• 文献检索
  • 文档翻译
  • 深度研究
  • 学术资讯
  • Suppr Zotero 插件Zotero 插件
  • 邀请有礼
  • 套餐&价格
  • 历史记录
应用&插件
Suppr Zotero 插件Zotero 插件浏览器插件Mac 客户端Windows 客户端微信小程序
定价
高级版会员购买积分包购买API积分包
服务
文献检索文档翻译深度研究API 文档MCP 服务
关于我们
关于 Suppr公司介绍联系我们用户协议隐私条款
关注我们

Suppr 超能文献

核心技术专利:CN118964589B侵权必究
粤ICP备2023148730 号-1Suppr @ 2026

文献检索

告别复杂PubMed语法,用中文像聊天一样搜索,搜遍4000万医学文献。AI智能推荐,让科研检索更轻松。

立即免费搜索

文件翻译

保留排版,准确专业,支持PDF/Word/PPT等文件格式,支持 12+语言互译。

免费翻译文档

深度研究

AI帮你快速写综述,25分钟生成高质量综述,智能提取关键信息,辅助科研写作。

立即免费体验

酸奶酸乳清腌制对猪肉和鸡肉品质参数的影响

The Effects of Yoghurt Acid Whey Marination on Quality Parameters of Pork and Chicken Meat.

作者信息

Karageorgou Agori, Paveli Anastasia, Goliomytis Michael, Theodorou Georgios, Politis Ioannis, Simitzis Panagiotis

机构信息

Laboratory of Animal Breeding and Husbandry, Department of Animal Science, Agricultural University of Athens, 75 Iera Odos, 11855 Athens, Greece.

出版信息

Foods. 2023 Jun 13;12(12):2360. doi: 10.3390/foods12122360.

DOI:10.3390/foods12122360
PMID:37372571
原文链接:https://pmc.ncbi.nlm.nih.gov/articles/PMC10297723/
Abstract

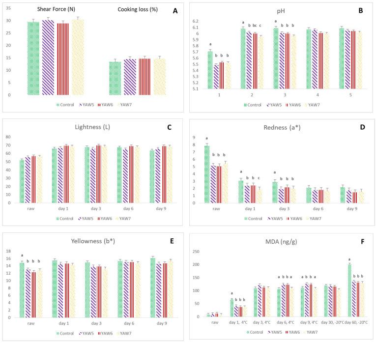
Large amounts of yoghurt acid whey (YAW) are annually generated as a result of Greek-style yoghurt production, which poses a great hazard to the environment. In terms of sustainability, YAW application in the meat industry appears as a great alternative since meat marination with natural solutions is a practice that continuously gains ground due to its positive effects on meat sensory attributes. The aim of the present study was to determine the quality characteristics and oxidative status of pork and chicken meat after their marination in yoghurt acid whey. Forty samples per meat type were randomly assigned into five groups: CON, without YAW marination; YAW1 and YAW3, in which meat was marinated at 4 °C and a pH of 4.5 for 15 and 10 h, respectively; or YAW2 and YAW4, in which meat was handled as in the YAW1 and YAW3 group, respectively, while hesperidin at 2 g/L was also incorporated into the marinade. As shown, meat shear force values were decreased in pork but not in chicken meat samples. Meat pH values were also generally decreased, while lightness was increased in raw but not in cooked meat samples as an effect of marination. Moreover, meat oxidative stability was improved to a greater extent in chicken than in pork meat. In order to find the ideal marination period for pork meat, we further immersed it into YAW for 5 h. However, this treatment affected neither meat tenderness and the other quality properties nor meat oxidation rates. In general, hesperidin addition did not have an additional or side effect on the quality traits of pork and chicken meat. As it can be concluded, pork meat marination in YAW for 10-15 h improves tenderness, but 5 h of marination does not. On the other hand, the tenderness of chicken meat was not affected, but its oxidative stability was greatly improved after remaining in the YAW marinade for 10-15 h.

摘要

希腊式酸奶生产每年会产生大量的酸奶酸性乳清(YAW),这对环境造成了极大危害。从可持续性角度来看,YAW在肉类行业的应用似乎是一个很好的选择,因为用天然溶液腌制肉类这种做法因其对肉的感官特性有积极影响而不断得到推广。本研究的目的是确定猪肉和鸡肉在酸奶酸性乳清中腌制后的品质特性和氧化状态。每种肉类随机选取40个样本,分为五组:CON组,不进行YAW腌制;YAW1组和YAW3组,肉分别在4℃、pH值为4.5的条件下腌制15小时和10小时;YAW2组和YAW4组,处理方式分别与YAW1组和YAW3组相同,但腌制剂中还添加了2 g/L的橙皮苷。结果表明,猪肉样本的剪切力值降低,而鸡肉样本未降低。腌制后,生肉的pH值总体下降,亮度增加,熟肉则不然。此外,鸡肉的氧化稳定性比猪肉得到了更大程度的改善。为了找到猪肉的理想腌制时间,我们将其进一步浸入YAW中5小时。然而,这种处理既未影响肉的嫩度和其他品质特性,也未影响肉的氧化速率。总体而言,添加橙皮苷对猪肉和鸡肉的品质特性没有额外或副作用。可以得出结论,猪肉在YAW中腌制10 - 15小时可改善嫩度,但腌制五小时则无此效果。另一方面,鸡肉的嫩度未受影响,但在YAW腌制剂中放置10 - 15小时后,其氧化稳定性得到了极大改善。

https://cdn.ncbi.nlm.nih.gov/pmc/blobs/2488/10297723/164c666538d9/foods-12-02360-g003.jpg
https://cdn.ncbi.nlm.nih.gov/pmc/blobs/2488/10297723/c8e98e61e41a/foods-12-02360-g001.jpg
https://cdn.ncbi.nlm.nih.gov/pmc/blobs/2488/10297723/85811846431e/foods-12-02360-g002.jpg
https://cdn.ncbi.nlm.nih.gov/pmc/blobs/2488/10297723/164c666538d9/foods-12-02360-g003.jpg
https://cdn.ncbi.nlm.nih.gov/pmc/blobs/2488/10297723/c8e98e61e41a/foods-12-02360-g001.jpg
https://cdn.ncbi.nlm.nih.gov/pmc/blobs/2488/10297723/85811846431e/foods-12-02360-g002.jpg
https://cdn.ncbi.nlm.nih.gov/pmc/blobs/2488/10297723/164c666538d9/foods-12-02360-g003.jpg

相似文献

1
The Effects of Yoghurt Acid Whey Marination on Quality Parameters of Pork and Chicken Meat.酸奶酸乳清腌制对猪肉和鸡肉品质参数的影响
Foods. 2023 Jun 13;12(12):2360. doi: 10.3390/foods12122360.
2
A Note on the Effects of Yoghurt Acid Whey Marination on the Tenderness and Oxidative Stability of Different Meat Types.关于酸奶酸性乳清腌制对不同肉类嫩度和氧化稳定性影响的说明
Foods. 2021 Oct 23;10(11):2557. doi: 10.3390/foods10112557.
3
Effect of postmortem aging on marination performance of broiler breast pectoralis major categorized by color lightness.宰后成熟对按亮度分类的肉鸡胸大肌腌制性能的影响。
Poult Sci. 2014 Dec;93(12):3123-9. doi: 10.3382/ps.2013-03650. Epub 2014 Sep 26.
4
Marination with aronia, grape and hawthorn vinegars affects the technological, textural, microstructural and sensory properties of spent chicken meat.用接骨木、葡萄和山楂醋腌制会影响废弃鸡肉的工艺、质地、微观结构和感官特性。
Br Poult Sci. 2023 Jun;64(3):357-363. doi: 10.1080/00071668.2022.2163616. Epub 2023 Feb 24.
5
Influence of non-phosphate and low-sodium salt marination in combination with tumbling process on properties of chicken breast meat affected by white striping abnormality.非磷酸盐和低盐腌制结合滚揉工艺对白条鸡胸肉白条纹异常的影响。
J Food Sci. 2021 Feb;86(2):319-326. doi: 10.1111/1750-3841.15565. Epub 2021 Jan 12.
6
Evaluation of low-temperature ultrasonic marination of pork meat at various frequencies on physicochemical properties, myoglobin levels, and volatile compounds.评价不同频率低温超声浸渍猪肉对其理化特性、肌红蛋白含量和挥发性化合物的影响。
Meat Sci. 2024 Nov;217:109606. doi: 10.1016/j.meatsci.2024.109606. Epub 2024 Jul 16.
7
Effects of raw broiler breast meat color variation on marination and cooked meat quality.生鸡胸肉颜色变化对腌制和熟肉品质的影响。
Poult Sci. 2002 Feb;81(2):276-80. doi: 10.1093/ps/81.2.276.
8
The use of thyme and orange essential oils blend to improve quality traits of marinated chicken meat.使用百里香和甜橙精油混合来改善腌制鸡肉的品质特性。
Poult Sci. 2014 Aug;93(8):2096-102. doi: 10.3382/ps.2013-03601. Epub 2014 Jun 5.
9
Effect of pre- and post-marination aging on meat quality attributes of early deboned (2 h postmortem) broiler breast fillets.宰前和宰后腌制陈化对早期去骨(宰后2小时)鸡胸肉品质特性的影响。
Poult Sci. 2016 Nov 1;95(11):2690-2695. doi: 10.3382/ps/pew208. Epub 2016 Jul 7.
10
Marination pressure and phosphate effects on broiler breast fillet yield, tenderness, and color.腌制压力和磷酸盐对鸡胸肉产量、嫩度及色泽的影响。
Poult Sci. 2007 Dec;86(12):2666-70. doi: 10.3382/ps.2007-00144.

引用本文的文献

1
Marination of Beef With Unripe Grape (Koruk) Products at Different Holding Times: Quality Assessment.不同腌制时间下用未成熟葡萄(科鲁克)制品腌制牛肉:质量评估
Food Sci Nutr. 2025 Jun 13;13(6):e70428. doi: 10.1002/fsn3.70428. eCollection 2025 Jun.
2
Effect of Marinating on Selected Quality Characteristics of Pork Tenderloin Cooked by Sous Vide Method.腌制对采用低温长时间烹饪法烹制的猪里脊肉某些品质特性的影响。
Foods. 2025 May 30;14(11):1958. doi: 10.3390/foods14111958.
3
Transcriptomic and metabolomic-based revelation of the effect of fresh corn extract on meat quality of Jingyuan chicken.

本文引用的文献

1
Effects of Marinades Prepared from Food Industry By-Products on Quality and Biosafety Parameters of Lamb Meat.利用食品工业副产品制备的腌制剂对羊肉品质和生物安全参数的影响
Foods. 2023 Mar 24;12(7):1391. doi: 10.3390/foods12071391.
2
A Note on the Effects of Yoghurt Acid Whey Marination on the Tenderness and Oxidative Stability of Different Meat Types.关于酸奶酸性乳清腌制对不同肉类嫩度和氧化稳定性影响的说明
Foods. 2021 Oct 23;10(11):2557. doi: 10.3390/foods10112557.
3
Technological and Sensory Quality and Microbiological Safety of RIR Chicken Breast Meat Marinated with Fermented Milk Products.
基于转录组学和代谢组学揭示新鲜玉米提取物对静原鸡肉品质的影响
Poult Sci. 2025 Feb;104(2):104814. doi: 10.1016/j.psj.2025.104814. Epub 2025 Jan 14.
4
Incorporation of Yogurt Acid Whey in Low-Lactose Yogurt Ice Cream.酸奶酸乳清在低乳糖酸奶冰淇淋中的应用
Foods. 2023 Oct 21;12(20):3860. doi: 10.3390/foods12203860.
5
Dietary Inclusion Level Effects of Yoghurt Acid Whey Powder on Performance, Digestibility of Nutrients and Meat Quality of Broilers.酸奶酸乳清粉日粮添加水平对肉鸡生产性能、养分消化率及肉品质的影响
Animals (Basel). 2023 Oct 4;13(19):3096. doi: 10.3390/ani13193096.
6
Marinades Based on Natural Ingredients as a Way to Improve the Quality and Shelf Life of Meat: A Review.基于天然成分的腌制剂作为改善肉类品质和保质期的方法:综述
Foods. 2023 Oct 1;12(19):3638. doi: 10.3390/foods12193638.
用发酵乳制品腌制的罗斯岛红鸡鸡胸肉的技术和感官品质以及微生物安全性
Animals (Basel). 2021 Nov 16;11(11):3282. doi: 10.3390/ani11113282.
4
Assessment of technological characteristics and microbiological quality of marinated turkey meat with the use of dairy products and lemon juice.使用乳制品和柠檬汁对腌制火鸡肉的技术特性和微生物质量进行评估。
Anim Biosci. 2021 Dec;34(12):2003-2011. doi: 10.5713/ab.21.0120. Epub 2021 Jun 24.
5
Invited review: Acid whey trends and health benefits.邀请评论:酸乳清的趋势和健康益处。
J Dairy Sci. 2021 Feb;104(2):1262-1275. doi: 10.3168/jds.2020-19038. Epub 2020 Dec 23.
6
Quality and Safety of Marinating Breast Muscles of Hens from Organic Farming after the Laying Period with Buttermilk and Whey.产蛋期后用酪乳和乳清腌制有机养殖母鸡胸肌的质量与安全性
Animals (Basel). 2020 Dec 15;10(12):2393. doi: 10.3390/ani10122393.
7
The Effects of Processing and Preservation Technologies on Meat Quality: Sensory and Nutritional Aspects.加工与保鲜技术对肉品质的影响:感官与营养方面
Foods. 2020 Oct 7;9(10):1416. doi: 10.3390/foods9101416.
8
Valorization of cheese whey using microbial fermentations.利用微生物发酵技术对奶酪乳清进行增值利用。
Appl Microbiol Biotechnol. 2020 Apr;104(7):2749-2764. doi: 10.1007/s00253-020-10408-2. Epub 2020 Feb 3.
9
Physicochemical properties of pork loin marinated in kefir, yoghurt or buttermilk and cooked sous vide.用开菲尔、酸奶或酪乳腌制并经低温长时间烹饪的猪里脊肉的物理化学性质。
Acta Sci Pol Technol Aliment. 2019 Apr-Jun;18(2):163-171. doi: 10.17306/J.AFS.0642.
10
Short communication: Composition of coproduct streams from dairy processing: Acid whey and milk permeate.短讯:乳制品加工副产物流的组成:酸乳清和牛奶渗透物。
J Dairy Sci. 2019 May;102(5):3978-3984. doi: 10.3168/jds.2018-15951. Epub 2019 Mar 14.