• 文献检索
  • 文档翻译
  • 深度研究
  • 学术资讯
  • Suppr Zotero 插件Zotero 插件
  • 邀请有礼
  • 套餐&价格
  • 历史记录
应用&插件
Suppr Zotero 插件Zotero 插件浏览器插件Mac 客户端Windows 客户端微信小程序
定价
高级版会员购买积分包购买API积分包
服务
文献检索文档翻译深度研究API 文档MCP 服务
关于我们
关于 Suppr公司介绍联系我们用户协议隐私条款
关注我们

Suppr 超能文献

核心技术专利:CN118964589B侵权必究
粤ICP备2023148730 号-1Suppr @ 2026

文献检索

告别复杂PubMed语法,用中文像聊天一样搜索,搜遍4000万医学文献。AI智能推荐,让科研检索更轻松。

立即免费搜索

文件翻译

保留排版,准确专业,支持PDF/Word/PPT等文件格式,支持 12+语言互译。

免费翻译文档

深度研究

AI帮你快速写综述,25分钟生成高质量综述,智能提取关键信息,辅助科研写作。

立即免费体验

新型 RNA 和蛋白质联合生物标志物在 DKD 肾功能损伤中的鉴定及其转化意义。

Identification of a New RNA and Protein Integrated Biomarker Panel Associated with Kidney Function Impairment in DKD: Translational Implications.

机构信息

Department of Clinical and Experimental Medicine, Internal Medicine, Garibaldi-Nesima Hospital, University of Catania, 95122 Catania, Italy.

Istituto Oncologico del Mediterraneo, 95029 Viagrande, Italy.

出版信息

Int J Mol Sci. 2023 May 28;24(11):9412. doi: 10.3390/ijms24119412.

DOI:10.3390/ijms24119412
PMID:37298364
原文链接:https://pmc.ncbi.nlm.nih.gov/articles/PMC10253864/
Abstract

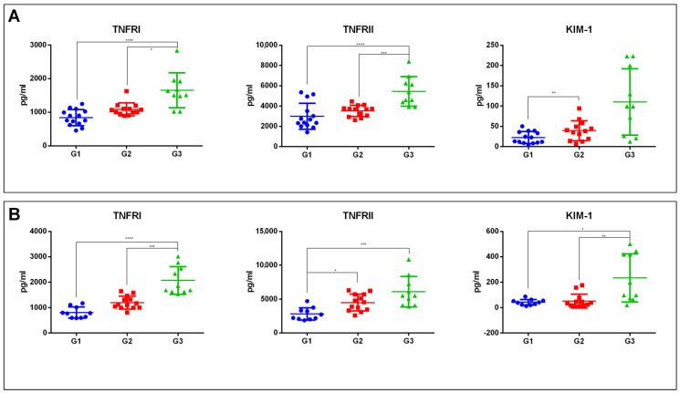
Diabetic kidney disease (DKD) is a complication that strongly increases the risk of end-stage kidney disease and cardiovascular events. The identification of novel, highly sensitive, and specific early biomarkers to identify DKD patients and predict kidney function decline is a pivotal aim of translational medicine. In a previous study, after a high-throughput approach, we identified in 69 diabetic patients 5 serum mitochondrial RNAs (MT-ATP6, MT-ATP8, MT-COX3, MT-ND1, and MT-RNR1) progressively downregulated with increasing eGFR stages. Here, we analyzed the protein serum concentrations of three well-validated biomarkers: TNFRI, TNFRII, and KIM-1. The protein biomarkers were gradually upregulated from G1 to G2 and G3 patients. All protein biomarkers correlated with creatinine, eGFR, and BUN. Performing multilogistic analyses, we found that, with respect to single protein biomarkers, the combination between (I) TNFRI or KIM-1 with each RNA transcript and (II) TNFRII with MT-ATP8, MT-ATP6, MT-COX-3, and MT-ND1 determined an outstanding improvement of the diagnostic performance of G3 versus G2 patient identification, reaching values in most cases above 0.9 or even equal to 1. The improvement of AUC values was also evaluated in normoalbuminuric or microalbuminuric patients considered separately. This study proposes a novel, promising multikind marker panel associated with kidney impairment in DKD.

摘要

糖尿病肾病(DKD)是一种严重增加终末期肾病和心血管事件风险的并发症。鉴定新型、高灵敏度、特异性的早期生物标志物以识别 DKD 患者并预测肾功能下降是转化医学的主要目标。在之前的一项研究中,我们采用高通量方法,在 69 名糖尿病患者中鉴定了 5 种血清线粒体 RNA(MT-ATP6、MT-ATP8、MT-COX3、MT-ND1 和 MT-RNR1),这些 RNA 的表达随着 eGFR 阶段的增加而逐渐下调。在这里,我们分析了三种经过充分验证的生物标志物的血清蛋白浓度:TNFRI、TNFRII 和 KIM-1。从 G1 到 G2 和 G3 患者,蛋白生物标志物逐渐上调。所有蛋白生物标志物与肌酐、eGFR 和 BUN 相关。进行多逻辑分析后,我们发现,与单个蛋白生物标志物相比,(I)TNFRI 或 KIM-1 与每个 RNA 转录本的组合和(II)TNFRII 与 MT-ATP8、MT-ATP6、MT-COX-3 和 MT-ND1 的组合可以显著提高 G3 与 G2 患者鉴定的诊断性能,在大多数情况下,其值高于 0.9,甚至等于 1。还分别评估了在正常白蛋白尿或微量白蛋白尿患者中 AUC 值的改善情况。这项研究提出了一个与 DKD 肾脏损害相关的新型、有前途的多种标志物组合。

https://cdn.ncbi.nlm.nih.gov/pmc/blobs/0d4d/10253864/18632b91a391/ijms-24-09412-g003.jpg
https://cdn.ncbi.nlm.nih.gov/pmc/blobs/0d4d/10253864/be8f9a57e35b/ijms-24-09412-g001.jpg
https://cdn.ncbi.nlm.nih.gov/pmc/blobs/0d4d/10253864/0c5009751ecf/ijms-24-09412-g002.jpg
https://cdn.ncbi.nlm.nih.gov/pmc/blobs/0d4d/10253864/18632b91a391/ijms-24-09412-g003.jpg
https://cdn.ncbi.nlm.nih.gov/pmc/blobs/0d4d/10253864/be8f9a57e35b/ijms-24-09412-g001.jpg
https://cdn.ncbi.nlm.nih.gov/pmc/blobs/0d4d/10253864/0c5009751ecf/ijms-24-09412-g002.jpg
https://cdn.ncbi.nlm.nih.gov/pmc/blobs/0d4d/10253864/18632b91a391/ijms-24-09412-g003.jpg

相似文献

1
Identification of a New RNA and Protein Integrated Biomarker Panel Associated with Kidney Function Impairment in DKD: Translational Implications.新型 RNA 和蛋白质联合生物标志物在 DKD 肾功能损伤中的鉴定及其转化意义。
Int J Mol Sci. 2023 May 28;24(11):9412. doi: 10.3390/ijms24119412.
2
Mitochondrial RNAs as Potential Biomarkers of Functional Impairment in Diabetic Kidney Disease.线粒体 RNA 作为糖尿病肾病功能障碍的潜在生物标志物。
Int J Mol Sci. 2022 Jul 25;23(15):8198. doi: 10.3390/ijms23158198.
3
Uromodulin mRNA from Urinary Extracellular Vesicles Correlate to Kidney Function Decline in Type 2 Diabetes Mellitus.尿细胞外囊泡中的尿调蛋白 mRNA 与 2 型糖尿病患者的肾功能下降相关。
Am J Nephrol. 2018;47(5):283-291. doi: 10.1159/000489129. Epub 2018 May 18.
4
Correlation Between Serum 25-Hydroxyvitamin D Levels in Albuminuria Progression of Diabetic Kidney Disease and Underlying Mechanisms By Bioinformatics Analysis.基于生物信息学分析的血清 25-羟维生素 D 水平与糖尿病肾病患者白蛋白尿进展的相关性及其潜在机制。
Front Endocrinol (Lausanne). 2022 May 12;13:880930. doi: 10.3389/fendo.2022.880930. eCollection 2022.
5
Serum hemoglobin concentration and risk of renal function decline in early stages of diabetic kidney disease: a nationwide, biopsy-based cohort study.血清血红蛋白浓度与糖尿病肾病早期肾功能下降风险:一项基于全国性活检队列研究。
Nephrol Dial Transplant. 2022 Feb 25;37(3):489-497. doi: 10.1093/ndt/gfab185.
6
Association of urinary acidification function with the progression of diabetic kidney disease in patients with type 2 diabetes.2 型糖尿病患者尿液酸化功能与糖尿病肾病进展的关系。
J Diabetes Complications. 2019 Nov;33(11):107419. doi: 10.1016/j.jdiacomp.2019.107419. Epub 2019 Aug 19.
7
Expression of Urokinase-type Plasminogen Activator Receptor and its Soluble Form in Type 2 Diabetic Kidney Disease.尿激酶型纤溶酶原激活物受体及其可溶性形式在 2 型糖尿病肾病中的表达。
Arch Med Res. 2019 Jul;50(5):249-256. doi: 10.1016/j.arcmed.2019.08.007. Epub 2019 Oct 5.
8
Adenine crosses the biomarker bridge: from 'omics to treatment in diabetic kidney disease.腺嘌呤跨越生物标志物之桥:从“组学”到糖尿病肾病的治疗。
J Clin Invest. 2023 Oct 16;133(20):e174015. doi: 10.1172/JCI174015.
9
Urinary mRNA Signatures as Predictors of Renal Function Decline in Patients With Biopsy-Proven Diabetic Kidney Disease.尿 mRNA 标志物可预测经活检证实的糖尿病肾病患者肾功能下降。
Front Endocrinol (Lausanne). 2021 Nov 9;12:774436. doi: 10.3389/fendo.2021.774436. eCollection 2021.
10
Novel biomarkers for prognosticating diabetic kidney disease progression.用于预测糖尿病肾病进展的新型生物标志物。
Int Urol Nephrol. 2023 Apr;55(4):913-928. doi: 10.1007/s11255-022-03354-7. Epub 2022 Oct 22.

引用本文的文献

1
Cardiovascular risk and renal injury profile in subjects with type 2 diabetes and non-albuminuric diabetic kidney disease.2 型糖尿病伴非白蛋白尿性糖尿病肾病患者的心血管风险和肾脏损伤特征。
Cardiovasc Diabetol. 2023 Dec 13;22(1):344. doi: 10.1186/s12933-023-02065-2.
2
Multifaceted relationship between diabetes and kidney diseases: Beyond diabetes.糖尿病与肾脏疾病之间的多方面关系:超越糖尿病本身。
World J Diabetes. 2023 Oct 15;14(10):1450-1462. doi: 10.4239/wjd.v14.i10.1450.

本文引用的文献

1
Update on Diabetic Kidney Disease (DKD): Focus on Non-Albuminuric DKD and Cardiovascular Risk.糖尿病肾病(DKD)最新进展:关注非白蛋白尿型 DKD 和心血管风险。
Biomolecules. 2023 Apr 26;13(5):752. doi: 10.3390/biom13050752.
2
Non-albuminuric Diabetic Kidney Disease Phenotype: Beyond Albuminuria.非白蛋白尿性糖尿病肾病表型:超越白蛋白尿
touchREV Endocrinol. 2022 Nov;18(2):102-105. doi: 10.17925/EE.2022.18.2.102. Epub 2022 Nov 16.
3
What's New in the Molecular Mechanisms of Diabetic Kidney Disease: Recent Advances.糖尿病肾病的分子机制有哪些新进展:最新研究进展。
Int J Mol Sci. 2022 Dec 29;24(1):570. doi: 10.3390/ijms24010570.
4
Potential progression biomarkers of diabetic kidney disease determined using comprehensive machine learning analysis of non-targeted metabolomics.利用非靶向代谢组学的综合机器学习分析确定糖尿病肾病的潜在进展生物标志物。
Sci Rep. 2022 Sep 29;12(1):16287. doi: 10.1038/s41598-022-20638-1.
5
Diagnosis 101: diabetic kidney disease.诊断基础101:糖尿病肾病。
Clin Kidney J. 2022 Jun 28;15(10):1797-1799. doi: 10.1093/ckj/sfac163. eCollection 2022 Oct.
6
Mitochondrial RNAs as Potential Biomarkers of Functional Impairment in Diabetic Kidney Disease.线粒体 RNA 作为糖尿病肾病功能障碍的潜在生物标志物。
Int J Mol Sci. 2022 Jul 25;23(15):8198. doi: 10.3390/ijms23158198.
7
Novel Markers in Diabetic Kidney Disease-Current State and Perspectives.糖尿病肾病中的新型标志物——现状与展望
Diagnostics (Basel). 2022 May 11;12(5):1205. doi: 10.3390/diagnostics12051205.
8
Pathophysiologic Mechanisms and Potential Biomarkers in Diabetic Kidney Disease.糖尿病肾病的病理生理机制及潜在生物标志物。
Diabetes Metab J. 2022 Mar;46(2):181-197. doi: 10.4093/dmj.2021.0329. Epub 2022 Mar 24.
9
11. Chronic Kidney Disease and Risk Management: Standards of Medical Care in Diabetes-2022.11. 慢性肾脏病与风险管理:糖尿病医学诊疗标准-2022 年版。
Diabetes Care. 2022 Jan 1;45(Suppl 1):S175-S184. doi: 10.2337/dc22-S011.
10
Clinical and Molecular Biomarkers for Diagnosis and Staging of NAFLD.非酒精性脂肪性肝病的临床和分子生物标志物用于诊断和分期。
Int J Mol Sci. 2021 Nov 2;22(21):11905. doi: 10.3390/ijms222111905.