Suppr超能文献

奥利司他干预来曲唑联合高脂饮食诱导多囊卵巢综合征大鼠模型的粪便微生物群和代谢组学分析。

Integrated fecal microbiota and metabolomics analysis of the orlistat intervention effect on polycystic ovary syndrome rats induced by letrozole combined with a high-fat diet.

机构信息

Department of Pediatric Endocrinology, Shandong Provincial Hospital, Shandong University, Jinan, 250021, Shandong, China.

State Key Laboratory of Integration and Innovation of Classic Formula and Modern Chinese Medicine, Lunan Pharmaceutical Group Co. Ltd., Linyi, 276006, Shandong, China.

出版信息

J Ovarian Res. 2023 Jun 5;16(1):109. doi: 10.1186/s13048-023-01193-3.

Abstract

BACKGROUND

This study aimed to compare the characteristics of the gut microbiota and their metabolite profiles between polycystic ovary syndrome (PCOS) and orlistat-treated PCOS rats (ORL-PCOS), which could help to better understand the underlying mechanism of the effect of orlistat on PCOS.

METHODS

PCOS rat models were established using letrozole combined with a high-fat diet. Ten rats were randomly selected as a PCOS control group (PCOS). The other three groups (n = 10/group) were additionally supplemented with different doses of orlistat (low, medium, high). Then, fecal samples of the PCOS and ORL-PCOS groups were analysed by 16S rRNA gene sequencing and untargeted metabolomics. Blood samples were collected to detect serum sex hormones and lipids.

RESULTS

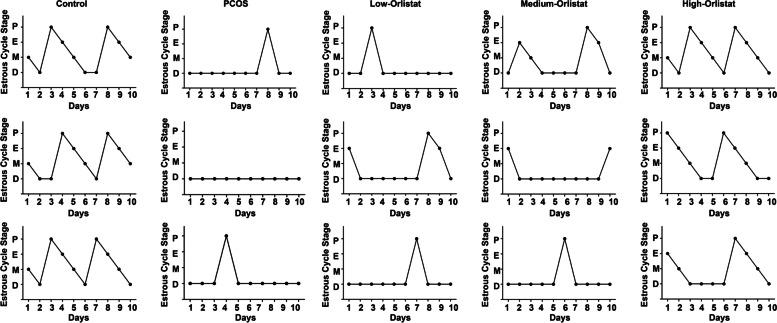
The results showed that orlistat attenuated the body weight gain, decreased the levels of T, LH, the LH/FSH ratio, TC, TG and LDL-C; increased the level of E2; and improved estrous cycle disorder in PCOS rats. The bacterial richness and diversity of the gut microbiota in the ORL-PCOS group were higher than those in the PCOS group. The ratio of Firmicutes to Bacteroidetes was decreased with orlistat treatment. Moreover, orlistat treatment led to a significant decrease in the relative abundance of Ruminococcaceae and Lactobacillaceae, and increases in the abundances of Muribaculaceae and Bacteroidaceae. Metabolic analysis identified 216 differential fecal metabolites in total and 6 enriched KEGG pathways between the two groups, including steroid hormone biosynthesis, neuroactive ligand-receptor interaction and vitamin digestion and absorption. Steroid hormone biosynthesis was the pathway with the most significant enrichment. The correlations between the gut microbiota and differential metabolites were calculated, which may provide a basis for understanding the composition and function of microbial communities.

CONCLUSIONS

Our data suggested that orlistat exerts a PCOS treatment effect, which may be mediated by modifying the structure and composition of the gut microbiota, as well as the metabolite profiles of PCOS rats.

摘要

背景

本研究旨在比较多囊卵巢综合征(PCOS)和奥利司他治疗的 PCOS 大鼠(ORL-PCOS)的肠道微生物群特征及其代谢物谱,这有助于更好地理解奥利司他治疗 PCOS 的作用机制。

方法

使用来曲唑联合高脂饮食建立 PCOS 大鼠模型。随机选择 10 只大鼠作为 PCOS 对照组(PCOS)。另外三组(每组 10 只)分别补充不同剂量的奥利司他(低、中、高)。然后,通过 16S rRNA 基因测序和非靶向代谢组学分析 PCOS 和 ORL-PCOS 组的粪便样本。采集血样检测血清性激素和血脂。

结果

结果表明,奥利司他可减轻 PCOS 大鼠的体重增加,降低 T、LH、LH/FSH 比值、TC、TG 和 LDL-C 水平,增加 E2 水平,改善 PCOS 大鼠的发情周期紊乱。ORL-PCOS 组肠道微生物群的细菌丰富度和多样性高于 PCOS 组。奥利司他治疗后,厚壁菌门与拟杆菌门的比例降低。此外,奥利司他治疗导致瘤胃球菌科和乳杆菌科的相对丰度显著降低,而穆里巴科和拟杆菌科的丰度增加。代谢分析共鉴定出 216 种差异粪便代谢物和两组之间 6 种富集的 KEGG 途径,包括类固醇激素生物合成、神经活性配体-受体相互作用和维生素消化吸收。类固醇激素生物合成是最显著的富集途径。计算了肠道微生物群和差异代谢物之间的相关性,这可能为理解微生物群落的组成和功能提供依据。

结论

我们的数据表明,奥利司他发挥了 PCOS 的治疗作用,这可能是通过调节肠道微生物群的结构和组成以及 PCOS 大鼠的代谢物谱来介导的。

https://cdn.ncbi.nlm.nih.gov/pmc/blobs/ceae/10240724/3550071a8e43/13048_2023_1193_Fig1_HTML.jpg

文献AI研究员

20分钟写一篇综述,助力文献阅读效率提升50倍。

立即体验

用中文搜PubMed

大模型驱动的PubMed中文搜索引擎

马上搜索

文档翻译

学术文献翻译模型,支持多种主流文档格式。

立即体验