Suppr超能文献

精神分裂症患者进行12周运动项目后炎症标志物的变化——一项随机对照试验

Alterations in inflammatory markers after a 12-week exercise program in individuals with schizophrenia-a randomized controlled trial.

作者信息

Bigseth Therese Torgersen, Engh John Abel, Andersen Eivind, Bang-Kittilsen Gry, Egeland Jens, Falk Ragnhild Sørum, Holmen Tom Langerud, Mordal Jon, Nielsen Jimmi, Ueland Thor, Vang Torkel, Fredriksen Mats

机构信息

Institute of Clinical Medicine, Faculty of Health Sciences, University of Oslo, Oslo, Norway.

Division of Mental Health and Addiction, Vestfold Hospital Trust, Tønsberg, Norway.

出版信息

Front Psychiatry. 2023 May 11;14:1175171. doi: 10.3389/fpsyt.2023.1175171. eCollection 2023.

Abstract

BACKGROUND

In individuals with schizophrenia, inflammation is associated with depression, somatic comorbidity and reduced quality of life. Physical exercise is known to reduce inflammation in other populations, but we have only limited knowledge in the field of schizophrenia. We assessed inflammatory markers in plasma samples from individuals with schizophrenia participating in an exercise intervention randomized controlled trial. We hypothesized that (i) physical exercise would reduce levels of inflammatory markers and (ii) elevated inflammatory status at baseline would be associated with improvement in cardiorespiratory fitness (CRF) following intervention.

METHOD

Eighty-two individuals with schizophrenia were randomized to a 12-week intervention of either high-intensity interval training (HIIT,  = 43) or active video gaming (AVG,  = 39). Participants were assessed at baseline, post intervention and four months later. The associations between exercise and the inflammatory markers soluble urokinase plasminogen activator receptor, c-reactive protein, tumor necrosis factor (TNF), soluble TNF receptor 1 and interleukin 6 (IL-6) were estimated using linear mixed effect models for repeated measures. For estimating associations between baseline inflammation and change in CRF, we used linear regression models.

RESULTS

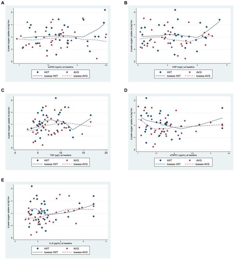
Our main findings were (i) TNF and IL-6 increased during the intervention period for both groups. Other inflammatory markers did not change during the exercise intervention period; (ii) baseline inflammatory status did not influence change in CRF during intervention, except for a positive association between baseline IL-6 levels and improvements of CRF to post intervention for both groups.

CONCLUSION

In our study, HIIT and AVG for 12-weeks had no reducing effect on inflammatory markers. Patients with high baseline IL-6 levels had a positive change in CRF during intervention. In order to increase our knowledge regarding association between inflammatory markers and exercise in individuals with schizophrenia, larger studies with more frequent and longer exercise bout duration are warranted.

摘要

背景

在精神分裂症患者中,炎症与抑郁、躯体共病及生活质量下降有关。已知体育锻炼可减轻其他人群的炎症,但在精神分裂症领域我们的了解有限。我们评估了参与运动干预随机对照试验的精神分裂症患者血浆样本中的炎症标志物。我们假设:(i)体育锻炼会降低炎症标志物水平;(ii)基线时炎症状态升高与干预后心肺适能(CRF)改善相关。

方法

82名精神分裂症患者被随机分为高强度间歇训练(HIIT,n = 43)或主动式电子游戏(AVG,n = 39)的12周干预组。在基线、干预后及四个月后对参与者进行评估。使用重复测量的线性混合效应模型估计运动与炎症标志物可溶性尿激酶型纤溶酶原激活物受体、C反应蛋白、肿瘤坏死因子(TNF)、可溶性TNF受体1和白细胞介素6(IL - 6)之间的关联。为估计基线炎症与CRF变化之间的关联,我们使用了线性回归模型。

结果

我们的主要发现是:(i)两组在干预期TNF和IL - 6均升高。其他炎症标志物在运动干预期未发生变化;(ii)基线炎症状态在干预期间未影响CRF变化,除了两组基线IL - 6水平与干预后CRF改善呈正相关。

结论

在我们的研究中,12周的HIIT和AVG对炎症标志物无降低作用。基线IL - 6水平高的患者在干预期间CRF有正向变化。为增加我们对精神分裂症患者炎症标志物与运动之间关联的了解,有必要开展更大规模、运动次数更频繁且持续时间更长的研究。

https://cdn.ncbi.nlm.nih.gov/pmc/blobs/d0dc/10231033/354f140c9103/fpsyt-14-1175171-g001.jpg

文献AI研究员

20分钟写一篇综述,助力文献阅读效率提升50倍。

立即体验

用中文搜PubMed

大模型驱动的PubMed中文搜索引擎

马上搜索

文档翻译

学术文献翻译模型,支持多种主流文档格式。

立即体验