Suppr超能文献

肺癌患者电视辅助胸腔镜手术后手术部位伤口感染和伤口疼痛的Meta 分析。

Surgical site wound infection and wound pain after video-assisted thoracoscopy in patients with lung cancer: A meta-analysis.

机构信息

Department of Surgery, Shanghai Chest Hospital, Shanghai Jiao Tong University, Shanghai, China.

Department of Respiratory Medicine, 971 Hospital of Qingdao People's Liberation Army, Qingdao, China.

出版信息

Int Wound J. 2023 Nov;20(9):3898-3905. doi: 10.1111/iwj.14237. Epub 2023 Jun 9.

Abstract

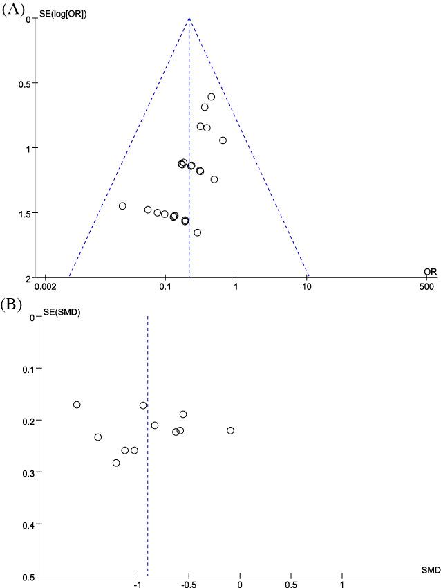
A meta-analysis was performed to comprehensively assess the effects of video-assisted thoracoscopy on surgical site wound infection and wound pain in patients with lung cancer. Studies on video-assisted thoracoscopy for lung cancer were collected from PubMed, EMBASE, Cochrane Library, Web of Science, China National Knowledge Infrastructure, Chinese Biomedical Literature Database, and Wanfang database, from inception to January 2023. Two researchers independently screened the literature, extracted the data, and evaluated the quality of the included studies according to the inclusion and exclusion criteria. Meta-analysis was performed using RevMan 5.4 software. Thirty-one articles with a total of 3608 patients were included, with 1809 in the video-assisted thoracoscopy group and 1799 in the control group. Compared with the control group, video-assisted thoracoscopy significantly reduced surgical site wound infection (odds ratio: 0.22, 95% confidence interval [CI]: 0.14-0.33, P < .001) and surgical site wound pain at postoperative day 1 (standardised mean difference [SMD]: -0.90, 95% CI: -1.17 to -0.64, P < .001) and postoperative day 3 (SMD: -1.59, 95% CI: -2.25 to -0.92, P < .001). Thus, these results showed that video-assisted thoracoscopy may have beneficial outcomes by reducing surgical site wound infection and pain. However, owing to the large variation in sample sizes and some methodological shortcomings, further validation is needed in future studies with higher quality and larger sample sizes.

摘要

进行了一项荟萃分析,全面评估了电视辅助胸腔镜手术对肺癌患者手术部位伤口感染和伤口疼痛的影响。从 PubMed、EMBASE、Cochrane 图书馆、Web of Science、中国国家知识基础设施、中国生物医学文献数据库和万方数据库中收集了关于电视辅助胸腔镜手术治疗肺癌的研究,检索时间截至 2023 年 1 月。两名研究人员根据纳入和排除标准独立筛选文献、提取数据,并评估纳入研究的质量。使用 RevMan 5.4 软件进行荟萃分析。共纳入 31 篇文章,总计 3608 例患者,其中电视辅助胸腔镜组 1809 例,对照组 1799 例。与对照组相比,电视辅助胸腔镜显著降低了手术部位伤口感染的风险(比值比:0.22,95%置信区间 [CI]:0.14-0.33,P<0.001),以及术后第 1 天(标准化均数差 [SMD]:-0.90,95%CI:-1.17 至 -0.64,P<0.001)和术后第 3 天(SMD:-1.59,95%CI:-2.25 至 -0.92,P<0.001)的手术部位伤口疼痛。因此,这些结果表明,电视辅助胸腔镜手术可能通过降低手术部位伤口感染和疼痛带来有益的效果。然而,由于样本量的差异较大,以及一些方法学上的缺陷,未来需要开展更高质量、更大样本量的研究来进一步验证。

https://cdn.ncbi.nlm.nih.gov/pmc/blobs/d1f3/10588326/b701f6e7c12d/IWJ-20-3898-g001.jpg

文献AI研究员

20分钟写一篇综述,助力文献阅读效率提升50倍。

立即体验

用中文搜PubMed

大模型驱动的PubMed中文搜索引擎

马上搜索

文档翻译

学术文献翻译模型,支持多种主流文档格式。

立即体验