Suppr超能文献

冲击波疗法和声疗对跟腱病患者步行动作中姿势控制影响的初步调查。

A preliminary investigation into the impact of shock wave therapy and sonotherapy on postural control of stepping tasks in patients with Achilles tendinopathy.

作者信息

Stania Magdalena, Pawłowski Michał, Marszałek Wojciech, Juras Grzegorz, Słomka Kajetan Jacek, Król Piotr

机构信息

Institute of Sport Sciences, Academy of Physical Education, Katowice, Poland.

出版信息

Front Neurol. 2023 Jun 2;14:1157335. doi: 10.3389/fneur.2023.1157335. eCollection 2023.

Abstract

OBJECTIVE

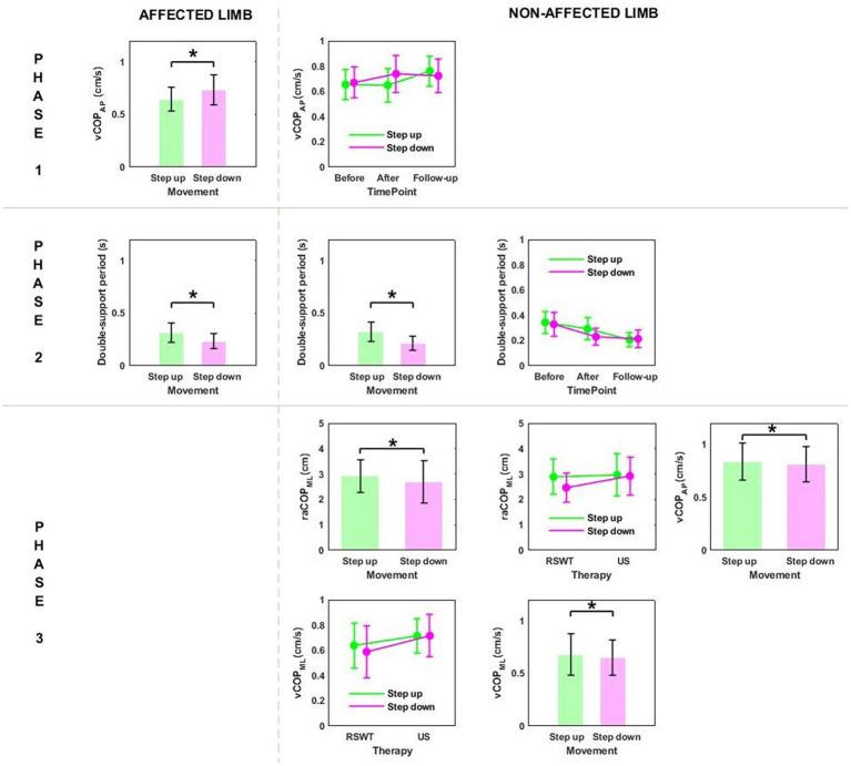
The outcomes of physical therapy are commonly assessed with subjective scales and questionnaires. Hence, a continuous search to identify diagnostic tests that would facilitate objective assessment of symptom reduction in those patients with Achilles tendinopathy who undergo mechanotherapy. The main aim of this study was to evaluate and compare the effectiveness of shock wave and ultrasound treatments, using objective posturographic assessment during step-up and step-down initiation.

MATERIALS AND METHODS

The patients with non-insertional Achilles tendinopathy and pain lasting for more than 3 months were randomly assigned to one of the experimental groups, i.e., radial shock wave therapy (RSWT), ultrasound therapy, or placebo ultrasound. All groups also received deep friction massage as the primary therapy. The transitional locomotor task was performed with the affected and unaffected limb in random order, on two force platforms under two conditions (step-up and step-down). The recording of center of foot pressure displacements was divided into three phases: quiet standing before step-up/step-down, transit, and quiet standing until measurement completion. Pre-intervention measurements were performed and then short-term follow-ups at weeks 1 and 6 post-therapy.

RESULTS

The three-way repeated measures ANOVA showed few statistically significant two-factor interactions between therapy type, time point of measurement and the type of the locomotor task. Significant increases in postural sway were observed in the entire study population throughout the follow-up period. Three-way ANOVAs revealed a group effect (shock wave vs. ultrasound) on almost all variables of the quiet standing phase prior to step-up/step-down initiation. Overall, postural stability before the step-up and step-down tasks appeared to be more efficient in patients who had undergone RSWT compared to the ultrasound group.

CONCLUSION

Objective posturographic assessment during step-up and step-down initiation did not demonstrate therapeutic superiority of any of the three therapeutic interventions used in patients with non-insertional Achilles tendinopathy. The trial was prospectively registered in the Australian and New Zealand Clinical Trials Registry (no. ACTRN12617000860369; registration date: 9.06.2017).

摘要

目的

物理治疗的效果通常通过主观量表和问卷进行评估。因此,人们一直在不断探索,以确定能够有助于对接受机械疗法的跟腱病患者的症状减轻情况进行客观评估的诊断测试。本研究的主要目的是在上下台阶起始过程中使用客观姿势描记法评估,来评价和比较冲击波与超声治疗的效果。

材料与方法

将非插入性跟腱病且疼痛持续超过3个月的患者随机分配到其中一个实验组,即径向冲击波疗法(RSWT)、超声疗法或安慰剂超声组。所有组还接受深部摩擦按摩作为主要治疗方法。在两个力平台上,在两种条件下(上台阶和下台阶),对患侧和未患侧肢体以随机顺序进行过渡性运动任务。足部压力中心位移的记录分为三个阶段:上台阶/下台阶前的安静站立、过渡阶段以及直至测量完成的安静站立。在干预前进行测量,然后在治疗后第1周和第6周进行短期随访。

结果

三因素重复测量方差分析显示,治疗类型、测量时间点和运动任务类型之间几乎没有统计学上显著的双因素交互作用。在整个随访期间,整个研究人群的姿势摆动均有显著增加。三因素方差分析显示,在上下台阶起始前的安静站立阶段的几乎所有变量上,存在组效应(冲击波与超声)。总体而言,与超声组相比,接受RSWT治疗的患者在上下台阶任务前的姿势稳定性似乎更高。

结论

在上下台阶起始过程中进行的客观姿势描记法评估并未显示出在非插入性跟腱病患者中使用的三种治疗干预措施中的任何一种具有治疗优越性。该试验已在澳大利亚和新西兰临床试验注册中心进行前瞻性注册(编号:ACTRN12617000860369;注册日期:2017年6月9日)。

https://cdn.ncbi.nlm.nih.gov/pmc/blobs/a934/10272772/239e4c3104a8/fneur-14-1157335-g001.jpg

文献AI研究员

20分钟写一篇综述,助力文献阅读效率提升50倍。

立即体验

用中文搜PubMed

大模型驱动的PubMed中文搜索引擎

马上搜索

文档翻译

学术文献翻译模型,支持多种主流文档格式。

立即体验