Farida Helmia, Triasih Rina, Lokida Dewi, Mardian Yan, Salim Gustiani, Wulan Wahyu Nawang, Butar-Butar Deni P, Sari Rizki Amalia, Budiman Arif, Hayuningsih Chakrawati, Anam Moh Syarofil, Dipayana Setya, Mujahidah Mujahidah, Setyati Amalia, Aman Abu Tholib, Naysilla Adhella Menur, Lukman Nurhayati, Diana Aly, Karyana Muhammad, Kline Ahnika, Neal Aaron, Lane H Clifford, Kosasih Herman, Lau Chuen-Yen
Rumah Sakit Umum Pusat Dr. Kariadi Hospital/Diponegoro University, Semarang, Indonesia.
Rumah Sakit Umum Pusat Dr. Sardjito Hospital/Universitas Gadjah Mada, Yogyakarta, Indonesia.
Front Med (Lausanne). 2023 May 18;10:1140100. doi: 10.3389/fmed.2023.1140100. eCollection 2023.
Discrimination of bacterial and viral etiologies of childhood community-acquired pneumonia (CAP) is often challenging. Unnecessary antibiotic administration exposes patients to undue risks and may engender antimicrobial resistance. This study aimed to develop a prediction model using epidemiological, clinical and laboratory data to differentiate between bacterial and viral CAP.
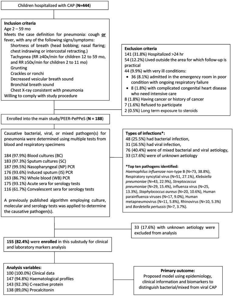
Data from 155 children with confirmed bacterial or mixed bacterial and viral infection ( = 124) and viral infection ( = 31) were derived from a comprehensive assessment of causative pathogens [Partnerships for Enhanced Engagement in Research-Pneumonia in Pediatrics (PEER-PePPeS)] conducted in Indonesia. Epidemiologic, clinical and biomarker profiles (hematology and inflammatory markers) were compared between groups. The area under the receiver operating characteristic curve (AUROC) for varying biomarker levels was used to characterize performance and determine cut-off values for discrimination of bacterial and mixed CAP versus viral CAP. Diagnostic predictors of bacterial and mixed CAP were assessed by multivariate logistic regression.
Diarrhea was more frequently reported in bacterial and mixed CAP, while viral infections more frequently occurred during Indonesia's rainy season. White blood cell counts (WBC), absolute neutrophil counts (ANC), neutrophil-lymphocyte ratio (NLR), C-reactive protein (CRP), and procalcitonin (PCT) were significantly higher in bacterial and mixed cases. After adjusting for covariates, the following were the most important predictors of bacterial or mixed CAP: rainy season (aOR 0.26; 95% CI 0.08-0.90; = 0.033), CRP ≥5.70 mg/L (aOR 4.71; 95% CI 1.18-18.74; = 0.028), and presence of fever (aOR 5.26; 95% CI 1.07-25.91; = 0.041). The model assessed had a low R-squared (Nagelkerke = 0.490) but good calibration ( = 0.610 for Hosmer Lemeshow test). The combination of CRP and fever had moderate predictive value with sensitivity and specificity of 62.28 and 65.52%, respectively.
Combining clinical and laboratory profiles is potentially valuable for discriminating bacterial and mixed from viral pediatric CAP and may guide antibiotic use. Further studies with a larger sample size should be performed to validate this model.
鉴别儿童社区获得性肺炎(CAP)的细菌和病毒病因往往具有挑战性。不必要地使用抗生素会使患者面临不必要的风险,并可能产生耐药性。本研究旨在利用流行病学、临床和实验室数据开发一种预测模型,以区分细菌性和病毒性CAP。
155例确诊为细菌或混合细菌与病毒感染(n = 124)以及病毒感染(n = 31)的儿童数据,来自于在印度尼西亚进行的一项关于致病病原体的综合评估[增强儿科肺炎研究参与伙伴关系(PEER - PePPeS)]。对两组之间的流行病学、临床和生物标志物特征(血液学和炎症标志物)进行比较。使用不同生物标志物水平的受试者工作特征曲线下面积(AUROC)来表征性能,并确定区分细菌性和混合性CAP与病毒性CAP的临界值。通过多因素逻辑回归评估细菌性和混合性CAP的诊断预测因素。
腹泻在细菌性和混合性CAP中报告更为频繁,而病毒感染在印度尼西亚雨季更为常见。细菌性和混合性病例中的白细胞计数(WBC)、绝对中性粒细胞计数(ANC)、中性粒细胞与淋巴细胞比值(NLR)、C反应蛋白(CRP)和降钙素原(PCT)显著更高。在对协变量进行调整后,以下是细菌性或混合性CAP的最重要预测因素:雨季(调整后比值比[aOR] 0.26;95%置信区间[CI] 0.08 - 0.90;P = 0.033)、CRP≥5.70 mg/L(aOR 4.71;95% CI 1.18 - 18.74;P = 0.028)以及发热(aOR 5.26;95% CI 1.07 - 25.91;P = 0.041)。所评估的模型具有较低的决定系数(Nagelkerke R² = 0.490),但校准良好(Hosmer Lemeshow检验的P = 0.610)。CRP和发热的组合具有中等预测价值,敏感性和特异性分别为62.28%和65.52%。
结合临床和实验室特征对于区分儿童细菌性和混合性与病毒性CAP可能具有重要价值,并可能指导抗生素的使用。应进行更大样本量的进一步研究以验证该模型。