• 文献检索
  • 文档翻译
  • 深度研究
  • 学术资讯
  • Suppr Zotero 插件Zotero 插件
  • 邀请有礼
  • 套餐&价格
  • 历史记录
应用&插件
Suppr Zotero 插件Zotero 插件浏览器插件Mac 客户端Windows 客户端微信小程序
定价
高级版会员购买积分包购买API积分包
服务
文献检索文档翻译深度研究API 文档MCP 服务
关于我们
关于 Suppr公司介绍联系我们用户协议隐私条款
关注我们

Suppr 超能文献

核心技术专利:CN118964589B侵权必究
粤ICP备2023148730 号-1Suppr @ 2026

文献检索

告别复杂PubMed语法,用中文像聊天一样搜索,搜遍4000万医学文献。AI智能推荐,让科研检索更轻松。

立即免费搜索

文件翻译

保留排版,准确专业,支持PDF/Word/PPT等文件格式,支持 12+语言互译。

免费翻译文档

深度研究

AI帮你快速写综述,25分钟生成高质量综述,智能提取关键信息,辅助科研写作。

立即免费体验

基于图论参数的抗癌药物的一些稳定闭壳结构

Some stable and closed-shell structures of anticancer drugs by graph theoretical parameters.

作者信息

Koam Ali N A, Ahmad Ali, Azeem Muhammad, Hakami Khalil Hadi, Elahi Kashif

机构信息

Department of Mathematics, College of Science, Jazan University, New Campus, Jazan 2097, Saudi Arabia.

Department of Information Technology and Security, College of Computer Science and Information Technology, Jazan University, Saudi Arabia.

出版信息

Heliyon. 2023 Jun 14;9(6):e17122. doi: 10.1016/j.heliyon.2023.e17122. eCollection 2023 Jun.

DOI:10.1016/j.heliyon.2023.e17122
PMID:37360097
原文链接:https://pmc.ncbi.nlm.nih.gov/articles/PMC10285186/
Abstract

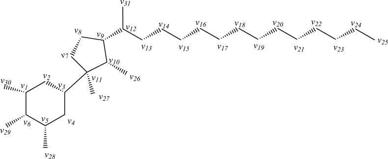
The eigenvalues are significant in mathematics, but they are also relevant in other domains like as chemistry, economics, and a variety of others. In terms of our research, eigenvalues are used in chemistry to represent not only the form of energy but also the various physicochemical aspects of a chemical substance. We must comprehend the connection between mathematics and chemistry. The antibonding level is related to positive eigenvalues, the bonding level is associated to negative eigenvalues, and the nonbonding level is linked to zero eigenvalues. In this work, we studied some anticancer drug structures in terms of nullity, matching number, eigenvalues of adjacency matrix, and characteristics polynomials. As a result, Carmustine, Caulibugulone-E, Aspidostomide-E anticancer drug structures are stable, closed-shell molecules since their nullity is equal to zero.

摘要

特征值在数学中很重要,但它们在化学、经济学等其他领域也有相关性。就我们的研究而言,特征值在化学中不仅用于表示能量形式,还用于表示化学物质的各种物理化学方面。我们必须理解数学与化学之间的联系。反键能级与正特征值相关,成键能级与负特征值相关,非键能级与零特征值相关。在这项工作中,我们从零度、匹配数、邻接矩阵的特征值和特征多项式方面研究了一些抗癌药物结构。结果,卡莫司汀、考利布古洛酮 - E、阿斯皮多司他胺 - E抗癌药物结构是稳定的闭壳分子,因为它们的零度等于零。

https://cdn.ncbi.nlm.nih.gov/pmc/blobs/1158/10285186/ed96adbfebe1/gr010.jpg
https://cdn.ncbi.nlm.nih.gov/pmc/blobs/1158/10285186/945e4f4a52b3/gr001.jpg
https://cdn.ncbi.nlm.nih.gov/pmc/blobs/1158/10285186/3ad655aa8297/gr002.jpg
https://cdn.ncbi.nlm.nih.gov/pmc/blobs/1158/10285186/550e5583e19a/gr003.jpg
https://cdn.ncbi.nlm.nih.gov/pmc/blobs/1158/10285186/f0ff3704cc03/gr004.jpg
https://cdn.ncbi.nlm.nih.gov/pmc/blobs/1158/10285186/66697872efed/gr005.jpg
https://cdn.ncbi.nlm.nih.gov/pmc/blobs/1158/10285186/c855ea6b5a62/gr006.jpg
https://cdn.ncbi.nlm.nih.gov/pmc/blobs/1158/10285186/3d35c4abe621/gr007.jpg
https://cdn.ncbi.nlm.nih.gov/pmc/blobs/1158/10285186/89f734beba4f/gr008.jpg
https://cdn.ncbi.nlm.nih.gov/pmc/blobs/1158/10285186/8786e7548837/gr009.jpg
https://cdn.ncbi.nlm.nih.gov/pmc/blobs/1158/10285186/ed96adbfebe1/gr010.jpg
https://cdn.ncbi.nlm.nih.gov/pmc/blobs/1158/10285186/945e4f4a52b3/gr001.jpg
https://cdn.ncbi.nlm.nih.gov/pmc/blobs/1158/10285186/3ad655aa8297/gr002.jpg
https://cdn.ncbi.nlm.nih.gov/pmc/blobs/1158/10285186/550e5583e19a/gr003.jpg
https://cdn.ncbi.nlm.nih.gov/pmc/blobs/1158/10285186/f0ff3704cc03/gr004.jpg
https://cdn.ncbi.nlm.nih.gov/pmc/blobs/1158/10285186/66697872efed/gr005.jpg
https://cdn.ncbi.nlm.nih.gov/pmc/blobs/1158/10285186/c855ea6b5a62/gr006.jpg
https://cdn.ncbi.nlm.nih.gov/pmc/blobs/1158/10285186/3d35c4abe621/gr007.jpg
https://cdn.ncbi.nlm.nih.gov/pmc/blobs/1158/10285186/89f734beba4f/gr008.jpg
https://cdn.ncbi.nlm.nih.gov/pmc/blobs/1158/10285186/8786e7548837/gr009.jpg
https://cdn.ncbi.nlm.nih.gov/pmc/blobs/1158/10285186/ed96adbfebe1/gr010.jpg

相似文献

1
Some stable and closed-shell structures of anticancer drugs by graph theoretical parameters.基于图论参数的抗癌药物的一些稳定闭壳结构
Heliyon. 2023 Jun 14;9(6):e17122. doi: 10.1016/j.heliyon.2023.e17122. eCollection 2023 Jun.
2
Study of some graph theoretical parameters for the structures of anticancer drugs.研究抗癌药物结构的一些图论参数。
Sci Rep. 2024 Jun 10;14(1):13301. doi: 10.1038/s41598-024-64086-5.
3
Molecular graphs and molecular conduction: the d-omni-conductors.分子图和分子传导:d-全方位导体。
Phys Chem Chem Phys. 2020 Jan 21;22(3):1349-1358. doi: 10.1039/c9cp05792g. Epub 2019 Dec 19.
4
On the spectrum, energy and Laplacian energy of graphs with self-loops.关于具有自环的图的谱、能量和拉普拉斯能量。
Heliyon. 2023 Jun 8;9(7):e17001. doi: 10.1016/j.heliyon.2023.e17001. eCollection 2023 Jul.
5
Sombor spectra of chain graphs.链图的索姆博尔谱
Heliyon. 2023 Jul 13;9(7):e18135. doi: 10.1016/j.heliyon.2023.e18135. eCollection 2023 Jul.
6
A new approach to the method of source-sink potentials for molecular conduction.一种用于分子传导的源汇势方法的新途径。
J Chem Phys. 2015 Nov 21;143(19):194105. doi: 10.1063/1.4935716.
7
On the nullity of a graph with cut-points.关于具有割点的图的零度。
Linear Algebra Appl. 2012 Jan 1;436(1):135-142. doi: 10.1016/j.laa.2011.06.039.
8
Emergent spectral properties of river network topology: an optimal channel network approach.河网拓扑结构的涌现光谱特性:一种最优渠道网络方法。
Sci Rep. 2017 Sep 13;7(1):11486. doi: 10.1038/s41598-017-11579-1.
9
Bounds of the spectral radius and the Nordhaus-Gaddum type of the graphs.图的谱半径界与诺德豪斯 - 加达姆型
ScientificWorldJournal. 2013 Jun 5;2013:472956. doi: 10.1155/2013/472956. Print 2013.
10
Digraph Energy of Directed Polygons.有向多边形的二部图能量。
Comb Chem High Throughput Screen. 2022;25(3):496-499. doi: 10.2174/1386207323666201111125732.

本文引用的文献

1
Breast cancer chemical structures and their partition resolvability.乳腺癌化学结构及其分配分辨率。
Math Biosci Eng. 2023 Jan;20(2):3838-3853. doi: 10.3934/mbe.2023180. Epub 2022 Dec 12.
2
Degree-based topological indices on anticancer drugs with QSPR analysis.基于度的拓扑指数在抗癌药物定量构效关系分析中的应用
Heliyon. 2020 Jun 23;6(6):e04235. doi: 10.1016/j.heliyon.2020.e04235. eCollection 2020 Jun.
3
The Phylum Bryozoa as a Promising Source of Anticancer Drugs.苔藓动物门是一种很有前途的抗癌药物来源。
Mar Drugs. 2019 Aug 17;17(8):477. doi: 10.3390/md17080477.
4
On the nullity of a graph with cut-points.关于具有割点的图的零度。
Linear Algebra Appl. 2012 Jan 1;436(1):135-142. doi: 10.1016/j.laa.2011.06.039.