Suppr超能文献

东南太平洋长鳍剑鱼()性腺综合生化状况的时间和个体间变化。

Temporal and inter-individual changes in the integrated biochemical condition of the gonads of female swordfish () from the Southeastern Pacific Ocean.

机构信息

Facultad de Ciencias, Programa de Doctorado en Ciencias con mención en Biodiversidad y Biorecursos, Universidad Católica de la Santísima Concepción, Concepción, Biobío, Chile.

Instituto de Fomento Pesquero, Talcahuano, Biobío, Chile.

出版信息

PeerJ. 2023 Jun 6;11:e15524. doi: 10.7717/peerj.15524. eCollection 2023.

Abstract

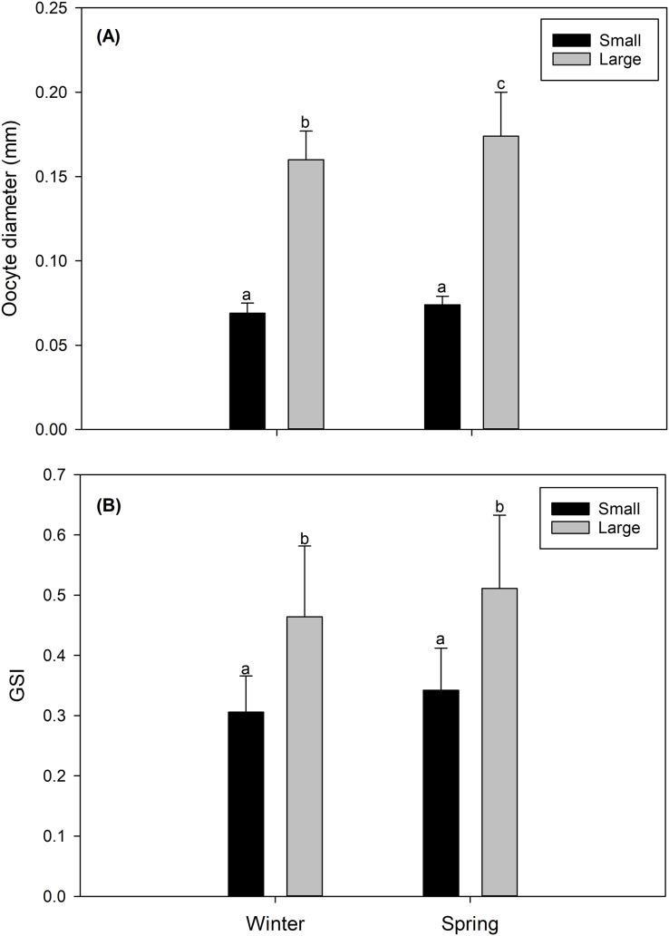
The integrated biochemical condition (IBC) of gonads is closely related to the reproductive success of highly migratory marine species. The IBC of gonads can be influenced not only by size and/or age, but also by environmental conditions. Here, female swordfish, , that migrate to temperate regions with a marked seasonality (., the Southeastern Pacific Ocean, SEPO) were compared in relation to the IBCs (lipids, proteins, glucose and, fatty acid profiles) of their gonads; individuals with two body size ranges and distinct degrees of sexual maturity were evaluated, and considered as: small and/or virginal (SV: <170 cm lower jaw fork-length (LJFL), oocyte size (OS) <0.08 mm) large and/or maturing females (LM: >190 cm LJFL, OS >0.133 mm). This comparison was conducted in two environmentally contrasting seasons (winter spring). Our results showed that the gonadosomatic index (GSI) was significantly higher in LM than SV. Lipid contents varied significantly between seasons and body sizes. The highest lipid concentrations were recorded in the spring in large females. No significant differences were found when comparing the protein and glucose contents of the two evaluated seasons or body size ranges of the studied females. In turn, the fatty acid (FA) profiles of female gonads significantly varied for both seasons and body size ranges. A high content of saturated fatty acids (SFAs), monounsaturated fatty acids (MUFAs) and poly-unsaturated fatty acids (PUFAs) were recorded in female gonads in the spring. The SFAs C16:0 and C18:0, the MUFA C18:19, and the essential PUFA C22:63 were the main contributors to the observed differences between spring and winter. These results could be used as indicators of the nutritional condition and health status of swordfish individuals. Hence, the IBC of female swordfish gonads have great potential to aid in estimating survival rates and stock abundances of this species. The integration of this information constitutes an asset in fishery management models with an ecosystem approach.

摘要

性腺综合生化状况(IBC)与高度洄游海洋物种的生殖成功密切相关。性腺的 IBC 不仅受大小和/或年龄的影响,还受环境条件的影响。在这里,比较了具有明显季节性(..,东南太平洋,SEPO)迁移到温带地区的雌性剑鱼,与它们性腺的 IBC(脂质、蛋白质、葡萄糖和脂肪酸谱)有关;评估了两个体型范围和不同性成熟程度的个体,并将其视为:小的和/或处女(SV:<170 厘米下颌叉长(LJFL),卵母细胞大小(OS)<0.08 毫米) 大的和/或成熟的女性(LM:>190 厘米 LJFL,OS>0.133 毫米)。这项比较是在两个环境对比季节(冬季和春季)进行的。我们的结果表明,LM 的性腺体指数(GSI)明显高于 SV。脂质含量在季节和体型之间有显著差异。在春季,大个体的脂质浓度最高。在比较两个评估季节或研究女性体型范围的蛋白质和葡萄糖含量时,没有发现显著差异。相反,雌鱼性腺的脂肪酸(FA)谱在两个季节和体型范围都有显著差异。在春季,雌性性腺中记录到高含量的饱和脂肪酸(SFAs)、单不饱和脂肪酸(MUFAs)和多不饱和脂肪酸(PUFAs)。SFAs C16:0 和 C18:0、MUFA C18:19 和必需的 PUFAs C22:63 是春季和冬季之间观察到差异的主要贡献者。这些结果可作为剑鱼个体营养状况和健康状况的指标。因此,雌性剑鱼性腺的 IBC 具有很大的潜力,可以帮助估计该物种的存活率和种群丰度。将这些信息整合起来是生态系统方法渔业管理模型的一个资产。

https://cdn.ncbi.nlm.nih.gov/pmc/blobs/ea48/10252824/8738722db337/peerj-11-15524-g001.jpg

文献AI研究员

20分钟写一篇综述,助力文献阅读效率提升50倍。

立即体验

用中文搜PubMed

大模型驱动的PubMed中文搜索引擎

马上搜索

文档翻译

学术文献翻译模型,支持多种主流文档格式。

立即体验