• 文献检索
  • 文档翻译
  • 深度研究
  • 学术资讯
  • Suppr Zotero 插件Zotero 插件
  • 邀请有礼
  • 套餐&价格
  • 历史记录
应用&插件
Suppr Zotero 插件Zotero 插件浏览器插件Mac 客户端Windows 客户端微信小程序
定价
高级版会员购买积分包购买API积分包
服务
文献检索文档翻译深度研究API 文档MCP 服务
关于我们
关于 Suppr公司介绍联系我们用户协议隐私条款
关注我们

Suppr 超能文献

核心技术专利:CN118964589B侵权必究
粤ICP备2023148730 号-1Suppr @ 2026

文献检索

告别复杂PubMed语法,用中文像聊天一样搜索,搜遍4000万医学文献。AI智能推荐,让科研检索更轻松。

立即免费搜索

文件翻译

保留排版,准确专业,支持PDF/Word/PPT等文件格式,支持 12+语言互译。

免费翻译文档

深度研究

AI帮你快速写综述,25分钟生成高质量综述,智能提取关键信息,辅助科研写作。

立即免费体验

线粒体 RNA 作为糖尿病肾病功能障碍的潜在生物标志物。

Mitochondrial RNAs as Potential Biomarkers of Functional Impairment in Diabetic Kidney Disease.

机构信息

Department of Clinical and Experimental Medicine, Internal Medicine, Garibaldi-Nesima Hospital, University of Catania, 95122 Catania, Italy.

Department of Experimental and Clinical Medicine, Magna Graecia University, 88100 Catanzaro, Italy.

出版信息

Int J Mol Sci. 2022 Jul 25;23(15):8198. doi: 10.3390/ijms23158198.

DOI:10.3390/ijms23158198
PMID:35897772
原文链接:https://pmc.ncbi.nlm.nih.gov/articles/PMC9331991/
Abstract

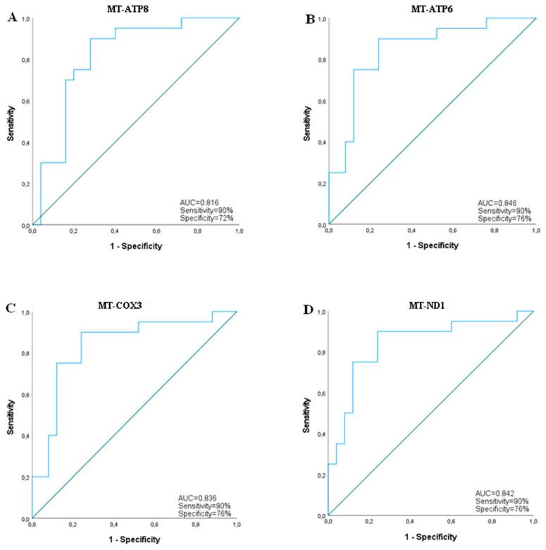
Type 2 diabetes and renal damage are strictly linked. The progressive increase in T2D incidence has stimulated the interest in novel biomarkers to improve the diagnostic performance of the commonly utilized markers such as albuminuria and eGFR. Through microarray method, we analyzed the entire transcriptome expressed in 12 serum samples of diabetic patients, six without DKD and six with DKD; the downregulation of the most dysregulated transcripts was validated in a wider cohort of 69 patients by qPCRs. We identified a total of 33 downregulated transcripts. The downregulation of four mitochondrial messenger RNAs (MT-ATP6, MT-ATP8, MT-COX3, MT-ND1) and other two transcripts (seysnoy, skerdo) was validated in patients with eGFR stage G3 versus G2 and G1. The four messenger RNAs correlated with creatinine and eGFR stages, while seysnoy and skerdo were associated with white blood cell values. All transcripts correlated also with Blood Urea Nitrogen. The four mitochondrial messenger RNAs had a high diagnostic performance in G3 versus G2 discrimination, with AUC values above 0.8. The most performant transcript was MT-ATP6, with an AUC of 0.846; sensitivity = 90%, specificity = 76%, -value = 7.8 × 10. This study led to the identification of a specific molecular signature of DKD, proposing the dosage of RNAs, especially mitochondrial RNAs, as noninvasive biomarkers of diabetes complication.

摘要

2 型糖尿病与肾脏损害密切相关。2 型糖尿病发病率的不断增加,激发了人们对新型生物标志物的兴趣,以期提高白蛋白尿和 eGFR 等常用标志物的诊断性能。我们通过微阵列方法分析了 12 例糖尿病患者血清样本中表达的全转录组,其中 6 例无 DKD,6 例有 DKD;通过 qPCR 在更大的 69 例患者队列中验证了最失调转录本的下调。我们共鉴定出 33 个下调的转录本。四个线粒体信使 RNA(MT-ATP6、MT-ATP8、MT-COX3、MT-ND1)和其他两个转录本(sey snoy、skerdo)的下调在 eGFR 分期 G3 与 G2 和 G1 的患者中得到了验证。这四个信使 RNA 与肌酐和 eGFR 分期相关,而 seysnoy 和 skerdo 与白细胞值相关。所有转录本也与血尿素氮相关。这四个线粒体信使 RNA 在 G3 与 G2 区分中的诊断性能较高,AUC 值均高于 0.8。表现最佳的转录本是 MT-ATP6,AUC 为 0.846;灵敏度=90%,特异性=76%,-值=7.8×10。本研究确定了 DKD 的特定分子特征,提出了 RNA(特别是线粒体 RNA)剂量作为糖尿病并发症的非侵入性生物标志物。

https://cdn.ncbi.nlm.nih.gov/pmc/blobs/2228/9331991/abdc4ca310fc/ijms-23-08198-g006.jpg
https://cdn.ncbi.nlm.nih.gov/pmc/blobs/2228/9331991/fc9eda5551c1/ijms-23-08198-g001.jpg
https://cdn.ncbi.nlm.nih.gov/pmc/blobs/2228/9331991/6620e6560ac0/ijms-23-08198-g002.jpg
https://cdn.ncbi.nlm.nih.gov/pmc/blobs/2228/9331991/e0551bf379c1/ijms-23-08198-g003.jpg
https://cdn.ncbi.nlm.nih.gov/pmc/blobs/2228/9331991/2c00b56b5bce/ijms-23-08198-g004.jpg
https://cdn.ncbi.nlm.nih.gov/pmc/blobs/2228/9331991/c7bb3a3b4745/ijms-23-08198-g005.jpg
https://cdn.ncbi.nlm.nih.gov/pmc/blobs/2228/9331991/abdc4ca310fc/ijms-23-08198-g006.jpg
https://cdn.ncbi.nlm.nih.gov/pmc/blobs/2228/9331991/fc9eda5551c1/ijms-23-08198-g001.jpg
https://cdn.ncbi.nlm.nih.gov/pmc/blobs/2228/9331991/6620e6560ac0/ijms-23-08198-g002.jpg
https://cdn.ncbi.nlm.nih.gov/pmc/blobs/2228/9331991/e0551bf379c1/ijms-23-08198-g003.jpg
https://cdn.ncbi.nlm.nih.gov/pmc/blobs/2228/9331991/2c00b56b5bce/ijms-23-08198-g004.jpg
https://cdn.ncbi.nlm.nih.gov/pmc/blobs/2228/9331991/c7bb3a3b4745/ijms-23-08198-g005.jpg
https://cdn.ncbi.nlm.nih.gov/pmc/blobs/2228/9331991/abdc4ca310fc/ijms-23-08198-g006.jpg

相似文献

1
Mitochondrial RNAs as Potential Biomarkers of Functional Impairment in Diabetic Kidney Disease.线粒体 RNA 作为糖尿病肾病功能障碍的潜在生物标志物。
Int J Mol Sci. 2022 Jul 25;23(15):8198. doi: 10.3390/ijms23158198.
2
Identification of a New RNA and Protein Integrated Biomarker Panel Associated with Kidney Function Impairment in DKD: Translational Implications.新型 RNA 和蛋白质联合生物标志物在 DKD 肾功能损伤中的鉴定及其转化意义。
Int J Mol Sci. 2023 May 28;24(11):9412. doi: 10.3390/ijms24119412.
3
Correlation Between Serum 25-Hydroxyvitamin D Levels in Albuminuria Progression of Diabetic Kidney Disease and Underlying Mechanisms By Bioinformatics Analysis.基于生物信息学分析的血清 25-羟维生素 D 水平与糖尿病肾病患者白蛋白尿进展的相关性及其潜在机制。
Front Endocrinol (Lausanne). 2022 May 12;13:880930. doi: 10.3389/fendo.2022.880930. eCollection 2022.
4
Circulating epigenomic biomarkers correspond with kidney disease susceptibility in high-risk populations with type 2 diabetes mellitus.循环表观遗传生物标志物与 2 型糖尿病高危人群的肾脏疾病易感性相关。
Diabetes Res Clin Pract. 2023 Oct;204:110918. doi: 10.1016/j.diabres.2023.110918. Epub 2023 Sep 24.
5
Prognostic imaging biomarkers for diabetic kidney disease (iBEAt): study protocol.糖尿病肾病(iBEAt)的预后成像生物标志物:研究方案。
BMC Nephrol. 2020 Jun 29;21(1):242. doi: 10.1186/s12882-020-01901-x.
6
Evaluation of urinary autophagy transcripts expression in diabetic kidney disease.糖尿病肾病中尿自噬转录本表达的评价。
J Diabetes Complications. 2017 Oct;31(10):1491-1498. doi: 10.1016/j.jdiacomp.2017.06.009. Epub 2017 Jun 27.
7
Uromodulin mRNA from Urinary Extracellular Vesicles Correlate to Kidney Function Decline in Type 2 Diabetes Mellitus.尿细胞外囊泡中的尿调蛋白 mRNA 与 2 型糖尿病患者的肾功能下降相关。
Am J Nephrol. 2018;47(5):283-291. doi: 10.1159/000489129. Epub 2018 May 18.
8
Evaluation of Serum microRNAs in Patients with Diabetic Kidney Disease: A Nested Case-Controlled Study and Bioinformatics Analysis.糖尿病肾病患者血清 microRNAs 的评估:巢式病例对照研究和生物信息学分析。
Med Sci Monit. 2019 Mar 5;25:1699-1708. doi: 10.12659/MSM.913265.
9
Urine metabolomics reveals biomarkers and the underlying pathogenesis of diabetic kidney disease.尿液代谢组学揭示了糖尿病肾病的生物标志物及潜在发病机制。
Int Urol Nephrol. 2023 Apr;55(4):1001-1013. doi: 10.1007/s11255-022-03326-x. Epub 2022 Oct 18.
10
Circulating Expression Level of LncRNA Malat1 in Diabetic Kidney Disease Patients and Its Clinical Significance.糖尿病肾病患者lncRNA Malat1的循环表达水平及其临床意义
J Diabetes Res. 2020 Aug 1;2020:4729019. doi: 10.1155/2020/4729019. eCollection 2020.

引用本文的文献

1
Single-cell transcriptomics by clinical course of Mycobacterium avium complex pulmonary disease.根据分枝杆菌复合群肺病的临床病程进行单细胞转录组学分析。
Sci Rep. 2024 Jul 8;14(1):15663. doi: 10.1038/s41598-024-66523-x.
2
Mitochondrial complex I subunit mutations affect disease progression.线粒体复合物I亚基突变影响疾病进展。
Heliyon. 2024 Mar 28;10(7):e28808. doi: 10.1016/j.heliyon.2024.e28808. eCollection 2024 Apr 15.
3
Cardiovascular risk and renal injury profile in subjects with type 2 diabetes and non-albuminuric diabetic kidney disease.

本文引用的文献

1
Pathophysiologic Mechanisms and Potential Biomarkers in Diabetic Kidney Disease.糖尿病肾病的病理生理机制及潜在生物标志物。
Diabetes Metab J. 2022 Mar;46(2):181-197. doi: 10.4093/dmj.2021.0329. Epub 2022 Mar 24.
2
Urinary sediment CCL5 messenger RNA as a potential prognostic biomarker of diabetic nephropathy.尿沉渣CCL5信使核糖核酸作为糖尿病肾病潜在的预后生物标志物
Clin Kidney J. 2021 Sep 28;15(3):534-544. doi: 10.1093/ckj/sfab186. eCollection 2022 Mar.
3
11. Chronic Kidney Disease and Risk Management: Standards of Medical Care in Diabetes-2022.
2 型糖尿病伴非白蛋白尿性糖尿病肾病患者的心血管风险和肾脏损伤特征。
Cardiovasc Diabetol. 2023 Dec 13;22(1):344. doi: 10.1186/s12933-023-02065-2.
4
Non-Coding RNA in Salivary Extracellular Vesicles: A New Frontier in Sjögren's Syndrome Diagnostics?唾液细胞外囊泡中的非编码 RNA:干燥综合征诊断的新前沿?
Int J Mol Sci. 2023 Aug 29;24(17):13409. doi: 10.3390/ijms241713409.
5
Identification of a New RNA and Protein Integrated Biomarker Panel Associated with Kidney Function Impairment in DKD: Translational Implications.新型 RNA 和蛋白质联合生物标志物在 DKD 肾功能损伤中的鉴定及其转化意义。
Int J Mol Sci. 2023 May 28;24(11):9412. doi: 10.3390/ijms24119412.
6
Update on Diabetic Kidney Disease (DKD): Focus on Non-Albuminuric DKD and Cardiovascular Risk.糖尿病肾病(DKD)最新进展:关注非白蛋白尿型 DKD 和心血管风险。
Biomolecules. 2023 Apr 26;13(5):752. doi: 10.3390/biom13050752.
7
Mitochondrial Contribution to Inflammation in Diabetic Kidney Disease.线粒体在糖尿病肾病炎症中的作用。
Cells. 2022 Nov 16;11(22):3635. doi: 10.3390/cells11223635.
11. 慢性肾脏病与风险管理:糖尿病医学诊疗标准-2022 年版。
Diabetes Care. 2022 Jan 1;45(Suppl 1):S175-S184. doi: 10.2337/dc22-S011.
4
Clinical and Molecular Biomarkers for Diagnosis and Staging of NAFLD.非酒精性脂肪性肝病的临床和分子生物标志物用于诊断和分期。
Int J Mol Sci. 2021 Nov 2;22(21):11905. doi: 10.3390/ijms222111905.
5
Coffee Restores Expression of lncRNAs Involved in Steatosis and Fibrosis in a Mouse Model of NAFLD.咖啡可恢复非酒精性脂肪性肝病小鼠模型中与脂肪变性和纤维化相关的长链非编码 RNA 的表达。
Nutrients. 2021 Aug 25;13(9):2952. doi: 10.3390/nu13092952.
6
High Glucose Exposure Impairs L-Cell Differentiation in Intestinal Organoids: Molecular Mechanisms and Clinical Implications.高糖暴露抑制肠类器官 L 细胞的分化:分子机制和临床意义。
Int J Mol Sci. 2021 Jun 22;22(13):6660. doi: 10.3390/ijms22136660.
7
Shaping Up Mitochondria in Diabetic Nephropathy.塑造糖尿病肾病中的线粒体。
Kidney360. 2020 Sep 24;1(9):982-992. doi: 10.34067/kid.0002352020.
8
Downregulation of lncRNA ZNF582-AS1 due to DNA hypermethylation promotes clear cell renal cell carcinoma growth and metastasis by regulating the N(6)-methyladenosine modification of MT-RNR1.由于 DNA 过度甲基化导致长非编码 RNA ZNF582-AS1 下调,通过调节 MT-RNR1 的 N(6)-甲基腺苷修饰促进肾透明细胞癌的生长和转移。
J Exp Clin Cancer Res. 2021 Mar 10;40(1):92. doi: 10.1186/s13046-021-01889-8.
9
Novel biomarkers of diabetic kidney disease: current status and potential clinical application.糖尿病肾病的新型生物标志物:现状与潜在临床应用。
Acta Diabetol. 2021 Jul;58(7):819-830. doi: 10.1007/s00592-020-01656-9. Epub 2021 Feb 2.
10
Circulating Coding and Long Non-Coding RNAs as Potential Biomarkers of Idiopathic Pulmonary Fibrosis.循环编码和长非编码 RNA 作为特发性肺纤维化的潜在生物标志物。
Int J Mol Sci. 2020 Nov 20;21(22):8812. doi: 10.3390/ijms21228812.