Suppr超能文献

优化危重症儿童的万古霉素治疗:一项群体药代动力学研究,以利用新型生物标志物指导万古霉素曲线下面积估计

Optimizing Vancomycin Therapy in Critically Ill Children: A Population Pharmacokinetics Study to Inform Vancomycin Area under the Curve Estimation Using Novel Biomarkers.

作者信息

Downes Kevin J, Zuppa Athena F, Sharova Anna, Neely Michael N

机构信息

The Center for Clinical Pharmacology, Children's Hospital of Philadelphia, Philadelphia, PA 19104, USA.

Clinical Futures, Children's Hospital of Philadelphia, Philadelphia, PA 19104, USA.

出版信息

Pharmaceutics. 2023 Apr 25;15(5):1336. doi: 10.3390/pharmaceutics15051336.

Abstract

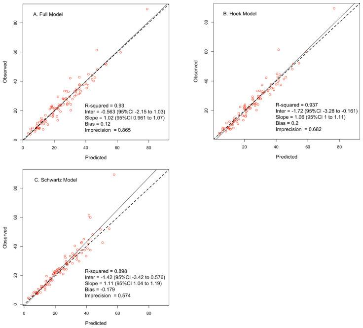
Area under the curve (AUC)-directed vancomycin therapy is recommended, but Bayesian AUC estimation in critically ill children is difficult due to inadequate methods for estimating kidney function. We prospectively enrolled 50 critically ill children receiving IV vancomycin for suspected infection and divided them into model training (n = 30) and testing (n = 20) groups. We performed nonparametric population PK modeling in the training group using Pmetrics, evaluating novel urinary and plasma kidney biomarkers as covariates on vancomycin clearance. In this group, a two-compartment model best described the data. During covariate testing, cystatin C-based estimated glomerular filtration rate (eGFR) and urinary neutrophil gelatinase-associated lipocalin (NGAL; full model) improved model likelihood when included as covariates on clearance. We then used multiple-model optimization to define the optimal sampling times to estimate AUC for each subject in the model testing group and compared the Bayesian posterior AUC to AUC calculated using noncompartmental analysis from all measured concentrations for each subject. Our full model provided accurate and precise estimates of vancomycin AUC (bias 2.3%, imprecision 6.2%). However, AUC prediction was similar when using reduced models with only cystatin C-based eGFR (bias 1.8%, imprecision 7.0%) or creatinine-based eGFR (bias -2.4%, imprecision 6.2%) as covariates on clearance. All three model(s) facilitated accurate and precise estimation of vancomycin AUC in critically ill children.

摘要

推荐采用曲线下面积(AUC)指导的万古霉素治疗,但由于评估肾功能的方法不足,在危重症儿童中进行贝叶斯AUC估计较为困难。我们前瞻性纳入了50例因疑似感染接受静脉万古霉素治疗的危重症儿童,并将他们分为模型训练组(n = 30)和测试组(n = 20)。我们在训练组中使用Pmetrics进行非参数群体药代动力学建模,评估新型尿液和血浆肾脏生物标志物作为万古霉素清除率的协变量。在该组中,二室模型最能描述数据。在协变量测试期间,基于胱抑素C的估计肾小球滤过率(eGFR)和尿中性粒细胞明胶酶相关脂质运载蛋白(NGAL;完整模型)作为清除率的协变量纳入时,改善了模型似然度。然后,我们使用多模型优化来确定模型测试组中每个受试者估计AUC时的最佳采样时间,并将贝叶斯后验AUC与使用非房室分析从每个受试者所有测量浓度计算得到的AUC进行比较。我们的完整模型对万古霉素AUC提供了准确且精确的估计(偏差2.3%,不精密度6.2%)。然而,当使用仅基于胱抑素C的eGFR(偏差1.8%,不精密度7.0%)或基于肌酐的eGFR(偏差 -2.4%,不精密度6.2%)作为清除率协变量的简化模型时,AUC预测相似。所有三种模型都有助于准确且精确地估计危重症儿童的万古霉素AUC。

https://cdn.ncbi.nlm.nih.gov/pmc/blobs/176a/10220925/6e3a4c04a57c/pharmaceutics-15-01336-g001.jpg

文献检索

告别复杂PubMed语法,用中文像聊天一样搜索,搜遍4000万医学文献。AI智能推荐,让科研检索更轻松。

立即免费搜索

文件翻译

保留排版,准确专业,支持PDF/Word/PPT等文件格式,支持 12+语言互译。

免费翻译文档

深度研究

AI帮你快速写综述,25分钟生成高质量综述,智能提取关键信息,辅助科研写作。

立即免费体验