The Department of Dysphagia Rehabilitation, Nihon University School of Dentistry, Tokyo 101-8310, Japan.
Department of Dysphagia Rehabilitation, Division of Gerontology and Gerodontology, Tokyo Medical and Dental University, Tokyo 113-8549, Japan.
Nutrients. 2023 May 11;15(10):2273. doi: 10.3390/nu15102273.
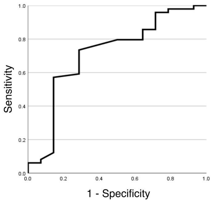
Providing a normal diet to a care recipient who is unable to form an adequate bolus may cause suffocation or aspiration pneumonia. We investigated whether differences in kinematic data of mandibular movements during mastication can be used as an indicator of the need for a dysphagia diet in the elderly in long-term care facilities. We included 63 participants who were provided with solid food in two long-term care facilities. The primary outcome variable was the kinematic data on mandibular movement during cracker chewing. The analysis results were compared between the normal and dysphagia diet groups. Logistic regression analysis and receiver operating characteristic curve analyses were performed. Significant differences were observed in the masticatory time, cycle frequency, total change amount, number of linear motions, and circular motion frequency between the normal and modified diet groups. The odds ratio for the circular motion frequency was -0.307, and the calculated cutoff value was 63%, with a sensitivity of 71.4%, a specificity of 73.5%, and an area under the curve of 0.714. Thus, these characteristics may be useful for detecting care recipients who need to be provided with a dysphagia diet. Moreover, the circular motion frequency could be used as a screening test to identify people who need a dysphagia diet.
给无法形成足够食团的照护者提供普通饮食可能导致窒息或吸入性肺炎。我们研究了咀嚼过程中下颌运动的运动学数据差异是否可以作为长期护理机构中老年人需要吞咽困难饮食的指标。我们纳入了在两个长期护理机构中提供固体食物的 63 名参与者。主要结局变量是咀嚼饼干时下颌运动的运动学数据。分析结果在正常饮食组和吞咽困难饮食组之间进行比较。进行了逻辑回归分析和受试者工作特征曲线分析。在正常饮食组和改良饮食组之间,咀嚼时间、咀嚼周期频率、总变化量、直线运动次数和圆形运动频率存在显著差异。圆形运动频率的优势比为-0.307,计算的截止值为 63%,灵敏度为 71.4%,特异性为 73.5%,曲线下面积为 0.714。因此,这些特征可能有助于检测需要提供吞咽困难饮食的照护者。此外,圆形运动频率可作为筛选试验来识别需要吞咽困难饮食的人群。