Faculty of Chemistry, University of Gdańsk, Fahrenheit Union of Universities, Wita Stwosza 63, 80-308 Gdańsk, Poland.
Department of Physics and Biophysics, University of Warmia and Mazury, ul. Oczapowskiego 4, 10-719 Olsztyn, Poland.
Biomolecules. 2023 Jun 5;13(6):941. doi: 10.3390/biom13060941.
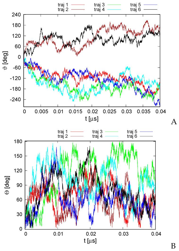
Molecular motors are essential for the movement and transportation of macromolecules in living organisms. Among them, rotatory motors are particularly efficient. In this study, we investigated the long-term dynamics of the designed left-handed alpha/alpha toroid (PDB: 4YY2), the RBM2 flagellum protein ring from (PDB: 6SD5), and the V-type Na+-ATPase rotor in (PDB: 2BL2) using microcanonical and canonical molecular dynamics simulations with the coarse-grained UNRES force field, including a lipid-membrane model, on a millisecond laboratory time scale. Our results demonstrate that rotational motion can occur with zero total angular momentum in the microcanonical regime and that thermal motions can be converted into net rotation in the canonical regime, as previously observed in simulations of smaller cyclic molecules. For 6SD5 and 2BL2, net rotation (with a ratcheting pattern) occurring only about the pivot of the respective system was observed in canonical simulations. The extent and direction of the rotation depended on the initial conditions. This result suggests that rotatory molecular motors can convert thermal oscillations into net rotational motion. The energy from ATP hydrolysis is required probably to set the direction and extent of rotation. Our findings highlight the importance of molecular-motor structures in facilitating movement and transportation within living organisms.
分子马达对于生物体内大分子的运动和运输至关重要。其中,旋转马达的效率特别高。在这项研究中,我们使用粗粒 UNRES 力场,包括脂质膜模型,在毫秒级的实验室时间尺度上,对设计的左手性α/α环toroid(PDB:4YY2)、鞭毛蛋白环(RBM2)(PDB:6SD5)和 V 型 Na+-ATP 酶转子(PDB:2BL2)进行了微正则和正则分子动力学模拟。我们的结果表明,在微正则态下可以发生总角动量为零的旋转运动,在正则态下可以将热运动转化为净旋转运动,这与以前对较小环状分子的模拟结果一致。对于 6SD5 和 2BL2,在正则模拟中仅观察到关于各自系统枢轴的净旋转(具有棘轮模式)。旋转的程度和方向取决于初始条件。这一结果表明,旋转分子马达可以将热振动转化为净旋转运动。ATP 水解产生的能量可能用于设定旋转的方向和程度。我们的发现强调了分子马达结构在促进生物体内运动和运输方面的重要性。