Suppr超能文献

测试不同分子工具在寄生虫保护遗传学中的功效:以马毛蠕虫(线虫动物门)为例。

Testing the efficacy of different molecular tools for parasite conservation genetics: a case study using horsehair worms (Phylum: Nematomorpha).

机构信息

Department of Life Science, National Taiwan Normal University, Taipei, Taiwan.

Biodiversity Program, Taiwan International Graduate Program, Taipei, Taiwan.

出版信息

Parasitology. 2023 Aug;150(9):842-851. doi: 10.1017/S0031182023000641. Epub 2023 Jul 7.

Abstract

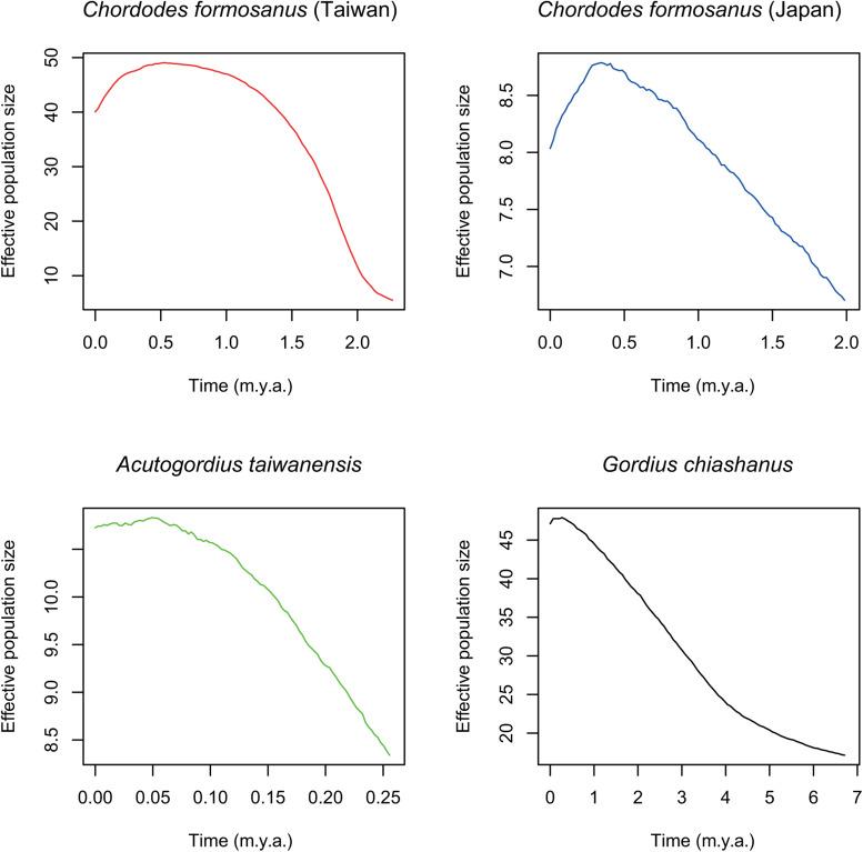
In recent years, parasite conservation has become a globally significant issue. Because of this, there is a need for standardized methods for inferring population status and possible cryptic diversity. However, given the lack of molecular data for some groups, it is challenging to establish procedures for genetic diversity estimation. Therefore, universal tools, such as double-digest restriction-site-associated DNA sequencing (ddRADseq), could be useful when conducting conservation genetic studies on rarely studied parasites. Here, we generated a ddRADseq dataset that includes all 3 described Taiwanese horsehair worms (Phylum: Nematomorpha), possibly one of the most understudied animal groups. Additionally, we produced data for a fragment of the cytochrome c oxidase subunit I (COXI) for the said species. We used the COXI dataset in combination with previously published sequences of the same locus for inferring the effective population size () trends and possible population genetic structure.We found that a larger and geographically broader sample size combined with more sequenced loci resulted in a better estimation of changes in . We were able to detect demographic changes associated with Pleistocene events in all the species. Furthermore, the ddRADseq dataset for did not reveal a genetic structure based on geography, implying a great dispersal ability, possibly due to its hosts. We showed that different molecular tools can be used to reveal genetic structure and demographic history at different historical times and geographical scales, which can help with conservation genetic studies in rarely studied parasites.

摘要

近年来,寄生虫保护已成为一个全球性的重要问题。因此,需要标准化的方法来推断种群状况和可能的隐存多样性。然而,由于某些群体缺乏分子数据,因此建立遗传多样性估计的程序具有挑战性。因此,通用工具,如双酶切限制位点相关 DNA 测序(ddRADseq),在对研究较少的寄生虫进行保护遗传学研究时可能会很有用。在这里,我们生成了一个 ddRADseq 数据集,其中包括所有 3 种描述的台湾马毛蠕虫(门:线虫动物门),这可能是研究最少的动物群体之一。此外,我们还为所述物种的细胞色素 c 氧化酶亚基 I(COXI)的一个片段生成了数据。我们使用 COXI 数据集结合同一基因座先前发表的序列来推断有效种群大小(Ne)趋势和可能的种群遗传结构。我们发现,更大和地理上更广泛的样本量与更多测序的基因座相结合,可更好地估计 Ne 的变化。我们能够检测到所有物种中与更新世事件相关的种群变化。此外,基于地理的 ddRADseq 数据集没有揭示出基于地理的遗传结构,这意味着它具有很强的扩散能力,可能与其宿主有关。我们表明,不同的分子工具可以用于揭示不同历史时期和地理尺度的遗传结构和种群历史,这有助于对研究较少的寄生虫进行保护遗传学研究。

https://cdn.ncbi.nlm.nih.gov/pmc/blobs/64cd/10478060/74471aec70ab/S0031182023000641_figAb.jpg

文献AI研究员

20分钟写一篇综述,助力文献阅读效率提升50倍。

立即体验

用中文搜PubMed

大模型驱动的PubMed中文搜索引擎

马上搜索

文档翻译

学术文献翻译模型,支持多种主流文档格式。

立即体验