• 文献检索
  • 文档翻译
  • 深度研究
  • 学术资讯
  • Suppr Zotero 插件Zotero 插件
  • 邀请有礼
  • 套餐&价格
  • 历史记录
应用&插件
Suppr Zotero 插件Zotero 插件浏览器插件Mac 客户端Windows 客户端微信小程序
定价
高级版会员购买积分包购买API积分包
服务
文献检索文档翻译深度研究API 文档MCP 服务
关于我们
关于 Suppr公司介绍联系我们用户协议隐私条款
关注我们

Suppr 超能文献

核心技术专利:CN118964589B侵权必究
粤ICP备2023148730 号-1Suppr @ 2026

文献检索

告别复杂PubMed语法,用中文像聊天一样搜索,搜遍4000万医学文献。AI智能推荐,让科研检索更轻松。

立即免费搜索

文件翻译

保留排版,准确专业,支持PDF/Word/PPT等文件格式,支持 12+语言互译。

免费翻译文档

深度研究

AI帮你快速写综述,25分钟生成高质量综述,智能提取关键信息,辅助科研写作。

立即免费体验

新型钌-环戊二烯基配合物影响结直肠癌特征,显示出高治疗潜力。

New Ruthenium-Cyclopentadienyl Complexes Affect Colorectal Cancer Hallmarks Showing High Therapeutic Potential.

作者信息

Brás Ana Rita, Fernandes Pedro, Moreira Tiago, Morales-Sanfrutos Julia, Sabidó Eduard, Antunes Alexandra M M, Valente Andreia, Preto Ana

机构信息

Centre of Molecular and Environmental Biology (CBMA), Department of Biology, University of Minho, Campus de Gualtar, 4710-057 Braga, Portugal.

Institute of Science and Innovation for Bio-Sustainability (IB-S), University of Minho, 4710-057 Braga, Portugal.

出版信息

Pharmaceutics. 2023 Jun 14;15(6):1731. doi: 10.3390/pharmaceutics15061731.

DOI:10.3390/pharmaceutics15061731
PMID:37376178
原文链接:https://pmc.ncbi.nlm.nih.gov/articles/PMC10302444/
Abstract

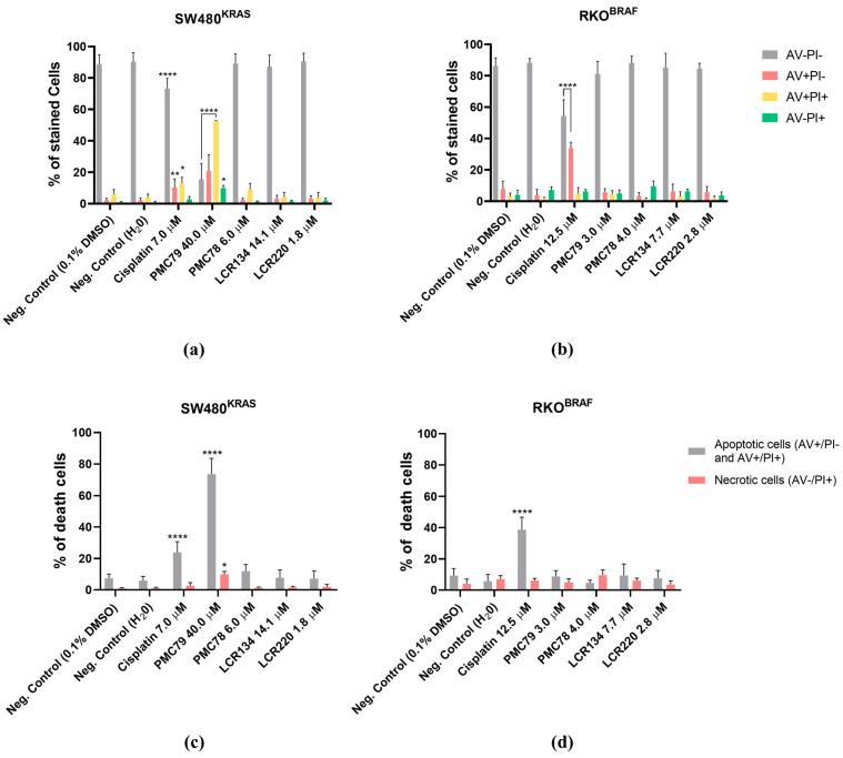
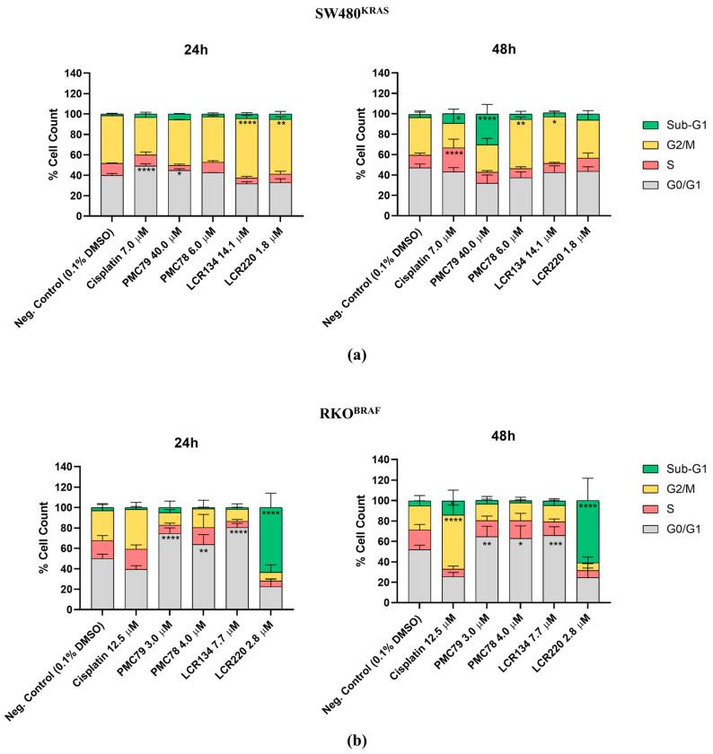
Colorectal cancer (CRC) is among the most deadly cancers worldwide. Current therapeutic strategies have low success rates and several side effects. This relevant clinical problem requires the discovery of new and more effective therapeutic alternatives. Ruthenium drugs have arisen as one of the most promising metallodrugs, due to their high selectivity to cancer cells. In this work we studied, for the first time, the anticancer properties and mechanisms of action of four lead Ru-cyclopentadienyl compounds, namely , , and , in two CRC-derived cell lines (SW480 and RKO). Biological assays were performed on these CRC cell lines to evaluate cellular distribution, colony formation, cell cycle, proliferation, apoptosis, and motility, as well as cytoskeleton and mitochondrial alterations. Our results show that all the compounds displayed high bioactivity and selectivity, as shown by low half-maximal inhibitory concentrations (IC) against CRC cells. We observed that all the Ru compounds have different intracellular distributions. In addition, they inhibit to a high extent the proliferation of CRC cells by decreasing clonogenic ability and inducing cell cycle arrest. , , and also induce apoptosis, increase the levels of reactive oxygen species, lead to mitochondrial dysfunction, induce actin cytoskeleton alterations, and inhibit cellular motility. A proteomic study revealed that these compounds cause modifications in several cellular proteins associated with the phenotypic alterations observed. Overall, we demonstrate that Ru compounds, especially and , display promising anticancer activity in CRC cells with a high potential to be used as new metallodrugs for CRC therapy.

摘要

结直肠癌(CRC)是全球最致命的癌症之一。目前的治疗策略成功率低且有多种副作用。这一相关临床问题需要发现新的、更有效的治疗选择。钌药物因其对癌细胞的高选择性,已成为最有前景的金属药物之一。在这项工作中,我们首次研究了四种先导钌 - 环戊二烯基化合物,即 、 、 和 ,在两种结直肠癌衍生细胞系(SW480和RKO)中的抗癌特性及作用机制。对这些结直肠癌细胞系进行了生物学检测,以评估细胞分布、集落形成、细胞周期、增殖、凋亡和迁移能力,以及细胞骨架和线粒体改变。我们的结果表明,所有化合物均表现出高生物活性和选择性,对结直肠癌细胞的半数最大抑制浓度(IC)较低即证明了这一点。我们观察到所有钌化合物具有不同的细胞内分布。此外,它们通过降低克隆形成能力和诱导细胞周期停滞,在很大程度上抑制了结直肠癌细胞的增殖。 、 和 还诱导凋亡、增加活性氧水平、导致线粒体功能障碍、诱导肌动蛋白细胞骨架改变并抑制细胞迁移。一项蛋白质组学研究表明,这些化合物会导致与所观察到的表型改变相关的几种细胞蛋白发生修饰。总体而言,我们证明钌化合物,尤其是 和 ,在结直肠癌细胞中显示出有前景的抗癌活性,具有很高的潜力可作为结直肠癌治疗的新型金属药物。

https://cdn.ncbi.nlm.nih.gov/pmc/blobs/53eb/10302444/2f968ea68805/pharmaceutics-15-01731-g017.jpg
https://cdn.ncbi.nlm.nih.gov/pmc/blobs/53eb/10302444/ba3e8a530f23/pharmaceutics-15-01731-g0A1.jpg
https://cdn.ncbi.nlm.nih.gov/pmc/blobs/53eb/10302444/8c9d4625e95f/pharmaceutics-15-01731-g0A2.jpg
https://cdn.ncbi.nlm.nih.gov/pmc/blobs/53eb/10302444/21c7af0f59a5/pharmaceutics-15-01731-g0A3.jpg
https://cdn.ncbi.nlm.nih.gov/pmc/blobs/53eb/10302444/6ca9b99d5df1/pharmaceutics-15-01731-g0A4.jpg
https://cdn.ncbi.nlm.nih.gov/pmc/blobs/53eb/10302444/2cb421d1ec1b/pharmaceutics-15-01731-g0A5.jpg
https://cdn.ncbi.nlm.nih.gov/pmc/blobs/53eb/10302444/3bc19f1690d8/pharmaceutics-15-01731-g0A6.jpg
https://cdn.ncbi.nlm.nih.gov/pmc/blobs/53eb/10302444/ab87c55bdd32/pharmaceutics-15-01731-g0A7.jpg
https://cdn.ncbi.nlm.nih.gov/pmc/blobs/53eb/10302444/2ac80165d932/pharmaceutics-15-01731-g0A8.jpg
https://cdn.ncbi.nlm.nih.gov/pmc/blobs/53eb/10302444/f3e8028a125f/pharmaceutics-15-01731-g0A9.jpg
https://cdn.ncbi.nlm.nih.gov/pmc/blobs/53eb/10302444/b681126bd5df/pharmaceutics-15-01731-g001.jpg
https://cdn.ncbi.nlm.nih.gov/pmc/blobs/53eb/10302444/c370fb7fac75/pharmaceutics-15-01731-g002.jpg
https://cdn.ncbi.nlm.nih.gov/pmc/blobs/53eb/10302444/8f0b6f173b0f/pharmaceutics-15-01731-g003.jpg
https://cdn.ncbi.nlm.nih.gov/pmc/blobs/53eb/10302444/5cea8095cc71/pharmaceutics-15-01731-g004.jpg
https://cdn.ncbi.nlm.nih.gov/pmc/blobs/53eb/10302444/7cac2b3b0934/pharmaceutics-15-01731-g005.jpg
https://cdn.ncbi.nlm.nih.gov/pmc/blobs/53eb/10302444/7cc825054779/pharmaceutics-15-01731-g006.jpg
https://cdn.ncbi.nlm.nih.gov/pmc/blobs/53eb/10302444/e3b2eea196fd/pharmaceutics-15-01731-g007.jpg
https://cdn.ncbi.nlm.nih.gov/pmc/blobs/53eb/10302444/e90e595f6549/pharmaceutics-15-01731-g008.jpg
https://cdn.ncbi.nlm.nih.gov/pmc/blobs/53eb/10302444/44fbd9ab6fe7/pharmaceutics-15-01731-g009.jpg
https://cdn.ncbi.nlm.nih.gov/pmc/blobs/53eb/10302444/be5d52b3ba2e/pharmaceutics-15-01731-g010.jpg
https://cdn.ncbi.nlm.nih.gov/pmc/blobs/53eb/10302444/83415a66e817/pharmaceutics-15-01731-g011.jpg
https://cdn.ncbi.nlm.nih.gov/pmc/blobs/53eb/10302444/957b9897c1e1/pharmaceutics-15-01731-g012.jpg
https://cdn.ncbi.nlm.nih.gov/pmc/blobs/53eb/10302444/2d9f29c48762/pharmaceutics-15-01731-g013.jpg
https://cdn.ncbi.nlm.nih.gov/pmc/blobs/53eb/10302444/8a2c50c7e956/pharmaceutics-15-01731-g014.jpg
https://cdn.ncbi.nlm.nih.gov/pmc/blobs/53eb/10302444/53745e13ba4c/pharmaceutics-15-01731-g015.jpg
https://cdn.ncbi.nlm.nih.gov/pmc/blobs/53eb/10302444/1b63b7cca078/pharmaceutics-15-01731-g016.jpg
https://cdn.ncbi.nlm.nih.gov/pmc/blobs/53eb/10302444/2f968ea68805/pharmaceutics-15-01731-g017.jpg
https://cdn.ncbi.nlm.nih.gov/pmc/blobs/53eb/10302444/ba3e8a530f23/pharmaceutics-15-01731-g0A1.jpg
https://cdn.ncbi.nlm.nih.gov/pmc/blobs/53eb/10302444/8c9d4625e95f/pharmaceutics-15-01731-g0A2.jpg
https://cdn.ncbi.nlm.nih.gov/pmc/blobs/53eb/10302444/21c7af0f59a5/pharmaceutics-15-01731-g0A3.jpg
https://cdn.ncbi.nlm.nih.gov/pmc/blobs/53eb/10302444/6ca9b99d5df1/pharmaceutics-15-01731-g0A4.jpg
https://cdn.ncbi.nlm.nih.gov/pmc/blobs/53eb/10302444/2cb421d1ec1b/pharmaceutics-15-01731-g0A5.jpg
https://cdn.ncbi.nlm.nih.gov/pmc/blobs/53eb/10302444/3bc19f1690d8/pharmaceutics-15-01731-g0A6.jpg
https://cdn.ncbi.nlm.nih.gov/pmc/blobs/53eb/10302444/ab87c55bdd32/pharmaceutics-15-01731-g0A7.jpg
https://cdn.ncbi.nlm.nih.gov/pmc/blobs/53eb/10302444/2ac80165d932/pharmaceutics-15-01731-g0A8.jpg
https://cdn.ncbi.nlm.nih.gov/pmc/blobs/53eb/10302444/f3e8028a125f/pharmaceutics-15-01731-g0A9.jpg
https://cdn.ncbi.nlm.nih.gov/pmc/blobs/53eb/10302444/b681126bd5df/pharmaceutics-15-01731-g001.jpg
https://cdn.ncbi.nlm.nih.gov/pmc/blobs/53eb/10302444/c370fb7fac75/pharmaceutics-15-01731-g002.jpg
https://cdn.ncbi.nlm.nih.gov/pmc/blobs/53eb/10302444/8f0b6f173b0f/pharmaceutics-15-01731-g003.jpg
https://cdn.ncbi.nlm.nih.gov/pmc/blobs/53eb/10302444/5cea8095cc71/pharmaceutics-15-01731-g004.jpg
https://cdn.ncbi.nlm.nih.gov/pmc/blobs/53eb/10302444/7cac2b3b0934/pharmaceutics-15-01731-g005.jpg
https://cdn.ncbi.nlm.nih.gov/pmc/blobs/53eb/10302444/7cc825054779/pharmaceutics-15-01731-g006.jpg
https://cdn.ncbi.nlm.nih.gov/pmc/blobs/53eb/10302444/e3b2eea196fd/pharmaceutics-15-01731-g007.jpg
https://cdn.ncbi.nlm.nih.gov/pmc/blobs/53eb/10302444/e90e595f6549/pharmaceutics-15-01731-g008.jpg
https://cdn.ncbi.nlm.nih.gov/pmc/blobs/53eb/10302444/44fbd9ab6fe7/pharmaceutics-15-01731-g009.jpg
https://cdn.ncbi.nlm.nih.gov/pmc/blobs/53eb/10302444/be5d52b3ba2e/pharmaceutics-15-01731-g010.jpg
https://cdn.ncbi.nlm.nih.gov/pmc/blobs/53eb/10302444/83415a66e817/pharmaceutics-15-01731-g011.jpg
https://cdn.ncbi.nlm.nih.gov/pmc/blobs/53eb/10302444/957b9897c1e1/pharmaceutics-15-01731-g012.jpg
https://cdn.ncbi.nlm.nih.gov/pmc/blobs/53eb/10302444/2d9f29c48762/pharmaceutics-15-01731-g013.jpg
https://cdn.ncbi.nlm.nih.gov/pmc/blobs/53eb/10302444/8a2c50c7e956/pharmaceutics-15-01731-g014.jpg
https://cdn.ncbi.nlm.nih.gov/pmc/blobs/53eb/10302444/53745e13ba4c/pharmaceutics-15-01731-g015.jpg
https://cdn.ncbi.nlm.nih.gov/pmc/blobs/53eb/10302444/1b63b7cca078/pharmaceutics-15-01731-g016.jpg
https://cdn.ncbi.nlm.nih.gov/pmc/blobs/53eb/10302444/2f968ea68805/pharmaceutics-15-01731-g017.jpg

相似文献

1
New Ruthenium-Cyclopentadienyl Complexes Affect Colorectal Cancer Hallmarks Showing High Therapeutic Potential.新型钌-环戊二烯基配合物影响结直肠癌特征,显示出高治疗潜力。
Pharmaceutics. 2023 Jun 14;15(6):1731. doi: 10.3390/pharmaceutics15061731.
2
Ruthenium(II)-Cyclopentadienyl-Derived Complexes as New Emerging Anti-Colorectal Cancer Drugs.钌(II)-环戊二烯基衍生物配合物作为新型抗结直肠癌药物
Pharmaceutics. 2022 Jun 17;14(6):1293. doi: 10.3390/pharmaceutics14061293.
3
Anticancer Activity and In Vitro to In Vivo Mechanistic Recapitulation of Novel Ruthenium-Based Metallodrugs in the Zebrafish Model.新型基于钌的金属药物在斑马鱼模型中的抗癌活性及体外到体内机制再现。
Toxicol Sci. 2021 Jul 16;182(1):29-43. doi: 10.1093/toxsci/kfab041.
4
Polymer "ruthenium-cyclopentadienyl" conjugates - New emerging anti-cancer drugs.聚合物“钌-环戊二烯基”缀合物 - 新兴的抗癌药物。
Eur J Med Chem. 2019 Apr 15;168:373-384. doi: 10.1016/j.ejmech.2019.02.061. Epub 2019 Feb 25.
5
Regorafenib and Ruthenium Complex Combination Inhibit Cancer Cell Growth by Targeting PI3K/AKT/ERK Signalling in Colorectal Cancer Cells.雷戈非尼和钌配合物通过靶向结直肠癌细胞中的 PI3K/AKT/ERK 信号通路抑制癌细胞生长。
Int J Mol Sci. 2022 Dec 30;24(1):686. doi: 10.3390/ijms24010686.
6
Ruthenium Complexes: An Alternative to Platinum Drugs in Colorectal Cancer Treatment.钌配合物:结直肠癌治疗中铂类药物的替代物
Pharmaceutics. 2021 Aug 19;13(8):1295. doi: 10.3390/pharmaceutics13081295.
7
Design and synthesis of new ruthenium polypyridyl complexes with potent antitumor activity in vitro.设计并合成具有体外强抗肿瘤活性的新型钌多吡啶配合物。
Spectrochim Acta A Mol Biomol Spectrosc. 2019 Sep 5;220:117132. doi: 10.1016/j.saa.2019.05.037. Epub 2019 May 15.
8
Cationic Ru Cyclopentadienyl Complexes with Antifungal Activity against Several Candida Species.具有抗几种念珠菌属物种活性的阳离子钌环戊二烯基配合物。
Chembiochem. 2020 Nov 2;21(21):3112-3119. doi: 10.1002/cbic.202000254. Epub 2020 Aug 12.
9
Synthesis, characterization and anticancer effect of the ruthenium (II) polypyridyl complexes on HepG2 cells.钌(II)多吡啶配合物的合成、表征及其对HepG2细胞的抗癌作用
J Photochem Photobiol B. 2016 Dec;165:246-255. doi: 10.1016/j.jphotobiol.2016.10.038. Epub 2016 Oct 31.
10
Lapachol in the Design of a New Ruthenium(II)-Diphosphine Complex as a Promising Anticancer Metallodrug.拉帕醇在新型钌(II)-二膦配合物设计中的应用作为一种有前途的抗癌金属药物。
J Inorg Biochem. 2021 Jan;214:111289. doi: 10.1016/j.jinorgbio.2020.111289. Epub 2020 Oct 23.

引用本文的文献

1
Cutting-Edge Advances in Anticancer Therapies: Insights from the Third Edition of the Special Issue "Novel Anticancer Strategies".抗癌疗法的前沿进展:来自特刊《新型抗癌策略》第三版的见解
Pharmaceutics. 2025 Jan 3;17(1):54. doi: 10.3390/pharmaceutics17010054.
2
Colorectal cancer: Recent advances in management and treatment.结直肠癌:管理与治疗的最新进展
World J Clin Oncol. 2024 Sep 24;15(9):1136-1156. doi: 10.5306/wjco.v15.i9.1136.
3
Fighting Multidrug Resistance with Ruthenium-Cyclopentadienyl Compounds: Unveiling the Mechanism of P-gp Inhibition.

本文引用的文献

1
Targeting Lysosomes in Colorectal Cancer: Exploring the Anticancer Activity of a New Benzo[]phenoxazine Derivative.靶向结直肠癌溶酶体:探索新型苯并[ ]吩嗪衍生物的抗癌活性。
Int J Mol Sci. 2022 Dec 29;24(1):614. doi: 10.3390/ijms24010614.
2
Biotinylated Polymer-Ruthenium Conjugates: In Vitro and In Vivo Studies in a Triple-Negative Breast Cancer Model.生物素化聚合物-钌共轭物:三阴性乳腺癌模型的体外和体内研究
Pharmaceutics. 2022 Jun 30;14(7):1388. doi: 10.3390/pharmaceutics14071388.
3
Ruthenium(II)-Cyclopentadienyl-Derived Complexes as New Emerging Anti-Colorectal Cancer Drugs.
用钌-环戊二烯化合物对抗多药耐药性:揭示 P-糖蛋白抑制的机制。
J Med Chem. 2023 Oct 26;66(20):14080-14094. doi: 10.1021/acs.jmedchem.3c01120. Epub 2023 Aug 24.
钌(II)-环戊二烯基衍生物配合物作为新型抗结直肠癌药物
Pharmaceutics. 2022 Jun 17;14(6):1293. doi: 10.3390/pharmaceutics14061293.
4
The PRIDE database resources in 2022: a hub for mass spectrometry-based proteomics evidences.PRIDE 数据库资源在 2022 年:一个基于质谱的蛋白质组学证据的中心。
Nucleic Acids Res. 2022 Jan 7;50(D1):D543-D552. doi: 10.1093/nar/gkab1038.
5
Ruthenium Complexes: An Alternative to Platinum Drugs in Colorectal Cancer Treatment.钌配合物:结直肠癌治疗中铂类药物的替代物
Pharmaceutics. 2021 Aug 19;13(8):1295. doi: 10.3390/pharmaceutics13081295.
6
Anticancer Activity and In Vitro to In Vivo Mechanistic Recapitulation of Novel Ruthenium-Based Metallodrugs in the Zebrafish Model.新型基于钌的金属药物在斑马鱼模型中的抗癌活性及体外到体内机制再现。
Toxicol Sci. 2021 Jul 16;182(1):29-43. doi: 10.1093/toxsci/kfab041.
7
QCloud2: An Improved Cloud-based Quality-Control System for Mass-Spectrometry-based Proteomics Laboratories.QCloud2:一种改进的基于云的质谱蛋白质组学实验室质量控制系统。
J Proteome Res. 2021 Apr 2;20(4):2010-2013. doi: 10.1021/acs.jproteome.0c00853. Epub 2021 Mar 16.
8
Global Cancer Statistics 2020: GLOBOCAN Estimates of Incidence and Mortality Worldwide for 36 Cancers in 185 Countries.《全球癌症统计数据 2020:全球 185 个国家和地区 36 种癌症的发病率和死亡率估计》。
CA Cancer J Clin. 2021 May;71(3):209-249. doi: 10.3322/caac.21660. Epub 2021 Feb 4.
9
Progress in Clinical Trials of Photodynamic Therapy for Solid Tumors and the Role of Nanomedicine.实体肿瘤光动力治疗的临床试验进展及纳米医学的作用
Cancers (Basel). 2020 Sep 29;12(10):2793. doi: 10.3390/cancers12102793.
10
A New Family of Iron(II)-Cyclopentadienyl Compounds Shows Strong Activity Against Colorectal and Triple Negative Breast Cancer Cells.一种新型的二价铁-环戊二烯基化合物对结直肠和三阴性乳腺癌细胞具有很强的活性。
Molecules. 2020 Mar 30;25(7):1592. doi: 10.3390/molecules25071592.