Suppr超能文献

吸烟、体重、糖尿病、高血压及肾功能不全对胰腺癌患者生存的影响——对过去十年内2323例患者的单中心分析

Impact of Smoking, Body Weight, Diabetes, Hypertension and Kidney Dysfunction on Survival in Pancreatic Cancer Patients-A Single Center Analysis of 2323 Patients within the Last Decade.

作者信息

Neumann Christopher C M, Schneider François, Hilfenhaus Georg, Vecchione Loredana, Benzing Christian, Ihlow Jana, Fehrenbach Uli, Malinka Thomas, Keilholz Ulrich, Stintzing Sebastian, Pelzer Uwe

机构信息

Department of Hematology, Oncology and Tumor Immunology, Charité-Universitätsmedizin Berlin, Freie Universität Berlin, Humboldt-Universität zu Berlin, Berlin Institute of Health, 10117 Berlin, Germany.

Department of Surgery|CCM|CVK, Charité-Universitätsmedizin Berlin, Freie Universität Berlin, Humboldt-Universität zu Berlin, Berlin Institute of Health, 10117 Berlin, Germany.

出版信息

J Clin Med. 2023 May 25;12(11):3656. doi: 10.3390/jcm12113656.

Abstract

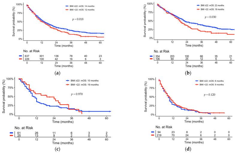
In addition to being risk factors for pancreatic cancer, parameters such as smoking, diabetes, or obesity might also act as potential prognostic factors for the survival of patients initially diagnosed with pancreatic cancer. By implementing one of the largest retrospective study cohorts of 2323 pancreatic adenocarcinoma (PDAC) patients treated at a single high-volume center, potential prognostic factors for survival were evaluated on the basis of 863 cases. Since parameters such as smoking, obesity, diabetes, and hypertension can cause severe chronic kidney dysfunction, the glomerular filtration rate was also considered. In the univariate analyses, albumin ( < 0.001), active smoking ( = 0.024), BMI ( = 0.018), and GFR ( = 0.002) were identified as metabolic prognostic markers for overall survival. In multivariate analyses, albumin ( < 0.001) and chronic kidney disease stage 2 (GFR < 90 mL/min/1.37 m; = 0.042) were identified as independent metabolic prognostic markers for survival. Smoking presented a nearly statistically significant independent prognostic factor for survival with a -value of 0.052. In summary, low BMI, status of active smoking, and reduced kidney function at the time of diagnosis were associated with lower overall survival. No prognostic association could be observed for presence of diabetes or hypertension.

摘要

除了作为胰腺癌的危险因素外,吸烟、糖尿病或肥胖等因素也可能作为最初诊断为胰腺癌患者生存的潜在预后因素。通过实施在一个高容量单一中心接受治疗的2323例胰腺腺癌(PDAC)患者的最大规模回顾性研究队列之一,基于863例病例评估了生存的潜在预后因素。由于吸烟、肥胖、糖尿病和高血压等因素可导致严重的慢性肾功能不全,因此也考虑了肾小球滤过率。在单变量分析中,白蛋白(<0.001)、当前吸烟(=0.024)、体重指数(=0.018)和肾小球滤过率(=0.002)被确定为总生存的代谢预后标志物。在多变量分析中,白蛋白(<0.001)和慢性肾脏病2期(肾小球滤过率<90 mL/min/1.37 m²;=0.042)被确定为生存的独立代谢预后标志物。吸烟呈现出一个对生存具有几乎统计学显著意义的独立预后因素,P值为0.052。总之,低体重指数、当前吸烟状态以及诊断时肾功能降低与较低的总生存率相关。未观察到糖尿病或高血压存在的预后关联。

https://cdn.ncbi.nlm.nih.gov/pmc/blobs/f644/10253757/bf00a67ec327/jcm-12-03656-g001.jpg

文献AI研究员

20分钟写一篇综述,助力文献阅读效率提升50倍。

立即体验

用中文搜PubMed

大模型驱动的PubMed中文搜索引擎

马上搜索

文档翻译

学术文献翻译模型,支持多种主流文档格式。

立即体验