Suppr超能文献

新型人工晶状体计算公式在硅油取出/经睫状体平坦部玻璃体切除术-白内障手术眼中的准确性。

ACCURACY OF NEW INTRAOCULAR LENS CALCULATION FORMULAE IN EYES UNDERGOING SILICONE OIL REMOVAL/PARS PLANA VITRECTOMY-CATARACT SURGERY.

机构信息

Southwest Hospital, Army Medical University, Chongqing, China.

Key Lab of Visual Damage and Regeneration & Restoration of Chongqing, Chongqing, China; and.

出版信息

Retina. 2023 Sep 1;43(9):1579-1589. doi: 10.1097/IAE.0000000000003846.

Abstract

PURPOSE

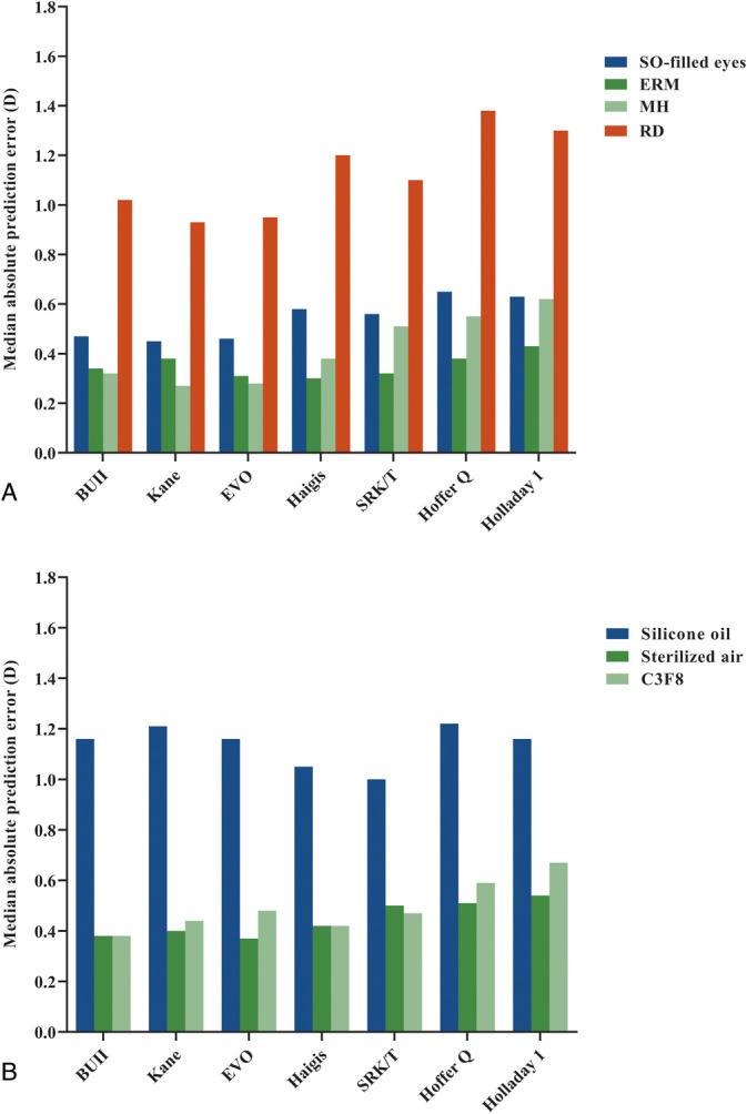
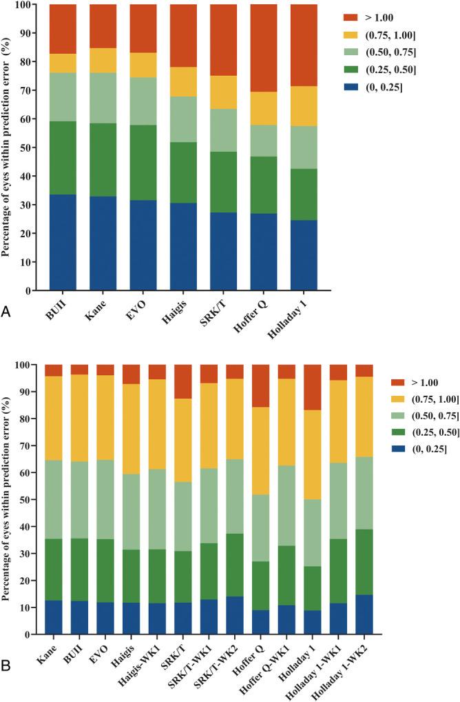
To investigate the performance of novel intraocular lens calculation formulae (Barrett Universal II, Emmetropia Verifying Optical, and Kane) and conventional formulae (Haigis, Hoffer Q, Holladay 1, and Sanders-Retzlaff-Kraff/T [SRK/T]) in patients who underwent pars plana vitrectomy or silicone oil removal combined with cataract surgery.

METHODS

In total, 301 eyes from 301 patients who underwent pars plana vitrectomy/silicone oil removal with concomitant cataract surgery were enrolled and divided into the following four groups according to preoperative diagnosis: silicone oil-filled eyes after pars plana vitrectomy, epiretinal membrane, primary retinal detachment, and macular hole.

RESULTS

Barrett Universal II exhibited the smallest mean absolute error (0.65 diopters [D]) and median absolute error (0.39 D) in total. In patients with primary retinal detachment, each formula exhibited the worst refractive outcomes in diverse vitreoretinal pathologies ( P < 0.01), and no difference in accuracy between the seven formulas was observed ( P = 0.075). For long eyes, the second linear (Wang-Koch 2) version of the Wang-Koch adjustment significantly reduced the median absolute error for Holladay 1 and SRK/T ( P < 0.001 and P = 0.019).

CONCLUSION

In combined surgery, both new and conventional formulas using the second linear version of the Wang-Koch 2 adjustment demonstrated satisfactory performance, with Barrett Universal II exhibiting the best overall performance. However, in patients with primary retinal detachment, all seven formulas showed less favorable performance.

摘要

目的

研究新型人工晶状体计算公式(巴雷特通用 II 型、正视验证光学和凯恩)和传统公式(海格、霍弗 Q、霍拉迪 1 和桑德斯-雷茨拉夫-克拉夫/T[SRK/T])在接受玻璃体切除术或硅油取出联合白内障手术的患者中的表现。

方法

共纳入 301 例 301 只眼的患者,这些患者均接受了玻璃体切除术/硅油取出联合白内障手术,根据术前诊断将其分为以下四组:硅油填充眼、视网膜内膜、原发性视网膜脱离和黄斑裂孔。

结果

巴雷特通用 II 型总的平均绝对误差(0.65 屈光度 [D])和中位数绝对误差(0.39 D)最小。在原发性视网膜脱离患者中,在不同的玻璃体视网膜病变中,每种公式的屈光结果均最差(P < 0.01),且在这七种公式的准确性之间未观察到差异(P = 0.075)。对于长眼,Wang-Koch 调整的第二线性(Wang-Koch 2)版本显著降低了霍拉迪 1 和 SRK/T 的中位数绝对误差(P < 0.001 和 P = 0.019)。

结论

在联合手术中,使用 Wang-Koch 2 调整的第二线性版本的新老公式均表现出良好的性能,巴雷特通用 II 型的整体性能最佳。然而,在原发性视网膜脱离患者中,这七种公式的表现均较差。

https://cdn.ncbi.nlm.nih.gov/pmc/blobs/e152/10442118/14a43ad42c4c/retina-43-1579-g001.jpg

文献AI研究员

20分钟写一篇综述,助力文献阅读效率提升50倍。

立即体验

用中文搜PubMed

大模型驱动的PubMed中文搜索引擎

马上搜索

文档翻译

学术文献翻译模型,支持多种主流文档格式。

立即体验