Suppr超能文献

肌肉拉长预负荷增强肌肉缩短扭矩具有关节特异性。

Enhancement of Muscle Shortening Torque Preloaded with Muscle Lengthening is Joint-Specific.

作者信息

Almutairi Marzouq K, Hunter Gary R, Lein Donald H, Kim SoJung, Bryan David R, Inacio Mario, Hurt Christopher P, Reed William, Singh Harshvardhan

机构信息

Department of Physical Therapy, University of Alabama at Birmingham, Birmingham, AL, USA.

Department of Physical Therapy, Qassim University, Qassim, Saudi Arabia.

出版信息

J Hum Kinet. 2023 Apr 20;87:11-21. doi: 10.5114/jhk/161729. eCollection 2023 Apr.

Abstract

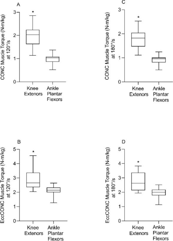
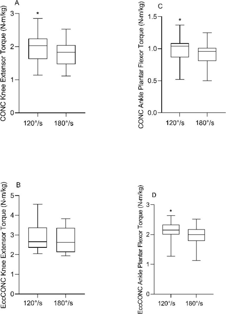
Our cross-sectional study aimed to investigate joint specificity of concentric muscle torque enhancement after a maximum eccentric contraction for the knee versus ankle joints across two different movement velocities (120°/s and 180°/s). After a familiarization session, 22 healthy young adults randomly performed concentric (CONC) and maximum eccentric preloaded concentric (EccCONC) muscle strength tests of the knee extensors and ankle plantar flexors of the non-dominant leg on an isokinetic strength testing device. We calculated the ratio between EccCONC and CONC (EccCONC/CONC) for all the conditions as the marker of concentric muscle torque enhancement. Separate two-way (joints x velocity) within repeated measures ANOVAs were used to determine joint-specific torque differences at 120°/s and 180°/s. CONC and EccCONC were greater for the knee extensors versus ankle plantar flexors at 120°/s and 180°/s (32.86%-102%; p < 0.001 for both); however, EccCONC/CONC was greater for the ankle plantar flexors than knee extensors at 120°/s (52.4%; p < 0.001) and 180°/s (41.9%; p < 0.001). There was a trend of greater EccCONC/CONC for the knee extensors at 180°/s than 120°/s (6.6%; p = 0.07). Our results show that greater concentric muscle torque enhancement after a maximal eccentric contraction occurs for the ankle plantar flexors versus knee extensors. Whether the joint- specificity of concentric muscle torque enhancement after a maximal eccentric contraction differentially affects sports performance is unknown. Our data provide a reference framework to investigate joint-specific concentric muscle torque enhancement for general and clinical athletic populations.

摘要

我们的横断面研究旨在调查在两种不同运动速度(120°/秒和180°/秒)下,膝关节与踝关节在最大离心收缩后向心肌肉扭矩增强的关节特异性。在进行一次熟悉训练后,22名健康的年轻成年人在等速力量测试设备上对非优势腿的膝伸肌和踝跖屈肌随机进行了向心(CONC)和最大离心预加载向心(EccCONC)肌肉力量测试。我们计算了所有条件下EccCONC与CONC的比值(EccCONC/CONC)作为向心肌肉扭矩增强的指标。采用重复测量方差分析中的单独双向(关节×速度)分析来确定120°/秒和180°/秒时的关节特异性扭矩差异。在120°/秒和180°/秒时,膝伸肌的CONC和EccCONC均大于踝跖屈肌(32.86%-102%;两者p均<0.001);然而,在120°/秒(52.4%;p<0.001)和180°/秒(41.9%;p<0.001)时,踝跖屈肌的EccCONC/CONC大于膝伸肌。在180°/秒时膝伸肌的EccCONC/CONC有高于120°/秒的趋势(6.6%;p=0.07)。我们的结果表明,与膝伸肌相比,最大离心收缩后踝跖屈肌的向心肌肉扭矩增强更大。最大离心收缩后向心肌肉扭矩增强的关节特异性是否会对运动表现产生不同影响尚不清楚。我们的数据为研究普通和临床运动员群体的关节特异性向心肌肉扭矩增强提供了一个参考框架。

https://cdn.ncbi.nlm.nih.gov/pmc/blobs/abbf/10203843/c77b6725af89/JHK-87-161729-g001.jpg

文献AI研究员

20分钟写一篇综述,助力文献阅读效率提升50倍。

立即体验

用中文搜PubMed

大模型驱动的PubMed中文搜索引擎

马上搜索

文档翻译

学术文献翻译模型,支持多种主流文档格式。

立即体验