Suppr超能文献

托西酸瑞马唑仑与丙泊酚对行非心脏大手术老年患者术后谵妄影响的比较:一项随机对照试验方案。

Comparison of the effects of remimazolam tosylate and propofol on postoperative delirium among older adults undergoing major non-cardiac surgery: protocol for a randomised controlled trial.

机构信息

Department of Anesthesiology, National Cancer Center/National Clinical Research Center for Cancer/Cancer Hospital, Chinese Academy of Medical Sciences and Peking Union Medical College, Beijing, China.

Office of Cancer Screening, National Cancer Center/National Clinical Research Center for Cancer/Cancer Hospital, Chinese Academy of Medical Sciences and Peking Union Medical College, Beijing, China.

出版信息

BMJ Open. 2023 May 29;13(5):e071912. doi: 10.1136/bmjopen-2023-071912.

Abstract

INTRODUCTION

Postoperative delirium (POD) is a common cognitive disturbance in elderly individuals that is characterised by acute and fluctuating impairments in attention and awareness. Remimazolam tosylate is a novel, ultrashort-acting benzodiazepine, and there is limited evidence of its correlation with the incidence of early POD. The aim of this study is to evaluate the incidence of POD after anaesthesia induction and maintenance with remimazolam tosylate or propofol in elderly patients undergoing major non-cardiac surgery.

METHODS AND ANALYSIS

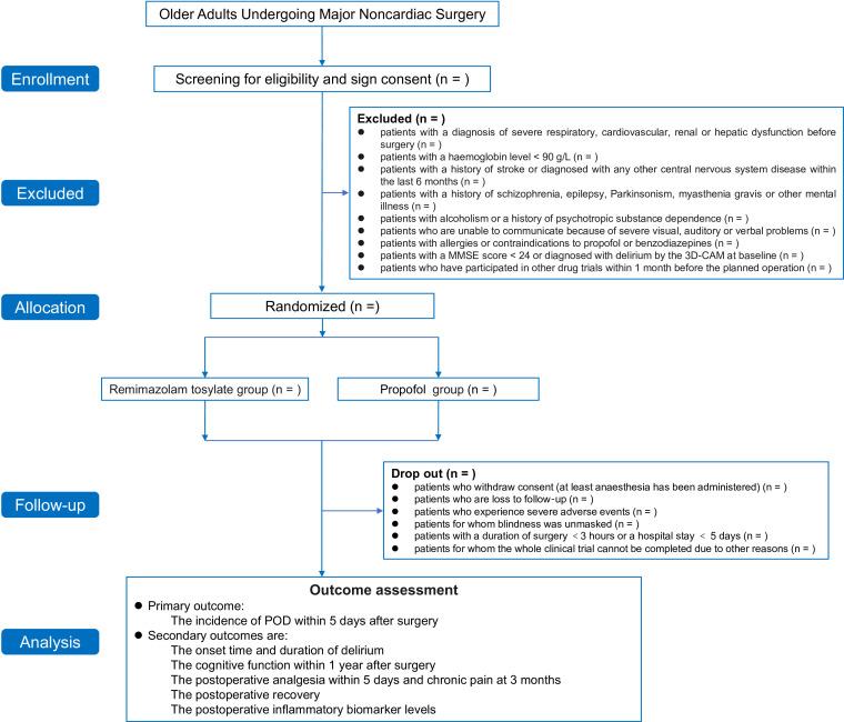
This is a single-centre, randomised controlled trial. 636 elderly patients undergoing major non-cardiac surgery will be enrolled and randomised at a 1:1 ratio to receive total intravenous anaesthesia with either remimazolam tosylate or propofol. The primary outcome is the incidence of POD within 5 days after surgery. Delirium will be assessed twice daily by the 3 min Diagnostic Interview for the Confusion Assessment Method or the Confusion Assessment Method for the intensive care unit (ICU) for ICU patients. Secondary outcomes are the onset and duration of delirium, cognitive function at discharge and within 1-year postoperatively, postoperative analgesia within 5 days, chronic pain at 3 months, quality of recovery and postoperative inflammatory biomarker levels.

ETHICS AND DISSEMINATION

The study was approved by the institutional ethics committee of the National Cancer Center/National Clinical Research Center for Cancer/Cancer Hospital, Chinese Academy of Medical Sciences (approval No. 22/520-3722). Written informed consent will be obtained from each patient before enrolment. The results of this trial will be presented at scientific conferences and in peer-reviewed scientific journals.

TRIAL REGISTRATION NUMBER

ChiCTR2300067368.

摘要

介绍

术后谵妄(POD)是老年人中常见的认知障碍,其特征为注意力和意识的急性和波动受损。甲苯磺酸雷米唑仑是一种新型的超短效苯二氮䓬类药物,其与早期 POD 发生率的相关性证据有限。本研究旨在评估在接受非心脏大手术的老年患者中,使用甲苯磺酸雷米唑仑或丙泊酚诱导和维持麻醉后 POD 的发生率。

方法和分析

这是一项单中心、随机对照试验。将纳入 636 名接受非心脏大手术的老年患者,并以 1:1 的比例随机分为接受甲苯磺酸雷米唑仑或丙泊酚全静脉麻醉的两组。主要结局是术后 5 天内 POD 的发生率。术后每天两次通过 3 分钟诊断性谵妄评估方法或重症监护病房(ICU)的谵妄评估方法评估谵妄。次要结局是谵妄的发生和持续时间、出院时和术后 1 年内的认知功能、术后 5 天内的术后镇痛、术后 3 个月的慢性疼痛、恢复质量和术后炎症生物标志物水平。

伦理和传播

该研究已获得国家癌症中心/国家临床医学研究中心/中国医学科学院肿瘤医院机构伦理委员会的批准(批准号 22/520-3722)。在纳入患者之前,将从每位患者处获得书面知情同意。本试验的结果将在科学会议和同行评议的科学期刊上发表。

临床试验注册号

ChiCTR2300067368。

https://cdn.ncbi.nlm.nih.gov/pmc/blobs/3cd8/10231024/5ad75deb533f/bmjopen-2023-071912f01.jpg

文献AI研究员

20分钟写一篇综述,助力文献阅读效率提升50倍。

立即体验

用中文搜PubMed

大模型驱动的PubMed中文搜索引擎

马上搜索

文档翻译

学术文献翻译模型,支持多种主流文档格式。

立即体验