Suppr超能文献

斯洛伐克新冠肺炎的空间自相关性

Spatial Autocorrelation of COVID-19 in Slovakia.

作者信息

Vilinová Katarína, Petrikovičová Lucia

机构信息

Department of Geography, Geoinformatics and Regional Development, Faculty of Natural Sciences and Informatics, Constantine the Philosopher University, 949 01 Nitra, Slovakia.

出版信息

Trop Med Infect Dis. 2023 May 30;8(6):298. doi: 10.3390/tropicalmed8060298.

Abstract

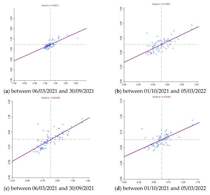
The pandemic situation of COVID-19, which affected almost the entire civilized world with its consequences, offered a unique opportunity for analysis of geographical space. In a relatively short period of time, the COVID-19 pandemic became a truly global event with consequences affecting all areas of life. Circumstances with COVID-19, which affected the territory of Slovakia and its regions, represent a sufficient premise for analysis three years after the registration of the first case in Slovakia. The study presents the results of a detailed spatiotemporal analysis of the course of registered cases of COVID-19 in six periods in Slovakia. The aim of the paper was to analyze the development of the number of people infected with the disease COVID-19 in Slovakia. At the level of the districts of Slovakia, using spatial autocorrelation, we identified spatial differences in the disease of COVID-19. Moran's global autocorrelation index and Moran's local index were used in the synthesis of knowledge. Spatial analysis of data on the number of infected in the form of spatial autocorrelation analysis was used as a practical sustainable approach to localizing statistically significant areas with high and low positivity. This manifested itself in the monitored area mainly in the form of positive spatial autocorrelation. The selection of data and methods used in this study together with the achieved and presented results can serve as a suitable tool to support decisions in further measures for the future.

摘要

新冠疫情的影响波及几乎整个文明世界,为地理空间分析提供了独特机遇。在相对较短的时间内,新冠疫情成为一场真正的全球事件,其影响涉及生活的各个领域。新冠疫情对斯洛伐克及其各地区造成了影响,在斯洛伐克首例病例登记三年后,这些情况构成了进行分析的充分前提。该研究呈现了斯洛伐克六个时期新冠确诊病例病程的详细时空分析结果。本文旨在分析斯洛伐克感染新冠病毒的人数发展情况。在斯洛伐克各地区层面,我们运用空间自相关分析,确定了新冠疫情在空间上的差异。在知识综合过程中使用了莫兰全局自相关指数和莫兰局部指数。以空间自相关分析形式对感染人数数据进行空间分析,作为一种切实可行的可持续方法,用于定位具有高阳性率和低阳性率的统计显著区域。这在监测区域主要表现为正空间自相关。本研究中数据和方法的选择以及所取得和呈现的结果,可作为支持未来进一步措施决策的合适工具。

https://cdn.ncbi.nlm.nih.gov/pmc/blobs/91dc/10303524/7f9b2edf484d/tropicalmed-08-00298-g001.jpg

文献AI研究员

20分钟写一篇综述,助力文献阅读效率提升50倍。

立即体验

用中文搜PubMed

大模型驱动的PubMed中文搜索引擎

马上搜索

文档翻译

学术文献翻译模型,支持多种主流文档格式。

立即体验