollection 2023 May 19.

DOI:10.1021/acs.oprd.3c00063
PMID:37229216
原文链接:https://pmc.ncbi.nlm.nih.gov/articles/PMC10204085/
Abstract

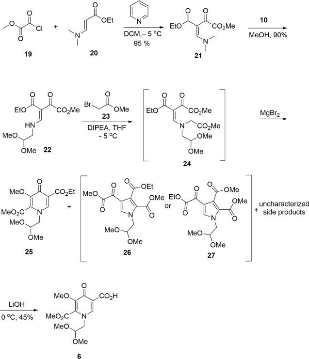
Dolutegravir (DTG), Bictegravir (BIC), and Cabotegravir (CAB) are the second-generation integrase strand transfer inhibitors (INSTIs) that have been FDA-approved for the treatment of HIV-1 infection. Preparation of these INSTIs utilizes the common intermediate 1-(2,2-dimethoxyethyl)-5-methoxy-6-(methoxycarbonyl)-4-oxo-1,4-dihydropyridine-3-carboxylic acid (). Presented herein is a literature and patent review of synthetic routes used to access the pharmaceutically important intermediate . The review highlights the ways in which small fine-tuned synthetic modifications have been used to achieve good yields and regioselectivity of ester hydrolysis.

摘要

多替拉韦(DTG)、比克替拉韦(BIC)和卡博特韦(CAB)是已获美国食品药品监督管理局(FDA)批准用于治疗HIV-1感染的第二代整合酶链转移抑制剂(INSTIs)。这些INSTIs的制备利用了常见中间体1-(2,2-二甲氧基乙基)-5-甲氧基-6-(甲氧基羰基)-4-氧代-1,4-二氢吡啶-3-羧酸( )。本文呈现了用于获取该重要药学中间体的合成路线的文献及专利综述。该综述强调了通过微小精细的合成修饰来实现酯水解的高收率和区域选择性的方法。

https://cdn.ncbi.nlm.nih.gov/pmc/blobs/b674/10204085/8388f7ce3b00/op3c00063_0008.jpg
https://cdn.ncbi.nlm.nih.gov/pmc/blobs/b674/10204085/861187f0aa42/op3c00063_0001.jpg
https://cdn.ncbi.nlm.nih.gov/pmc/blobs/b674/10204085/bd9913b20eea/op3c00063_0002.jpg
https://cdn.ncbi.nlm.nih.gov/pmc/blobs/b674/10204085/4550d3e208cb/op3c00063_0003.jpg
https://cdn.ncbi.nlm.nih.gov/pmc/blobs/b674/10204085/ce4d4b798de8/op3c00063_0004.jpg
https://cdn.ncbi.nlm.nih.gov/pmc/blobs/b674/10204085/f9c33119249b/op3c00063_0005.jpg
https://cdn.ncbi.nlm.nih.gov/pmc/blobs/b674/10204085/f7230b851ee1/op3c00063_0006.jpg
https://cdn.ncbi.nlm.nih.gov/pmc/blobs/b674/10204085/cd42026a625d/op3c00063_0007.jpg
https://cdn.ncbi.nlm.nih.gov/pmc/blobs/b674/10204085/8388f7ce3b00/op3c00063_0008.jpg
https://cdn.ncbi.nlm.nih.gov/pmc/blobs/b674/10204085/861187f0aa42/op3c00063_0001.jpg
https://cdn.ncbi.nlm.nih.gov/pmc/blobs/b674/10204085/bd9913b20eea/op3c00063_0002.jpg
https://cdn.ncbi.nlm.nih.gov/pmc/blobs/b674/10204085/4550d3e208cb/op3c00063_0003.jpg
https://cdn.ncbi.nlm.nih.gov/pmc/blobs/b674/10204085/ce4d4b798de8/op3c00063_0004.jpg
https://cdn.ncbi.nlm.nih.gov/pmc/blobs/b674/10204085/f9c33119249b/op3c00063_0005.jpg
https://cdn.ncbi.nlm.nih.gov/pmc/blobs/b674/10204085/f7230b851ee1/op3c00063_0006.jpg
https://cdn.ncbi.nlm.nih.gov/pmc/blobs/b674/10204085/cd42026a625d/op3c00063_0007.jpg
https://cdn.ncbi.nlm.nih.gov/pmc/blobs/b674/10204085/8388f7ce3b00/op3c00063_0008.jpg

相似文献

1
Synthetic Approaches to a Key Pyridone-carboxylic Acid Precursor Common to the HIV-1 Integrase Strand Transfer Inhibitors Dolutegravir, Bictegravir, and Cabotegravir.针对HIV-1整合酶链转移抑制剂多替拉韦、比克替拉韦和卡博特韦共有的关键吡啶酮羧酸前体的合成方法。
Org Process Res Dev. 2023 Apr 20;27(5):847-853. doi: 10.1021/acs.oprd.3c00063. eCollection 2023 May 19.
2
Selective resistance profiles emerging in patient-derived clinical isolates with cabotegravir, bictegravir, dolutegravir, and elvitegravir.在使用卡替拉韦、比克替拉韦、多替拉韦和艾维雷韦的患者来源的临床分离株中出现的选择性耐药谱。
Retrovirology. 2018 Aug 17;15(1):56. doi: 10.1186/s12977-018-0440-3.
3
Efficacies of Cabotegravir and Bictegravir against drug-resistant HIV-1 integrase mutants.卡博特韦和比克替拉韦对耐药性 HIV-1 整合酶突变体的疗效。
Retrovirology. 2018 May 16;15(1):37. doi: 10.1186/s12977-018-0420-7.
4
Antiviral Activity of Bictegravir and Cabotegravir against Integrase Inhibitor-Resistant SIVmac239 and HIV-1.比替拉韦和卡博特韦对整合酶抑制剂耐药 SIVmac239 和 HIV-1 的抗病毒活性。
Antimicrob Agents Chemother. 2017 Nov 22;61(12). doi: 10.1128/AAC.01695-17. Print 2017 Dec.
5
A clinical review of HIV integrase strand transfer inhibitors (INSTIs) for the prevention and treatment of HIV-1 infection.HIV 整合酶链转移抑制剂(INSTIs)在预防和治疗 HIV-1 感染方面的临床评价。
Retrovirology. 2022 Oct 22;19(1):22. doi: 10.1186/s12977-022-00608-1.
6
Comparable Activities of Second-Generation HIV-1 Integrase Strand Transfer Inhibitors (INSTIs) on HIV-1 Clinical Isolates with INSTI Resistance Mutations.具有整合酶抑制剂耐药突变的 HIV-1 临床分离株中第二代 HIV-1 整合酶链转移抑制剂(INSTIs)的可比活性。
Antimicrob Agents Chemother. 2019 Dec 20;64(1). doi: 10.1128/AAC.01717-19.
7
HIV drug resistance against strand transfer integrase inhibitors.HIV 对链转移整合酶抑制剂的耐药性。
Retrovirology. 2017 Jun 5;14(1):36. doi: 10.1186/s12977-017-0360-7.
8
Ex-vivo antiretroviral potency of newer integrase strand transfer inhibitors cabotegravir and bictegravir in HIV type 1 non-B subtypes.新型整合酶链转移抑制剂卡博特韦和比克替拉韦在 HIV 1 非 B 亚型中的抗逆转录病毒体外活性。
AIDS. 2018 Feb 20;32(4):469-476. doi: 10.1097/QAD.0000000000001726.
9
Different Pathways Conferring Integrase Strand-Transfer Inhibitors Resistance.不同途径导致整合酶链转移抑制剂耐药。
Viruses. 2022 Nov 22;14(12):2591. doi: 10.3390/v14122591.
10
HIV-1 Integrase Inhibitors That Are Active against Drug-Resistant Integrase Mutants.对耐药整合酶突变体有活性的HIV-1整合酶抑制剂。
Antimicrob Agents Chemother. 2020 Aug 20;64(9). doi: 10.1128/AAC.00611-20.

引用本文的文献

1
-Substituted Bicyclic Carbamoyl Pyridones: Integrase Strand Transfer Inhibitors that Potently Inhibit Drug-Resistant HIV-1 Integrase Mutants.取代的双环氨基甲酰基吡啶酮:整合酶链转移抑制剂,能有效抑制耐药 HIV-1 整合酶突变体。
ACS Infect Dis. 2024 Mar 8;10(3):917-927. doi: 10.1021/acsinfecdis.3c00525. Epub 2024 Feb 12.

本文引用的文献

1
A Practical Approach to Bicyclic Carbamoyl Pyridones with Application to the Synthesis of HIV-1 Integrase Strand Transfer Inhibitors.双环氨基甲酰基吡啶酮的实用方法及其在 HIV-1 整合酶链转移抑制剂合成中的应用。
Molecules. 2023 Feb 2;28(3):1428. doi: 10.3390/molecules28031428.
2
New designs for HIV-1 integrase inhibitors: a patent review (2018-present).HIV-1整合酶抑制剂的新设计:专利综述(2018年至今)
Expert Opin Ther Pat. 2023 Jan;33(1):51-66. doi: 10.1080/13543776.2023.2178300. Epub 2023 Feb 14.
3
Update and latest advances in antiretroviral therapy.
抗逆转录病毒治疗的最新进展和研究动态。
Trends Pharmacol Sci. 2022 Jan;43(1):16-29. doi: 10.1016/j.tips.2021.10.004. Epub 2021 Nov 3.
4
Preparation of the Key Dolutegravir Intermediate via MgBr-Promoted Cyclization.通过MgBr促进的环化反应制备关键度鲁特韦中间体
Molecules. 2021 May 11;26(10):2850. doi: 10.3390/molecules26102850.
5
Human Immunodeficiency Virus/AIDS in the Era of Coronavirus Disease 2019: A Juxtaposition of 2 Pandemics.2019 年冠状病毒病时代的人类免疫缺陷病毒/艾滋病:两种大流行病的并置。
J Infect Dis. 2021 Nov 16;224(9):1455-1461. doi: 10.1093/infdis/jiab114.
6
Structural Biology of HIV Integrase Strand Transfer Inhibitors.HIV 整合酶链转移抑制剂的结构生物学。
Trends Pharmacol Sci. 2020 Sep;41(9):611-626. doi: 10.1016/j.tips.2020.06.003. Epub 2020 Jul 3.
7
Multifaceted HIV integrase functionalities and therapeutic strategies for their inhibition.HIV 整合酶的多方面功能及其抑制的治疗策略。
J Biol Chem. 2019 Oct 11;294(41):15137-15157. doi: 10.1074/jbc.REV119.006901. Epub 2019 Aug 29.
8
Retroviral DNA Integration.逆转录病毒DNA整合
Chem Rev. 2016 Oct 26;116(20):12730-12757. doi: 10.1021/acs.chemrev.6b00125. Epub 2016 May 20.
9
An efficient and highly diastereoselective synthesis of GSK1265744, a potent HIV integrase inhibitor.高效、高非对映选择性合成 GSK1265744,一种有效的 HIV 整合酶抑制剂。
Org Lett. 2015 Feb 6;17(3):564-7. doi: 10.1021/ol503580t. Epub 2015 Jan 23.
10
Investigating the role of metal chelation in HIV-1 integrase strand transfer inhibitors.研究金属螯合在 HIV-1 整合酶链转移抑制剂中的作用。
J Med Chem. 2011 Dec 22;54(24):8407-20. doi: 10.1021/jm200851g. Epub 2011 Nov 22.