Suppr超能文献

代谢肿瘤参数在晚期霍奇金淋巴瘤的预后评估中补充了临床病理因素。

Metabolic tumor parameters complement clinicopathological factors in prognosticating advanced stage Hodgkin Lymphoma.

作者信息

Mohite Ashish, Rangarajan Venkatesh, Goda Jayant, Chugh Swati, Agrawal Archi, Sengar Manju

机构信息

Department of Nuclear medicine and Molecular Imaging, Tata Memorial Centre, Mumbai Maharashtra, India.

Homi Bhabha National Institute, Anushaktinagar, Mumbai, Maharashtra, India.

出版信息

Asia Ocean J Nucl Med Biol. 2023;11(2):111-121. doi: 10.22038/AOJNMB.2023.69260.1482.

Abstract

OBJECTIVES

Advanced Hodgkin Lymphoma has a higher probability of relapse and recurrence. Classical clinicopathological parameters including the International Prognostic Score (IPS) have not been reliable in predicting prognosis or tailoring treatment. Since FDG PET/CT is the standard of care in staging Hodgkin Lymphoma, this study attempted to evaluate the clinical utility of baseline metabolic tumor parameters in a cohort of advanced Hodgkin lymphoma (stage III and IV).

METHODS

Histology-proven advanced Hodgkin Patients presenting to our institute between 2012-2016 and treated with chemo-radiotherapy (ABVD / AEVD) were followed up till 2019. Quantitative PET/CT and clinicopathological parameters were used to estimate the Event Free Survival (EFS) in 100 patients. Kaplan-Meier method with log-rank test was used to compare the survival times of prognostic factors.

RESULTS

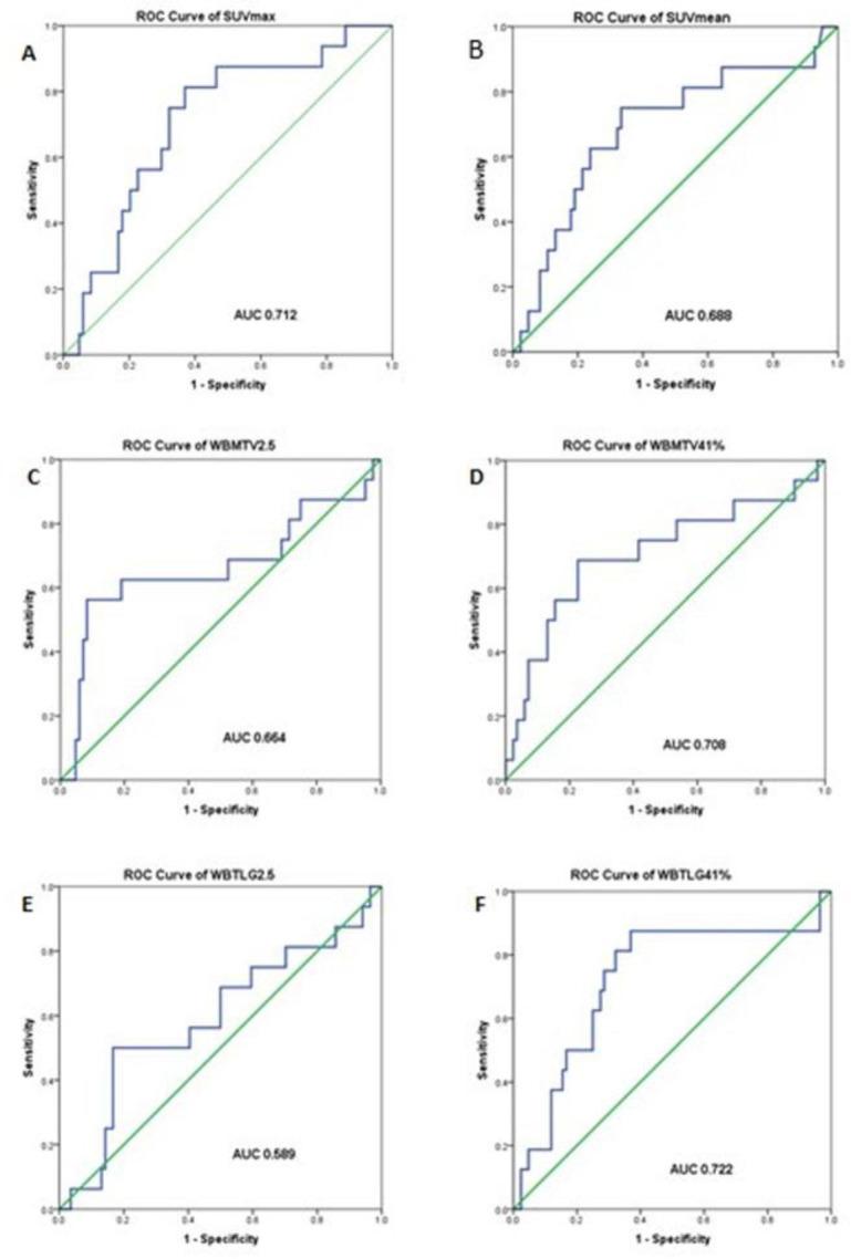
At a median follow-up of 48.83 months (IQR:33.31-63.05 months), the five-year-EFS was 81%. Of the 100 patients, 16 had relapsed (16%) and none died at the last follow-up. On Univariate analysis, among non-PET parameters bulky disease (P=0.03) and B-symptoms (P=0.04) were significant while among PET/CT parameters SUV (p=0.001), SUV (P=0.002), WBMTV2.5 (P<0.001), WBMTV41% (P<0.001), WBTLG2.5 (P<0.001) and WBTLG41% (P <0.001) predicted poorer EFS. 5-year EFS for patients with low WBMTV2.5 [<1038.3 cm3] was 89% and 35% for patients with high WBMTV2.5 [≥1038.3 cm3] (p <0.001). In a multivariate model, only WBMTV2.5 (P=0.03) independently predicted poorer EFS.

CONCLUSION

PET-based metabolic parameter (WBMTV2.5) was able to prognosticate and complement the classical clinical prognostic factors in advanced Hodgkin Lymphoma. This parameter could have a surrogate value for prognosticating advanced Hodgkin lymphoma. Better prognostication at baseline translates to tailored or risk-modified treatment and hence higher survival.

摘要

目的

晚期霍奇金淋巴瘤有较高的复发概率。包括国际预后评分(IPS)在内的经典临床病理参数在预测预后或制定治疗方案方面并不可靠。由于氟代脱氧葡萄糖正电子发射断层扫描/计算机断层扫描(FDG PET/CT)是霍奇金淋巴瘤分期的标准治疗手段,本研究试图评估一组晚期霍奇金淋巴瘤(III期和IV期)患者基线代谢肿瘤参数的临床应用价值。

方法

对2012年至2016年间到我院就诊并接受放化疗(ABVD/AEVD方案)的经组织学证实的晚期霍奇金病患者进行随访,直至2019年。采用定量PET/CT和临床病理参数评估100例患者的无事件生存期(EFS)。采用Kaplan-Meier法和对数秩检验比较各预后因素的生存时间。

结果

中位随访时间为48.83个月(四分位间距:33.31 - 63.05个月),五年EFS为81%。100例患者中,16例复发(16%),末次随访时无死亡病例。单因素分析显示,在非PET参数中,大包块病(P = 0.03)和B症状(P = 0.04)具有统计学意义,而在PET/CT参数中,标准化摄取值(SUV)(p = 0.001)、SUV(P = 0.002)、全身代谢肿瘤体积2.5(WBMTV2.5)(P < 0.001)、WBMTV41%(P < 0.001)、全身总病变糖酵解2.5(WBTLG2.5)(P < 0.001)和WBTLG41%(P < 0.001)提示EFS较差。WBMTV2.5低[<1038.3 cm³]的患者5年EFS为89%,WBMTV2.5高[≥1038.3 cm³]的患者为35%(p < 0.001)。在多变量模型中,只有WBMTV2.5(P = 0.03)独立预测EFS较差。

结论

基于PET的代谢参数(WBMTV2.5)能够对晚期霍奇金淋巴瘤进行预后评估,并补充经典的临床预后因素。该参数可能对晚期霍奇金淋巴瘤的预后评估具有替代价值。基线时更好的预后评估有助于制定个性化或风险调整的治疗方案,从而提高生存率。

https://cdn.ncbi.nlm.nih.gov/pmc/blobs/f6fd/10261693/b4a0a68b9389/AOJNMB-02-111-g001.jpg

文献AI研究员

20分钟写一篇综述,助力文献阅读效率提升50倍。

立即体验

用中文搜PubMed

大模型驱动的PubMed中文搜索引擎

马上搜索

文档翻译

学术文献翻译模型,支持多种主流文档格式。

立即体验