• 文献检索
  • 文档翻译
  • 深度研究
  • 学术资讯
  • Suppr Zotero 插件Zotero 插件
  • 邀请有礼
  • 套餐&价格
  • 历史记录
应用&插件
Suppr Zotero 插件Zotero 插件浏览器插件Mac 客户端Windows 客户端微信小程序
定价
高级版会员购买积分包购买API积分包
服务
文献检索文档翻译深度研究API 文档MCP 服务
关于我们
关于 Suppr公司介绍联系我们用户协议隐私条款
关注我们

Suppr 超能文献

核心技术专利:CN118964589B侵权必究
粤ICP备2023148730 号-1Suppr @ 2026

文献检索

告别复杂PubMed语法,用中文像聊天一样搜索,搜遍4000万医学文献。AI智能推荐,让科研检索更轻松。

立即免费搜索

文件翻译

保留排版,准确专业,支持PDF/Word/PPT等文件格式,支持 12+语言互译。

免费翻译文档

深度研究

AI帮你快速写综述,25分钟生成高质量综述,智能提取关键信息,辅助科研写作。

立即免费体验

中国湖南省初诊原发性肺结核患者死亡率预测的列线图:一项回顾性研究。

A nomogram for predicting mortality of patients initially diagnosed with primary pulmonary tuberculosis in Hunan province, China: a retrospective study.

机构信息

Xiangya School of Nursing, Central South University, Changsha, Hunan, China.

College of Applied Technology, Hunan Open University, Changsha, Hunan, China.

出版信息

Front Cell Infect Microbiol. 2023 Jun 2;13:1179369. doi: 10.3389/fcimb.2023.1179369. eCollection 2023.

DOI:10.3389/fcimb.2023.1179369
PMID:37333854
原文链接:https://pmc.ncbi.nlm.nih.gov/articles/PMC10272565/
Abstract

OBJECTIVE

According to the Global Tuberculosis Report for three consecutive years, tuberculosis (TB) is the second leading infectious killer. Primary pulmonary tuberculosis (PTB) leads to the highest mortality among TB diseases. Regretfully, no previous studies targeted the PTB of a specific type or in a specific course, so models established in previous studies cannot be accurately feasible for clinical treatments. This study aimed to construct a nomogram prognostic model to quickly recognize death-related risk factors in patients initially diagnosed with PTB to intervene and treat high-risk patients as early as possible in the clinic to reduce mortality.

METHODS

We retrospectively analyzed the clinical data of 1,809 in-hospital patients initially diagnosed with primary PTB at Hunan Chest Hospital from January 1, 2019, to December 31, 2019. Binary logistic regression analysis was used to identify the risk factors. A nomogram prognostic model for mortality prediction was constructed using R software and was validated using a validation set.

RESULTS

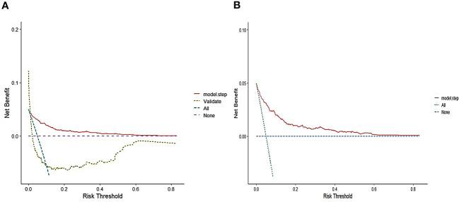
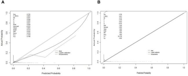
Univariate and multivariate logistic regression analyses revealed that drinking, hepatitis B virus (HBV), body mass index (BMI), age, albumin (ALB), and hemoglobin (Hb) were six independent predictors of death in in-hospital patients initially diagnosed with primary PTB. Based on these predictors, a nomogram prognostic model was established with high prediction accuracy, of which the area under the curve (AUC) was 0.881 (95% confidence interval [Cl]: 0.777-0.847), the sensitivity was 84.7%, and the specificity was 77.7%.Internal and external validations confirmed that the constructed model fit the real situation well.

CONCLUSION

The constructed nomogram prognostic model can recognize risk factors and accurately predict the mortality of patients initially diagnosed with primary PTB. This is expected to guide early clinical intervention and treatment for high-risk patients.

摘要

目的

根据连续三年的《全球结核病报告》,结核病(TB)是第二大传染性杀手。原发性肺结核(PTB)在结核病疾病中导致的死亡率最高。遗憾的是,以前没有研究针对特定类型或特定病程的 PTB,因此以前研究中建立的模型不能准确地适用于临床治疗。本研究旨在构建列线图预后模型,以便快速识别初诊为 PTB 的患者的死亡相关风险因素,以便在临床上尽早干预和治疗高危患者,从而降低死亡率。

方法

我们回顾性分析了 2019 年 1 月 1 日至 2019 年 12 月 31 日期间在湖南省胸科医院初诊为原发性 PTB 的 1809 例住院患者的临床资料。采用二元逻辑回归分析识别风险因素。使用 R 软件构建用于死亡率预测的列线图预后模型,并使用验证集进行验证。

结果

单因素和多因素逻辑回归分析显示,饮酒、乙型肝炎病毒(HBV)、体重指数(BMI)、年龄、白蛋白(ALB)和血红蛋白(Hb)是初诊为原发性 PTB 的住院患者死亡的六个独立预测因素。基于这些预测因素,建立了一个具有较高预测准确性的列线图预后模型,其中曲线下面积(AUC)为 0.881(95%置信区间[Cl]:0.777-0.847),灵敏度为 84.7%,特异性为 77.7%。内部和外部验证证实,所构建的模型拟合实际情况良好。

结论

构建的列线图预后模型可以识别风险因素并准确预测初诊为原发性 PTB 的患者的死亡率。这有望指导高危患者的早期临床干预和治疗。

https://cdn.ncbi.nlm.nih.gov/pmc/blobs/f4d6/10272565/63d54f5cef8c/fcimb-13-1179369-g006.jpg
https://cdn.ncbi.nlm.nih.gov/pmc/blobs/f4d6/10272565/ce86336dbeff/fcimb-13-1179369-g001.jpg
https://cdn.ncbi.nlm.nih.gov/pmc/blobs/f4d6/10272565/3d15846dde68/fcimb-13-1179369-g002.jpg
https://cdn.ncbi.nlm.nih.gov/pmc/blobs/f4d6/10272565/1552e8ee4e7a/fcimb-13-1179369-g003.jpg
https://cdn.ncbi.nlm.nih.gov/pmc/blobs/f4d6/10272565/41457142c0e1/fcimb-13-1179369-g004.jpg
https://cdn.ncbi.nlm.nih.gov/pmc/blobs/f4d6/10272565/5da24ad87b88/fcimb-13-1179369-g005.jpg
https://cdn.ncbi.nlm.nih.gov/pmc/blobs/f4d6/10272565/63d54f5cef8c/fcimb-13-1179369-g006.jpg
https://cdn.ncbi.nlm.nih.gov/pmc/blobs/f4d6/10272565/ce86336dbeff/fcimb-13-1179369-g001.jpg
https://cdn.ncbi.nlm.nih.gov/pmc/blobs/f4d6/10272565/3d15846dde68/fcimb-13-1179369-g002.jpg
https://cdn.ncbi.nlm.nih.gov/pmc/blobs/f4d6/10272565/1552e8ee4e7a/fcimb-13-1179369-g003.jpg
https://cdn.ncbi.nlm.nih.gov/pmc/blobs/f4d6/10272565/41457142c0e1/fcimb-13-1179369-g004.jpg
https://cdn.ncbi.nlm.nih.gov/pmc/blobs/f4d6/10272565/5da24ad87b88/fcimb-13-1179369-g005.jpg
https://cdn.ncbi.nlm.nih.gov/pmc/blobs/f4d6/10272565/63d54f5cef8c/fcimb-13-1179369-g006.jpg

相似文献

1
A nomogram for predicting mortality of patients initially diagnosed with primary pulmonary tuberculosis in Hunan province, China: a retrospective study.中国湖南省初诊原发性肺结核患者死亡率预测的列线图:一项回顾性研究。
Front Cell Infect Microbiol. 2023 Jun 2;13:1179369. doi: 10.3389/fcimb.2023.1179369. eCollection 2023.
2
Predicting the risk of active pulmonary tuberculosis in people living with HIV: development and validation of a nomogram.预测 HIV 感染者中活动性肺结核的风险:列线图的制定和验证。
BMC Infect Dis. 2022 Apr 19;22(1):388. doi: 10.1186/s12879-022-07368-5.
3
Development, assessment and validation of a novel prediction nomogram model for risk identification of tracheobronchial tuberculosis in patients with pulmonary tuberculosis.开发、评估和验证一种新型预测列线图模型,用于识别肺结核患者中气管支气管结核的风险。
BMJ Open Respir Res. 2023 Nov;10(1). doi: 10.1136/bmjresp-2023-001781.
4
A novel hematological score (HS) and its related nomogram model to predict nontuberculous mycobacterial pulmonary disease in patients with suspected multidrug-resistant pulmonary tuberculosis.一种新型血液学评分(HS)及其相关列线图模型,用于预测疑似耐多药肺结核患者中的非结核分枝杆菌性肺病。
Ann Med. 2024 Dec;56(1):2409965. doi: 10.1080/07853890.2024.2409965. Epub 2024 Sep 30.
5
[Risk factor analysis on body mass rebound after laparoscopic sleeve gastrectomy and establishment of a nomogram prediction model].腹腔镜袖状胃切除术后体重反弹的危险因素分析及列线图预测模型的建立
Zhonghua Wei Chang Wai Ke Za Zhi. 2022 Oct 25;25(10):913-920. doi: 10.3760/cma.j.cn441530-20220418-00159.
6
Long Noncoding RNA and Predictive Model To Improve Diagnosis of Clinically Diagnosed Pulmonary Tuberculosis.长链非编码RNA与预测模型以改善临床诊断肺结核的诊断
J Clin Microbiol. 2020 Jun 24;58(7). doi: 10.1128/JCM.01973-19.
7
[Risk factor analysis on anastomotic leakage after laparoscopic surgery in rectal cancer patient with neoadjuvant therapy and establishment of a nomogram prediction model].[新辅助治疗直肠癌患者腹腔镜手术后吻合口漏的危险因素分析及列线图预测模型的建立]
Zhonghua Wei Chang Wai Ke Za Zhi. 2019 Aug 25;22(8):748-754. doi: 10.3760/cma.j.issn.1671-0274.2019.08.009.
8
A risk prediction model for acute kidney injury in patients with pulmonary tuberculosis during anti-tuberculosis treatment.抗结核治疗期间肺结核患者急性肾损伤的风险预测模型。
Ren Fail. 2022 Dec;44(1):625-635. doi: 10.1080/0886022X.2022.2058405.
9
Construction and Validation of a Nomogram to Identify the Risk of Cavitation in Pulmonary Tuberculosis.用于识别肺结核空洞形成风险的列线图的构建与验证
Infect Drug Resist. 2024 Jul 5;17:2803-2813. doi: 10.2147/IDR.S459330. eCollection 2024.
10
Development and validation of a prediction model for unsuccessful treatment outcomes in patients with multi-drug resistance tuberculosis.开发和验证多药耐药结核病患者治疗结局不良的预测模型。
BMC Infect Dis. 2023 May 5;23(1):289. doi: 10.1186/s12879-023-08193-0.

引用本文的文献

1
Predictive analysis of all-cause mortality of previously untreated pulmonary tuberculosis patients complicated by hypertension.既往未治疗的合并高血压的肺结核患者全因死亡率的预测分析
Front Cell Infect Microbiol. 2025 Aug 11;15:1574824. doi: 10.3389/fcimb.2025.1574824. eCollection 2025.
2
Underweight was associated with increased mortality in adults with latent tuberculosis infection.体重过轻与潜伏性结核感染成人的死亡率增加有关。
Front Nutr. 2025 Jun 24;12:1607507. doi: 10.3389/fnut.2025.1607507. eCollection 2025.
3
Impact of body mass index on mortality rates in tuberculosis: A systematic review and meta-analysis.

本文引用的文献

1
Analysis on the Risk Factors of Malnutrition in Type 2 Diabetes Mellitus Patients with Pulmonary Tuberculosis.2型糖尿病合并肺结核患者营养不良的危险因素分析
Infect Drug Resist. 2022 Dec 21;15:7555-7564. doi: 10.2147/IDR.S381392. eCollection 2022.
2
Impacts of Medical Security Level on Treatment Outcomes of Drug-Resistant Tuberculosis: Evidence from Wuhan City, China.医疗保障水平对耐多药结核病治疗效果的影响:来自中国武汉市的证据
Patient Prefer Adherence. 2022 Dec 20;16:3341-3355. doi: 10.2147/PPA.S389231. eCollection 2022.
3
Predicting mortality in pulmonary tuberculosis: A systematic review of prognostic models.
体重指数对结核病死亡率的影响:一项系统评价和荟萃分析。
Pak J Med Sci. 2025 Jun;41(6):1836-1844. doi: 10.12669/pjms.41.6.11722.
4
Association between blood inflammatory status and the survival of tuberculosis: a five-year cohort study.血液炎症状态与结核病生存情况的关联:一项为期五年的队列研究。
Front Immunol. 2025 Mar 21;16:1556857. doi: 10.3389/fimmu.2025.1556857. eCollection 2025.
5
Elderly Patients with Tuberculosis Combined with Diabetes Mellitus: A Comprehensive Analysis of Lymphocyte Subpopulation Dynamics, Clinical Features, Drug Resistance and Disease Regression.老年肺结核合并糖尿病患者:淋巴细胞亚群动态、临床特征、耐药性及疾病转归的综合分析
Int J Gen Med. 2025 Mar 5;18:1271-1282. doi: 10.2147/IJGM.S502996. eCollection 2025.
6
Applying a Combined Model to Evaluate the Risk of Poor Treatment Outcomes in Rifampicin Resistant Tuberculosis Patients: A Multicenter Retrospective Study.应用联合模型评估耐利福平结核病患者治疗效果不佳的风险:一项多中心回顾性研究
Infect Drug Resist. 2024 Nov 29;17:5287-5298. doi: 10.2147/IDR.S491910. eCollection 2024.
7
Construction and Validation of a Nomogram to Identify the Risk of Cavitation in Pulmonary Tuberculosis.用于识别肺结核空洞形成风险的列线图的构建与验证
Infect Drug Resist. 2024 Jul 5;17:2803-2813. doi: 10.2147/IDR.S459330. eCollection 2024.
预测肺结核死亡率:预后模型的系统评价。
Indian J Tuberc. 2022 Oct;69(4):432-440. doi: 10.1016/j.ijtb.2021.10.007. Epub 2021 Oct 19.
4
Alcohol impairs recognition and uptake of Mycobacterium tuberculosis by suppressing toll-like receptor 2 expression.酒精通过抑制 Toll 样受体 2 的表达来损害对结核分枝杆菌的识别和摄取。
Alcohol Clin Exp Res. 2022 Dec;46(12):2214-2224. doi: 10.1111/acer.14960. Epub 2022 Nov 3.
5
Applying SARIMA, ETS, and hybrid models for prediction of tuberculosis incidence rate in Taiwan.应用 SARIMA、ETS 和混合模型预测台湾的结核病发病率。
PeerJ. 2022 Sep 21;10:e13117. doi: 10.7717/peerj.13117. eCollection 2022.
6
Risk of drug-induced liver injury in chronic hepatitis B and tuberculosis co-infection: A systematic review and meta-analysis.慢性乙型肝炎和结核病合并感染患者中药物性肝损伤的风险:系统评价和荟萃分析。
J Viral Hepat. 2022 Dec;29(12):1107-1114. doi: 10.1111/jvh.13751. Epub 2022 Oct 14.
7
Anemia Is a Strong Predictor of Wasting, Disease Severity, and Progression, in Clinical Tuberculosis (TB).贫血是临床结核病(TB)中消瘦、疾病严重程度和进展的强预测因子。
Nutrients. 2022 Aug 12;14(16):3318. doi: 10.3390/nu14163318.
8
Time to Death and Associated Factors among Tuberculosis Patients in South West Ethiopia: Application of Shared Frailty Model.埃塞俄比亚西南部结核病患者的死亡时间及相关因素:共享脆弱模型的应用
Diseases. 2022 Aug 5;10(3):51. doi: 10.3390/diseases10030051.
9
Age-period-cohort analysis of pulmonary tuberculosis reported incidence, China, 2006-2020.2006-2020 年中国肺结核报告发病率的年龄-时期-队列分析。
Infect Dis Poverty. 2022 Jul 28;11(1):85. doi: 10.1186/s40249-022-01009-4.
10
Epidemiology and Control of diabetes - tuberculosis comorbidity in Eswatini: protocol for the prospective study of tuberculosis patients on predictive factors, treatment outcomes and patient management practices.斯威士兰糖尿病-结核共病的流行病学和控制:对预测因素、治疗结果和患者管理实践的前瞻性研究方案。
BMJ Open. 2022 Jun 21;12(6):e059254. doi: 10.1136/bmjopen-2021-059254.