• 文献检索
  • 文档翻译
  • 深度研究
  • 学术资讯
  • Suppr Zotero 插件Zotero 插件
  • 邀请有礼
  • 套餐&价格
  • 历史记录
应用&插件
Suppr Zotero 插件Zotero 插件浏览器插件Mac 客户端Windows 客户端微信小程序
定价
高级版会员购买积分包购买API积分包
服务
文献检索文档翻译深度研究API 文档MCP 服务
关于我们
关于 Suppr公司介绍联系我们用户协议隐私条款
关注我们

Suppr 超能文献

核心技术专利:CN118964589B侵权必究
粤ICP备2023148730 号-1Suppr @ 2026

文献检索

告别复杂PubMed语法,用中文像聊天一样搜索,搜遍4000万医学文献。AI智能推荐,让科研检索更轻松。

立即免费搜索

文件翻译

保留排版,准确专业,支持PDF/Word/PPT等文件格式,支持 12+语言互译。

免费翻译文档

深度研究

AI帮你快速写综述,25分钟生成高质量综述,智能提取关键信息,辅助科研写作。

立即免费体验

坦克炮手主瞄准镜像移检测方法

An Image Detection Method for Image Stabilization Deviation of the Tank Gunner's Primary Sight.

机构信息

School of Control Science and Engineering, Dalian University of Technology, Dalian 116024, China.

School of Automation, Guangxi University of Science and Technology, Liuzhou 545000, China.

出版信息

Sensors (Basel). 2023 May 24;23(11):5039. doi: 10.3390/s23115039.

DOI:10.3390/s23115039
PMID:37299769
原文链接:https://pmc.ncbi.nlm.nih.gov/articles/PMC10255307/
Abstract

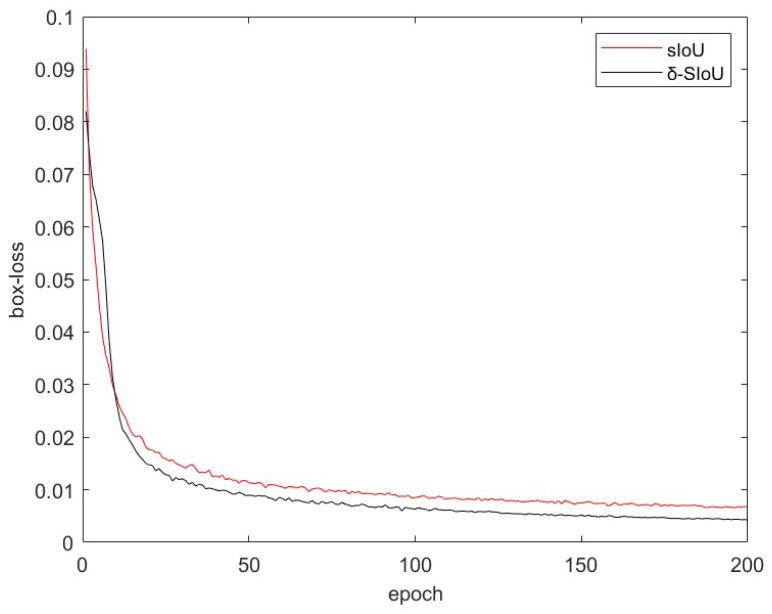
The primary sight control system of a tank gunner has image stabilization as one of its primary functions. The image stabilization deviation in the aiming line is a key indicator for evaluating the operational status of Gunner's Primary Sight control system. Employing image detection technology to measure image stabilization deviation enhances the effectiveness and accuracy of the detection process and allows for the evaluation of image stabilization functionality. Hence, this paper proposes an image detection method aimed at the Gunner's Primary Sight control system of a specific tank which utilizes an enhanced You Only Look Once version 5 (YOLOv5) sight-stabilizing deviation algorithm. At first, a dynamic weight factor is integrated into SCYLLA-IoU (), creating , which replaces Complete IoU () as the loss function of YOLOv5. After that, the Spatial Pyramid Pool module of YOLOv5 was enhanced to improve the multi-scale feature fusion ability of the model, thereby elevating the performance of the detection model. Finally, the C3CA module was created by embedding the Coordinate Attention (CA) attention mechanism into the CSK-MOD-C3 (C3) module. The Bi-directional Feature Pyramid (BiFPN) network structure was also incorporated into the Neck network of YOLOv5 to improve the model's ability to learn target location information and image detection accuracy. Based on data collected by a mirror control test platform, experimental results indicate an improvement in the detection accuracy of the model by 2.1%. These findings offer valuable insights into measuring the image stabilization deviation in the aiming line and facilitating the development of the parameter measurement system for Gunner's Primary Sight control system.

摘要

坦克炮手主瞄准镜控制系统的主要功能之一是具备图像稳定功能。瞄准线的图像稳定偏差是评估炮手主瞄准镜控制系统工作状态的关键指标。采用图像检测技术测量图像稳定偏差,可以提高检测过程的有效性和准确性,并能够评估图像稳定功能。因此,本文提出了一种针对特定坦克炮手主瞄准镜控制系统的图像检测方法,该方法利用改进的 You Only Look Once 版本 5(YOLOv5)稳定偏差算法。首先,将动态权重因子集成到 SCYLLA-IoU()中,创建,它替代 Complete IoU()作为 YOLOv5 的损失函数。然后,增强 YOLOv5 的 Spatial Pyramid Pool 模块,以提高模型的多尺度特征融合能力,从而提高检测模型的性能。最后,通过将坐标注意力(CA)注意力机制嵌入 CSK-MOD-C3(C3)模块,创建了 C3CA 模块。双向特征金字塔(BiFPN)网络结构也被纳入 YOLOv5 的 Neck 网络中,以提高模型学习目标位置信息和图像检测精度的能力。基于镜控测试平台采集的数据,实验结果表明,模型的检测精度提高了 2.1%。这些发现为测量瞄准线的图像稳定偏差和促进炮手主瞄准镜控制系统的参数测量系统的发展提供了有价值的见解。

https://cdn.ncbi.nlm.nih.gov/pmc/blobs/27b2/10255307/e301a19deefc/sensors-23-05039-g022.jpg
https://cdn.ncbi.nlm.nih.gov/pmc/blobs/27b2/10255307/516f5088a289/sensors-23-05039-g004.jpg
https://cdn.ncbi.nlm.nih.gov/pmc/blobs/27b2/10255307/fda67a3d86b3/sensors-23-05039-g007.jpg
https://cdn.ncbi.nlm.nih.gov/pmc/blobs/27b2/10255307/b149f5c14f62/sensors-23-05039-g008.jpg
https://cdn.ncbi.nlm.nih.gov/pmc/blobs/27b2/10255307/12095f8dc913/sensors-23-05039-g011.jpg
https://cdn.ncbi.nlm.nih.gov/pmc/blobs/27b2/10255307/4e08f28fdabe/sensors-23-05039-g012.jpg
https://cdn.ncbi.nlm.nih.gov/pmc/blobs/27b2/10255307/7637f97974f3/sensors-23-05039-g013.jpg
https://cdn.ncbi.nlm.nih.gov/pmc/blobs/27b2/10255307/d58aae944428/sensors-23-05039-g014.jpg
https://cdn.ncbi.nlm.nih.gov/pmc/blobs/27b2/10255307/1eae86300e89/sensors-23-05039-g015.jpg
https://cdn.ncbi.nlm.nih.gov/pmc/blobs/27b2/10255307/4f7322238f48/sensors-23-05039-g016.jpg
https://cdn.ncbi.nlm.nih.gov/pmc/blobs/27b2/10255307/b2e4a7655ec6/sensors-23-05039-g017.jpg
https://cdn.ncbi.nlm.nih.gov/pmc/blobs/27b2/10255307/d178906274d5/sensors-23-05039-g018.jpg
https://cdn.ncbi.nlm.nih.gov/pmc/blobs/27b2/10255307/37a6c7b37f4d/sensors-23-05039-g019.jpg
https://cdn.ncbi.nlm.nih.gov/pmc/blobs/27b2/10255307/4c25084a616f/sensors-23-05039-g020.jpg
https://cdn.ncbi.nlm.nih.gov/pmc/blobs/27b2/10255307/e6cc0c3a2c7a/sensors-23-05039-g021.jpg
https://cdn.ncbi.nlm.nih.gov/pmc/blobs/27b2/10255307/e301a19deefc/sensors-23-05039-g022.jpg
https://cdn.ncbi.nlm.nih.gov/pmc/blobs/27b2/10255307/516f5088a289/sensors-23-05039-g004.jpg
https://cdn.ncbi.nlm.nih.gov/pmc/blobs/27b2/10255307/fda67a3d86b3/sensors-23-05039-g007.jpg
https://cdn.ncbi.nlm.nih.gov/pmc/blobs/27b2/10255307/b149f5c14f62/sensors-23-05039-g008.jpg
https://cdn.ncbi.nlm.nih.gov/pmc/blobs/27b2/10255307/12095f8dc913/sensors-23-05039-g011.jpg
https://cdn.ncbi.nlm.nih.gov/pmc/blobs/27b2/10255307/4e08f28fdabe/sensors-23-05039-g012.jpg
https://cdn.ncbi.nlm.nih.gov/pmc/blobs/27b2/10255307/7637f97974f3/sensors-23-05039-g013.jpg
https://cdn.ncbi.nlm.nih.gov/pmc/blobs/27b2/10255307/d58aae944428/sensors-23-05039-g014.jpg
https://cdn.ncbi.nlm.nih.gov/pmc/blobs/27b2/10255307/1eae86300e89/sensors-23-05039-g015.jpg
https://cdn.ncbi.nlm.nih.gov/pmc/blobs/27b2/10255307/4f7322238f48/sensors-23-05039-g016.jpg
https://cdn.ncbi.nlm.nih.gov/pmc/blobs/27b2/10255307/b2e4a7655ec6/sensors-23-05039-g017.jpg
https://cdn.ncbi.nlm.nih.gov/pmc/blobs/27b2/10255307/d178906274d5/sensors-23-05039-g018.jpg
https://cdn.ncbi.nlm.nih.gov/pmc/blobs/27b2/10255307/37a6c7b37f4d/sensors-23-05039-g019.jpg
https://cdn.ncbi.nlm.nih.gov/pmc/blobs/27b2/10255307/4c25084a616f/sensors-23-05039-g020.jpg
https://cdn.ncbi.nlm.nih.gov/pmc/blobs/27b2/10255307/e6cc0c3a2c7a/sensors-23-05039-g021.jpg
https://cdn.ncbi.nlm.nih.gov/pmc/blobs/27b2/10255307/e301a19deefc/sensors-23-05039-g022.jpg

相似文献

1
An Image Detection Method for Image Stabilization Deviation of the Tank Gunner's Primary Sight.坦克炮手主瞄准镜像移检测方法
Sensors (Basel). 2023 May 24;23(11):5039. doi: 10.3390/s23115039.
2
YOLOv5-KCB: A New Method for Individual Pig Detection Using Optimized K-Means, CA Attention Mechanism and a Bi-Directional Feature Pyramid Network.YOLOv5-KCB:一种使用优化 K-Means、CA 注意力机制和双向特征金字塔网络的个体猪检测新方法。
Sensors (Basel). 2023 May 31;23(11):5242. doi: 10.3390/s23115242.
3
Lightweight tea bud recognition network integrating GhostNet and YOLOv5.融合GhostNet与YOLOv5的轻量级茶芽识别网络
Math Biosci Eng. 2022 Sep 5;19(12):12897-12914. doi: 10.3934/mbe.2022602.
4
A visual defect detection for optics lens based on the YOLOv5 -C3CA-SPPF network model.基于 YOLOv5-C3CA-SPPF 网络模型的光学镜头视觉缺陷检测。
Opt Express. 2023 Jan 16;31(2):2628-2643. doi: 10.1364/OE.480816.
5
ASG-YOLOv5: Improved YOLOv5 unmanned aerial vehicle remote sensing aerial images scenario for small object detection based on attention and spatial gating.ASG-YOLOv5:基于注意力和空间门控的改进型 YOLOv5 无人机遥感航空图像场景的小目标检测
PLoS One. 2024 Jun 3;19(6):e0298698. doi: 10.1371/journal.pone.0298698. eCollection 2024.
6
An Aerial Image Detection Algorithm Based on Improved YOLOv5.一种基于改进YOLOv5的航空图像检测算法
Sensors (Basel). 2024 Apr 19;24(8):2619. doi: 10.3390/s24082619.
7
Research on detection method of Tubercle Bacilli based on the improved YOLOv5.基于改进的 YOLOv5 的结核分枝杆菌检测方法研究。
Phys Med Biol. 2023 May 5;68(10). doi: 10.1088/1361-6560/accccf.
8
Defect Detection for Metal Shaft Surfaces Based on an Improved YOLOv5 Algorithm and Transfer Learning.基于改进的 YOLOv5 算法和迁移学习的金属轴表面缺陷检测。
Sensors (Basel). 2023 Apr 5;23(7):3761. doi: 10.3390/s23073761.
9
Research on Mask-Wearing Detection Algorithm Based on Improved YOLOv5.基于改进 YOLOv5 的口罩佩戴检测算法研究。
Sensors (Basel). 2022 Jun 29;22(13):4933. doi: 10.3390/s22134933.
10
Real-Time Detection of an Undercarriage Based on Receptive Field Blocks and Coordinate Attention.基于感受野模块和坐标注意力的起落架实时检测
Sensors (Basel). 2023 Dec 16;23(24):9861. doi: 10.3390/s23249861.

本文引用的文献

1
Application of local fully Convolutional Neural Network combined with YOLO v5 algorithm in small target detection of remote sensing image.基于局部全卷积神经网络与 YOLO v5 算法的遥感图像小目标检测应用
PLoS One. 2021 Oct 29;16(10):e0259283. doi: 10.1371/journal.pone.0259283. eCollection 2021.
2
A quantum-clustering optimization method for COVID-19 CT scan image segmentation.一种用于新冠肺炎CT扫描图像分割的量子聚类优化方法。
Expert Syst Appl. 2021 Dec 15;185:115637. doi: 10.1016/j.eswa.2021.115637. Epub 2021 Jul 28.
3
Squeeze-and-Excitation Networks.
挤压激励网络。
IEEE Trans Pattern Anal Mach Intell. 2020 Aug;42(8):2011-2023. doi: 10.1109/TPAMI.2019.2913372. Epub 2019 Apr 29.