Suppr超能文献

甲状腺乳头状癌:基因表达和临床数据的综合生物信息学分析。

Papillary Thyroid Carcinoma: A thorough Bioinformatic Analysis of Gene Expression and Clinical Data.

机构信息

Department of Computer Science and Engineering, Universidad Nacional del Sur, Bahía Blanca 8000, Argentina.

Institute for Computer Science and Engineering (UNS-CONICET), Bahía Blanca 8000, Argentina.

出版信息

Genes (Basel). 2023 Jun 11;14(6):1250. doi: 10.3390/genes14061250.

Abstract

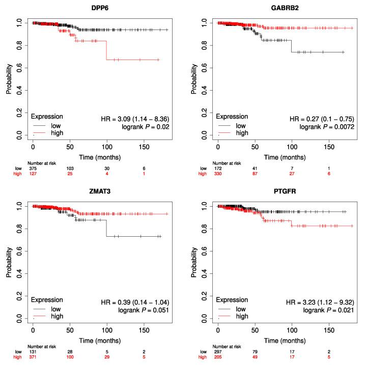
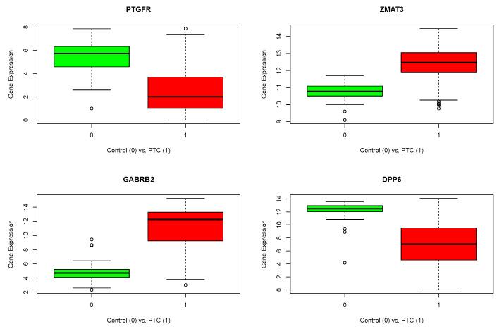
The likelihood of being diagnosed with thyroid cancer has increased in recent years; it is the fastest-expanding cancer in the United States and it has tripled in the last three decades. In particular, Papillary Thyroid Carcinoma (PTC) is the most common type of cancer affecting the thyroid. It is a slow-growing cancer and, thus, it can usually be cured. However, given the worrying increase in the diagnosis of this type of cancer, the discovery of new genetic markers for accurate treatment and prognostic is crucial. In the present study, the aim is to identify putative genes that may be specifically relevant in PTC through bioinformatic analysis of several gene expression public datasets and clinical information. Two datasets from Gene Expression Omnibus (GEO) and The Cancer Genome Atlas (TCGA) dataset were studied. Statistics and machine learning methods were sequentially employed to retrieve a final small cluster of genes of interest: , , , and . Kaplan-Meier plots were employed to assess the expression levels regarding overall survival and relapse-free survival. Furthermore, a manual bibliographic search for each gene was carried out, and a Protein-Protein Interaction (PPI) network was built to verify existing associations among them, followed by a new enrichment analysis. The results revealed that all the genes are highly relevant in the context of thyroid cancer and, more particularly interesting, and have not yet been associated with the disease up to date, thus making them worthy of further investigation as to their relationship to PTC.

摘要

近年来,甲状腺癌的诊断率有所上升;它是美国发病率增长最快的癌症,在过去三十年中增长了两倍。特别是甲状腺乳头状癌(PTC)是最常见的甲状腺癌。它是一种生长缓慢的癌症,因此通常可以治愈。然而,鉴于这种癌症的诊断令人担忧地增加,发现新的遗传标志物对于准确的治疗和预后至关重要。在本研究中,我们旨在通过对几个基因表达公共数据集和临床信息进行生物信息学分析,鉴定可能与 PTC 特别相关的假定基因。研究了来自基因表达综合数据库(GEO)和癌症基因组图谱(TCGA)数据集的两个数据集。统计和机器学习方法被依次用于检索最终的一小簇感兴趣基因: 、 、 、和 。Kaplan-Meier 图用于评估总生存和无复发生存方面的表达水平。此外,对每个基因进行了手动文献检索,并构建了蛋白质-蛋白质相互作用(PPI)网络,以验证它们之间的现有关联,随后进行了新的富集分析。结果表明,所有基因在甲状腺癌的背景下都具有高度相关性,更有趣的是, 和 迄今为止尚未与该疾病相关联,因此值得进一步研究它们与 PTC 的关系。

https://cdn.ncbi.nlm.nih.gov/pmc/blobs/8efe/10298340/dae2040c544a/genes-14-01250-g001.jpg

文献AI研究员

20分钟写一篇综述,助力文献阅读效率提升50倍。

立即体验

用中文搜PubMed

大模型驱动的PubMed中文搜索引擎

马上搜索

文档翻译

学术文献翻译模型,支持多种主流文档格式。

立即体验