Suppr超能文献

全基因组关联研究中的加权多重检验程序。

Weighted multiple testing procedures in genome-wide association studies.

机构信息

Université Paris-Saclay, CNRS, Univ Evry, Laboratoire de Mathématiques et Modélisation d'Evry, Evry-Courcouronnes, France.

出版信息

PeerJ. 2023 Jun 15;11:e15369. doi: 10.7717/peerj.15369. eCollection 2023.

Abstract

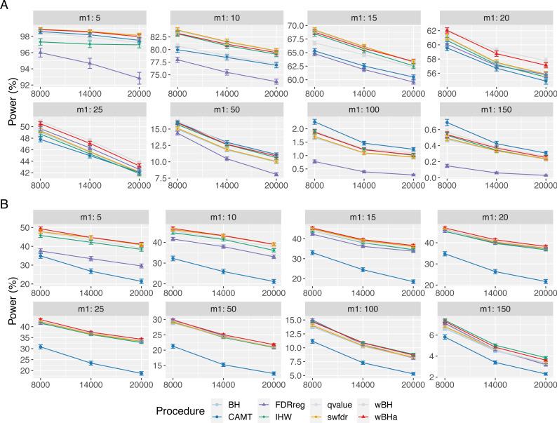
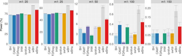
Multiple testing procedures controlling the false discovery rate (FDR) are increasingly used in the context of genome wide association studies (GWAS), and weighted multiple testing procedures that incorporate covariate information are efficient to improve the power to detect associations. In this work, we evaluate some recent weighted multiple testing procedures in the specific context of GWAS through a simulation study. We also present a new efficient procedure called wBHa that prioritizes the detection of genetic variants with low minor allele frequencies while maximizing the overall detection power. The results indicate good performance of our procedure compared to other weighted multiple testing procedures. In particular, in all simulated settings, wBHa tends to outperform other procedures in detecting rare variants while maintaining good overall power. The use of the different procedures is illustrated with a real dataset.

摘要

多测试程序控制错误发现率(FDR)在全基因组关联研究(GWAS)的背景下越来越多地被使用,并且整合协变量信息的加权多重测试程序可以有效地提高检测关联的能力。在这项工作中,我们通过模拟研究评估了一些最近在 GWAS 特定背景下的加权多重测试程序。我们还提出了一种新的有效程序 wBHa,该程序在最大化整体检测能力的同时优先检测具有低次要等位基因频率的遗传变体。与其他加权多重测试程序相比,我们的程序结果表明性能良好。特别是在所有模拟环境中,wBHa 在检测稀有变体时往往优于其他程序,同时保持良好的整体能力。使用不同的程序说明了一个真实数据集。

https://cdn.ncbi.nlm.nih.gov/pmc/blobs/d945/10276986/65af4eb54dce/peerj-11-15369-g001.jpg

文献检索

告别复杂PubMed语法,用中文像聊天一样搜索,搜遍4000万医学文献。AI智能推荐,让科研检索更轻松。

立即免费搜索

文件翻译

保留排版,准确专业,支持PDF/Word/PPT等文件格式,支持 12+语言互译。

免费翻译文档

深度研究

AI帮你快速写综述,25分钟生成高质量综述,智能提取关键信息,辅助科研写作。

立即免费体验