• 文献检索
  • 文档翻译
  • 深度研究
  • 学术资讯
  • Suppr Zotero 插件Zotero 插件
  • 邀请有礼
  • 套餐&价格
  • 历史记录
应用&插件
Suppr Zotero 插件Zotero 插件浏览器插件Mac 客户端Windows 客户端微信小程序
定价
高级版会员购买积分包购买API积分包
服务
文献检索文档翻译深度研究API 文档MCP 服务
关于我们
关于 Suppr公司介绍联系我们用户协议隐私条款
关注我们

Suppr 超能文献

核心技术专利:CN118964589B侵权必究
粤ICP备2023148730 号-1Suppr @ 2026

文献检索

告别复杂PubMed语法,用中文像聊天一样搜索,搜遍4000万医学文献。AI智能推荐,让科研检索更轻松。

立即免费搜索

文件翻译

保留排版,准确专业,支持PDF/Word/PPT等文件格式,支持 12+语言互译。

免费翻译文档

深度研究

AI帮你快速写综述,25分钟生成高质量综述,智能提取关键信息,辅助科研写作。

立即免费体验

磨玻璃密度成分对病理IA3期肺腺癌复发和生存的影响:一项多机构回顾性研究

Effects of a ground-glass opacity component on the recurrence and survival of pathological stage IA3 lung adenocarcinoma: a multi-institutional retrospective study.

作者信息

Xu Shao-Jun, Chen Rui-Qin, Tu Jia-Hua, You Cheng-Xiong, Chen Chao, Zhang Zhi-Fan, Divisi Duilio, Migliore Marcello, Bongiolatti Stefano, Durand Marion, Sato Masaaki, Kuroda Hiroaki, Yang Chao-Fu, Yu Shao-Bin, Chen Shu-Chen

机构信息

Department of Thoracic Surgery, Fujian Medical University Union Hospital, Fuzhou, China.

Key Laboratory of Ministry of Education for Gastrointestinal Cancer, Fujian Medical University, Fuzhou, China.

出版信息

Transl Lung Cancer Res. 2023 May 31;12(5):1078-1092. doi: 10.21037/tlcr-23-246. Epub 2023 May 24.

DOI:10.21037/tlcr-23-246
PMID:37323166
原文链接:https://pmc.ncbi.nlm.nih.gov/articles/PMC10261854/
Abstract

BACKGROUND

This study aimed to evaluate the effect of the presence of a radiographically manifested ground-glass opacity (GGO) component on the prognosis of patients with pathological stage IA3 lung adenocarcinoma.

METHODS

Patients diagnosed with pathological stage IA3 lung adenocarcinoma who underwent radical surgery at two medical institutions in China between July 2012 and July 2020 were enrolled. The cumulative incidence of recurrence (CIR) and cumulative incidence of death (CID) in patients with and without a GGO component were compared. Risk curves for the recurrence and tumor-related death overtime were analyzed between the two groups according to life table. In order to validate the prognostic value of GGO components, the recurrence-free survival (RFS) and cancer-specific survival (CSS) were estimated. Decision curve analysis (DCA) was performed to evaluate the clinical benefit rate of different models.

RESULTS

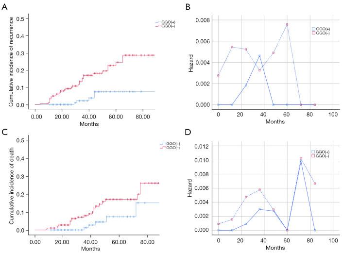
Among the 352 included patients, the presence of a GGO component was radiographically shown in 166 (47.2%) patients, while 186 (52.8%) displayed solid nodules. Patients exhibiting the absence of a GGO component had higher incidences of total recurrence (17.2% 3.0%, P<0.001), local-regional recurrence (LRR) (5.4% 0.6%, P=0.010), distant metastasis (DM) (8.1% 1.8%, P=0.008), and multiple recurrences (4.3% 0.6%, P=0.028) than the presence-GGO component group. The 5-year CIR and CID were 7.5% and 7.4% in the presence-GGO component group, and 24.5% and 17.0% in the absence-GGO component group, respectively, with statistically significant differences between the two groups (P<0.05). The risk of recurrence in patients with the presence of GGO components showed a single peak at 3 years postoperatively, while patients with the absence of GGO components showed a double peak at 1 and 5 years after surgery, respectively. However, the risk of tumor-related death peaked in both groups at 3 and 6 years postoperatively. Multivariate Cox analysis showed that the presence of a GGO component was a favorable independent risk factor for pathological stage IA3 lung adenocarcinoma patients (P<0.05).

CONCLUSIONS

Pathological stage IA3 lung adenocarcinoma with or without GGO components are two types of tumors with different invasive abilities. In clinical practice, we should develop different treatment and follow-up strategies.

摘要

背景

本研究旨在评估影像学表现为磨玻璃影(GGO)成分对病理IA3期肺腺癌患者预后的影响。

方法

纳入2012年7月至2020年7月在中国两家医疗机构接受根治性手术的病理IA3期肺腺癌患者。比较有和无GGO成分患者的复发累积发生率(CIR)和死亡累积发生率(CID)。根据生命表分析两组患者复发和肿瘤相关死亡随时间的风险曲线。为验证GGO成分的预后价值,估计无复发生存期(RFS)和癌症特异性生存期(CSS)。进行决策曲线分析(DCA)以评估不同模型的临床获益率。

结果

在纳入的352例患者中,166例(47.2%)影像学显示有GGO成分,186例(52.8%)表现为实性结节。无GGO成分的患者总复发率(17.2% 对3.0%,P<0.001)、局部区域复发率(LRR)(5.4% 对0.6%,P=0.010)、远处转移率(DM)(8.1% 对1.8%,P=0.008)和多次复发率(4.3% 对0.6%,P=0.028)均高于有GGO成分组。有GGO成分组的5年CIR和CID分别为7.5%和7.4%,无GGO成分组分别为24.5%和17.0%,两组间差异有统计学意义(P<0.05)。有GGO成分的患者术后3年复发风险出现单峰,无GGO成分的患者术后1年和5年分别出现双峰。然而,两组肿瘤相关死亡风险均在术后3年和6年达到峰值。多因素Cox分析显示,GGO成分的存在是病理IA3期肺腺癌患者的有利独立危险因素(P<0.05)。

结论

有或无GGO成分的病理IA3期肺腺癌是两种具有不同侵袭能力的肿瘤类型。在临床实践中,应制定不同的治疗和随访策略。

https://cdn.ncbi.nlm.nih.gov/pmc/blobs/2e0a/10261854/9189198e1cb7/tlcr-12-05-1078-f6.jpg
https://cdn.ncbi.nlm.nih.gov/pmc/blobs/2e0a/10261854/dbfdba908e69/tlcr-12-05-1078-f1.jpg
https://cdn.ncbi.nlm.nih.gov/pmc/blobs/2e0a/10261854/986c1b7f3f5e/tlcr-12-05-1078-f2.jpg
https://cdn.ncbi.nlm.nih.gov/pmc/blobs/2e0a/10261854/16b4aede3662/tlcr-12-05-1078-f3.jpg
https://cdn.ncbi.nlm.nih.gov/pmc/blobs/2e0a/10261854/266bfb7a6f08/tlcr-12-05-1078-f4.jpg
https://cdn.ncbi.nlm.nih.gov/pmc/blobs/2e0a/10261854/0f620142f727/tlcr-12-05-1078-f5.jpg
https://cdn.ncbi.nlm.nih.gov/pmc/blobs/2e0a/10261854/9189198e1cb7/tlcr-12-05-1078-f6.jpg
https://cdn.ncbi.nlm.nih.gov/pmc/blobs/2e0a/10261854/dbfdba908e69/tlcr-12-05-1078-f1.jpg
https://cdn.ncbi.nlm.nih.gov/pmc/blobs/2e0a/10261854/986c1b7f3f5e/tlcr-12-05-1078-f2.jpg
https://cdn.ncbi.nlm.nih.gov/pmc/blobs/2e0a/10261854/16b4aede3662/tlcr-12-05-1078-f3.jpg
https://cdn.ncbi.nlm.nih.gov/pmc/blobs/2e0a/10261854/266bfb7a6f08/tlcr-12-05-1078-f4.jpg
https://cdn.ncbi.nlm.nih.gov/pmc/blobs/2e0a/10261854/0f620142f727/tlcr-12-05-1078-f5.jpg
https://cdn.ncbi.nlm.nih.gov/pmc/blobs/2e0a/10261854/9189198e1cb7/tlcr-12-05-1078-f6.jpg

相似文献

1
Effects of a ground-glass opacity component on the recurrence and survival of pathological stage IA3 lung adenocarcinoma: a multi-institutional retrospective study.磨玻璃密度成分对病理IA3期肺腺癌复发和生存的影响:一项多机构回顾性研究
Transl Lung Cancer Res. 2023 May 31;12(5):1078-1092. doi: 10.21037/tlcr-23-246. Epub 2023 May 24.
2
Distinct Clinicopathologic Characteristics and Prognosis Based on the Presence of Ground Glass Opacity Component in Clinical Stage IA Lung Adenocarcinoma.基于临床ⅠA 期肺腺癌中磨玻璃密度成分的存在,具有不同的临床病理特征和预后。
J Thorac Oncol. 2019 Feb;14(2):265-275. doi: 10.1016/j.jtho.2018.09.026. Epub 2018 Oct 25.
3
Minor (≤ 10%) Ground-Glass Opacity Component in Clinical Stage I Non-Small Cell Lung Cancer: Associations With Pathologic Characteristics and Clinical Outcomes.临床Ⅰ期非小细胞肺癌中≤10%磨玻璃密度成分:与病理特征和临床结局的关系。
AJR Am J Roentgenol. 2024 Aug;223(2):e2431283. doi: 10.2214/AJR.24.31283. Epub 2024 May 29.
4
Influence of Ground Glass Opacity and the Corresponding Pathological Findings on Survival in Patients with Clinical Stage I Non-Small Cell Lung Cancer.临床Ⅰ期非小细胞肺癌患者磨玻璃密度影及其相应的病理结果对生存的影响。
J Thorac Oncol. 2018 Apr;13(4):533-542. doi: 10.1016/j.jtho.2017.11.129. Epub 2017 Dec 13.
5
Recurrence Patterns and Patient Outcomes in Resected Lung Adenocarcinoma Differ according to Ground-Glass Opacity at CT.CT 显示磨玻璃密度的肺腺癌切除术后复发模式和患者结局存在差异。
Radiology. 2023 May;307(3):e222422. doi: 10.1148/radiol.222422. Epub 2023 Mar 21.
6
Dynamic Analysis of the Impact of Micropapillary Component on Different Recurrence Patterns of Pathological Stage IA3 Lung Adenocarcinoma: A Multicenter, Retrospective Study.微乳头成分对不同复发模式的病理分期 IA3 肺腺癌的影响的动态分析:一项多中心回顾性研究。
Ann Surg Oncol. 2024 Feb;31(2):872-882. doi: 10.1245/s10434-023-14520-1. Epub 2023 Nov 14.
7
Establishment and validation of a nomogram model for predicting postoperative recurrence-free survival in stage IA3 lung adenocarcinoma: a retrospective cohort study.预测IA3期肺腺癌术后无复发生存率的列线图模型的建立与验证:一项回顾性队列研究
Transl Lung Cancer Res. 2022 Nov;11(11):2275-2288. doi: 10.21037/tlcr-22-776.
8
A Multi-institutional Analysis of the Combined Effect of Micropapillary Component and Consolidation-to-Tumor Ratio >0.5 on the Prognosis of Pathological, Stage IA3, Lung Adenocarcinoma.多机构分析微乳头成分与肿瘤比值>0.5 对病理分期 IA3 肺腺癌预后的联合影响。
Ann Surg Oncol. 2023 Sep;30(9):5843-5853. doi: 10.1245/s10434-023-13658-2. Epub 2023 May 23.
9
Ground glass opacity resection extent assessment trial : A study protocol of multi-institutional, prospective, open-label, randomized phase III trial of minimally invasive segmentectomy versus lobectomy for ground glass opacity (GGO)-containing early-stage invasive lung adenocarcinoma.磨玻璃影切除术范围评估试验:一项多机构、前瞻性、开放标签、随机 III 期试验的研究方案,该试验比较微创肺段切除术与肺叶切除术治疗含磨玻璃影(GGO)的早期浸润性肺腺癌的疗效。
Front Oncol. 2023 Jan 19;13:1052796. doi: 10.3389/fonc.2023.1052796. eCollection 2023.
10
Distinct clinicopathologic factors and prognosis based on the presence of ground-glass opacity components in patients with resected stage I non-small cell lung cancer.基于磨玻璃影成分存在情况的Ⅰ期非小细胞肺癌患者的不同临床病理因素及预后
Ann Transl Med. 2020 Sep;8(18):1133. doi: 10.21037/atm-20-4971.

引用本文的文献

1
Prognostic value of ground-glass opacity on computed tomography for patients with pathological stage IA3 lung adenocarcinoma: a multicenter retrospective cohort study.计算机断层扫描上磨玻璃影对病理分期为IA3期肺腺癌患者的预后价值:一项多中心回顾性队列研究
Transl Lung Cancer Res. 2024 Dec 31;13(12):3629-3641. doi: 10.21037/tlcr-24-923. Epub 2024 Dec 19.
2
Editorial: Recent advances in surgical management of NSCLC.社论:非小细胞肺癌外科治疗的最新进展
Front Oncol. 2024 Aug 8;14:1454905. doi: 10.3389/fonc.2024.1454905. eCollection 2024.
3
The clinical, radiological, postoperative pathological, and genetic features of nodular lung adenocarcinoma: a real-world single-center data.

本文引用的文献

1
Comprehensive analyses unveil novel genomic and immunological characteristics of micropapillary pattern in lung adenocarcinoma.综合分析揭示了肺腺癌微乳头模式的新基因组和免疫特征。
Front Oncol. 2022 Aug 3;12:931209. doi: 10.3389/fonc.2022.931209. eCollection 2022.
2
The prognostic impact of the ground-glass opacity component in nearly pure-solid stage IA non-small-cell lung cancer.纯磨玻璃密度成分在 IA 期非小细胞肺癌中对预后的影响。
Eur J Cardiothorac Surg. 2022 Aug 3;62(3). doi: 10.1093/ejcts/ezac166.
3
Targeting Exon 20 Insertions in Non-Small Cell Lung Cancer: Recent Advances and Clinical Updates.
结节状肺腺癌的临床、影像学、术后病理及遗传学特征:一项真实世界单中心数据。
J Thorac Dis. 2024 May 31;16(5):3228-3250. doi: 10.21037/jtd-24-510. Epub 2024 May 21.
靶向非小细胞肺癌中的外显子 20 插入:最新进展和临床更新。
Cancer Discov. 2021 Sep;11(9):2145-2157. doi: 10.1158/2159-8290.CD-21-0226. Epub 2021 Jul 23.
4
Clinical T1aN0M0 lung cancer: differences in clinicopathological patterns and oncological outcomes based on the findings on high-resolution computed tomography.高分辨率 CT 检查结果对 T1aN0M0 期肺癌临床病理模式和肿瘤学结局的影响
Eur Radiol. 2021 Oct;31(10):7353-7362. doi: 10.1007/s00330-021-07865-2. Epub 2021 Apr 15.
5
NCCN Guidelines Insights: Non-Small Cell Lung Cancer, Version 2.2021.NCCN 指南解读:非小细胞肺癌,第 2.2021 版。
J Natl Compr Canc Netw. 2021 Mar 2;19(3):254-266. doi: 10.6004/jnccn.2021.0013.
6
Clinical impact of a small component of ground-glass opacity in solid-dominant clinical stage IA non-small cell lung cancer.实性为主的临床I A期非小细胞肺癌中磨玻璃影小成分的临床影响
J Thorac Cardiovasc Surg. 2022 Mar;163(3):791-801.e4. doi: 10.1016/j.jtcvs.2020.12.089. Epub 2020 Dec 29.
7
Prognostic Significance of Ground-Glass Opacity Components in 5-Year Survivors With Resected Lung Adenocarcinoma.肺腺癌切除术后 5 年生存者中磨玻璃密度成分的预后意义。
Ann Surg Oncol. 2021 Jan;28(1):148-156. doi: 10.1245/s10434-020-09125-x. Epub 2020 Sep 12.
8
Prognostic impact of a ground-glass opacity component in clinical stage IA non-small cell lung cancer.临床ⅠA 期非小细胞肺癌磨玻璃密度成分的预后影响。
J Thorac Cardiovasc Surg. 2021 Apr;161(4):1469-1480. doi: 10.1016/j.jtcvs.2020.01.107. Epub 2020 Apr 6.
9
A modified T categorization for part-solid lesions in Chinese patients with clinical stage I Non-small cell lung cancer.中国临床I期非小细胞肺癌患者部分实性病变的改良T分类
Lung Cancer. 2020 Jul;145:33-39. doi: 10.1016/j.lungcan.2020.04.028. Epub 2020 Apr 28.
10
Impact of the micropapillary component on the timing of recurrence in patients with resected lung adenocarcinoma.微乳头成分对肺腺癌切除患者复发时间的影响。
Eur J Cardiothorac Surg. 2020 Nov 1;58(5):1010-1018. doi: 10.1093/ejcts/ezaa138.