• 文献检索
  • 文档翻译
  • 深度研究
  • 学术资讯
  • Suppr Zotero 插件Zotero 插件
  • 邀请有礼
  • 套餐&价格
  • 历史记录
应用&插件
Suppr Zotero 插件Zotero 插件浏览器插件Mac 客户端Windows 客户端微信小程序
定价
高级版会员购买积分包购买API积分包
服务
文献检索文档翻译深度研究API 文档MCP 服务
关于我们
关于 Suppr公司介绍联系我们用户协议隐私条款
关注我们

Suppr 超能文献

核心技术专利:CN118964589B侵权必究
粤ICP备2023148730 号-1Suppr @ 2026

文献检索

告别复杂PubMed语法,用中文像聊天一样搜索,搜遍4000万医学文献。AI智能推荐,让科研检索更轻松。

立即免费搜索

文件翻译

保留排版,准确专业,支持PDF/Word/PPT等文件格式,支持 12+语言互译。

免费翻译文档

深度研究

AI帮你快速写综述,25分钟生成高质量综述,智能提取关键信息,辅助科研写作。

立即免费体验

预测 Siewert Ⅱ型胃食管结合部腺癌患者初始诊断时肝转移可能性的列线图。

Nomogram for predicting the likelihood of liver metastases at initial diagnosis in patients with Siewert type II gastroesophageal junction adenocarcinoma.

机构信息

The First Clinical Medical College, Lanzhou University, Lanzhou, 730000, Gansu Province, China.

Qilu Hospital of Shandong University, Shandong University, Jinan, 250355, Shandong Province, China.

出版信息

Sci Rep. 2023 Jul 7;13(1):11032. doi: 10.1038/s41598-023-37318-3.

DOI:10.1038/s41598-023-37318-3
PMID:37419904
原文链接:https://pmc.ncbi.nlm.nih.gov/articles/PMC10329020/
Abstract

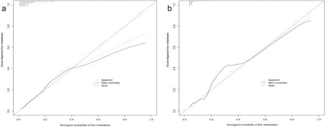
The liver is one of the most ordinary metastatic sites of gastroesophageal junction adenocarcinoma and significantly affects its prognosis. Therefore, this study tried to construct a nomogram that can be applied to predict the likelihood of liver metastases from gastroesophageal junction adenocarcinoma. 3001 eligible patients diagnosed with gastroesophageal junction adenocarcinoma between 2010 and 2015 in the Surveillance, Epidemiology, and End Results (SEER) database were involved in the analysis. Patients were randomly divided into a training cohort and an internal validation cohort using R software, with an allocation ratio of 7:3. According to the consequences of univariate and multivariate logistic regression, we constructed a nomogram for predicting the risk of liver metastases. The discrimination and calibration ability of the nomogram was appraised by the C-index, ROC curve, calibration plots, and decision curve analysis (DCA). We also used Kaplan-Meier survival curves to compare differences in overall survival in patients with gastroesophageal junction adenocarcinoma with and without liver metastases. Liver metastases developed in 281 of 3001 eligible patients. The overall survival of patients with gastroesophageal junction adenocarcinoma with liver metastases before and after propensity score matching (PSM) was obviously lower than that of patients without liver metastases. Six risk factors were finally recognized by multivariate logistic regression, and a nomogram was constructed. The C-index was 0.816 in the training cohort and 0.771 in the validation cohort, demonstrating the good predictive capacity of the nomogram. The ROC curve, calibration curve, and decision curve analysis further demonstrated the good performance of the predictive model. The nomogram can accurately predict the likelihood of liver metastases in gastroesophageal junction adenocarcinoma patients.

摘要

肝脏是胃食管交界处腺癌最常见的转移部位之一,对其预后有重要影响。因此,本研究试图构建一个列线图,以预测胃食管交界处腺癌发生肝转移的可能性。本研究共纳入了 2010 年至 2015 年 SEER 数据库中 3001 例符合条件的胃食管交界处腺癌患者。采用 R 软件将患者随机分为训练队列和内部验证队列,分配比例为 7:3。根据单因素和多因素逻辑回归的结果,我们构建了一个预测肝转移风险的列线图。通过 C 指数、ROC 曲线、校准图和决策曲线分析(DCA)评估了列线图的判别和校准能力。我们还使用 Kaplan-Meier 生存曲线比较了有和无肝转移的胃食管交界处腺癌患者的总生存率差异。在 3001 例符合条件的患者中,有 281 例发生了肝转移。在倾向评分匹配(PSM)前后,有肝转移的胃食管交界处腺癌患者的总生存率明显低于无肝转移的患者。通过多因素逻辑回归最终确定了 6 个危险因素,并构建了一个列线图。该列线图在训练队列中的 C 指数为 0.816,在验证队列中的 C 指数为 0.771,表明该列线图具有良好的预测能力。ROC 曲线、校准曲线和决策曲线分析进一步证明了预测模型的良好性能。该列线图可以准确预测胃食管交界处腺癌患者发生肝转移的可能性。

https://cdn.ncbi.nlm.nih.gov/pmc/blobs/9f02/10329020/0e05d2990f1e/41598_2023_37318_Fig6_HTML.jpg
https://cdn.ncbi.nlm.nih.gov/pmc/blobs/9f02/10329020/ae3de00d0b2c/41598_2023_37318_Fig1_HTML.jpg
https://cdn.ncbi.nlm.nih.gov/pmc/blobs/9f02/10329020/92ba2c04ab01/41598_2023_37318_Fig2_HTML.jpg
https://cdn.ncbi.nlm.nih.gov/pmc/blobs/9f02/10329020/3c4d1d3222cf/41598_2023_37318_Fig3_HTML.jpg
https://cdn.ncbi.nlm.nih.gov/pmc/blobs/9f02/10329020/dd0daed3280f/41598_2023_37318_Fig4_HTML.jpg
https://cdn.ncbi.nlm.nih.gov/pmc/blobs/9f02/10329020/5bedeedd8a6f/41598_2023_37318_Fig5_HTML.jpg
https://cdn.ncbi.nlm.nih.gov/pmc/blobs/9f02/10329020/0e05d2990f1e/41598_2023_37318_Fig6_HTML.jpg
https://cdn.ncbi.nlm.nih.gov/pmc/blobs/9f02/10329020/ae3de00d0b2c/41598_2023_37318_Fig1_HTML.jpg
https://cdn.ncbi.nlm.nih.gov/pmc/blobs/9f02/10329020/92ba2c04ab01/41598_2023_37318_Fig2_HTML.jpg
https://cdn.ncbi.nlm.nih.gov/pmc/blobs/9f02/10329020/3c4d1d3222cf/41598_2023_37318_Fig3_HTML.jpg
https://cdn.ncbi.nlm.nih.gov/pmc/blobs/9f02/10329020/dd0daed3280f/41598_2023_37318_Fig4_HTML.jpg
https://cdn.ncbi.nlm.nih.gov/pmc/blobs/9f02/10329020/5bedeedd8a6f/41598_2023_37318_Fig5_HTML.jpg
https://cdn.ncbi.nlm.nih.gov/pmc/blobs/9f02/10329020/0e05d2990f1e/41598_2023_37318_Fig6_HTML.jpg

相似文献

1
Nomogram for predicting the likelihood of liver metastases at initial diagnosis in patients with Siewert type II gastroesophageal junction adenocarcinoma.预测 Siewert Ⅱ型胃食管结合部腺癌患者初始诊断时肝转移可能性的列线图。
Sci Rep. 2023 Jul 7;13(1):11032. doi: 10.1038/s41598-023-37318-3.
2
Survival nomogram for patients with metastatic siewert type II adenocarcinoma of the esophagogastric junction: a population-based study.胃食管结合部 Siewert II 型腺癌转移患者的生存列线图:一项基于人群的研究。
Expert Rev Gastroenterol Hepatol. 2020 Aug;14(8):757-764. doi: 10.1080/17474124.2020.1784726. Epub 2020 Jun 30.
3
Development and validation of a survival nomogram for patients with Siewert type II/III adenocarcinoma of the esophagogastric junction based on real-world data.基于真实世界数据的食管胃结合部 Siewert Ⅱ/Ⅲ型腺癌患者生存列线图的建立和验证。
BMC Cancer. 2021 May 10;21(1):532. doi: 10.1186/s12885-021-08249-x.
4
Development and validation of a nomogram for Siewert II esophagogastric junction adenocarcinoma: a retrospective analysis.Siewert II型食管胃交界腺癌列线图的开发与验证:一项回顾性分析
Ther Adv Med Oncol. 2024 Feb 4;16:17588359241229425. doi: 10.1177/17588359241229425. eCollection 2024.
5
Nomograms for Predicting the Risk and Prognosis of Liver Metastases in Pancreatic Cancer: A Population-Based Analysis.预测胰腺癌肝转移风险和预后的列线图:一项基于人群的分析。
J Pers Med. 2023 Feb 24;13(3):409. doi: 10.3390/jpm13030409.
6
A Nomogram to Predict Individual Survival of Patients with Liver-Limited Metastases from Gastroenteropancreatic Neuroendocrine Neoplasms: A US Population-Based Cohort Analysis and Chinese Multicenter Cohort Validation Study.基于美国人群队列分析和中国多中心队列验证研究的胃胰神经内分泌肿瘤肝转移患者个体生存预测列线图
Neuroendocrinology. 2022;112(3):263-275. doi: 10.1159/000516812. Epub 2021 Apr 26.
7
A postsurgical prognostic nomogram for patients with lymph node positive rectosigmoid junction adenocarcinoma.直肠乙状结肠交界处淋巴结阳性腺癌患者的术后预后列线图。
BMC Gastroenterol. 2023 May 18;23(1):159. doi: 10.1186/s12876-023-02810-7.
8
Prognostic nomogram for Siewert type II adenocarcinoma of the esophagogastric junction patients with and without neoadjuvant radiotherapy: a retrospective cohort study.食管胃交界部Siewert II型腺癌患者接受和未接受新辅助放疗的预后列线图:一项回顾性队列研究
Am J Transl Res. 2022 Jan 15;14(1):135-149. eCollection 2022.
9
Establishment and validation of a prognostic nomogram for postoperative patients with gastric cardia adenocarcinoma: A study based on the Surveillance, Epidemiology, and End Results database and a Chinese cohort.基于 Surveillance, Epidemiology, and End Results 数据库和中国队列的胃贲门腺癌术后患者预后列线图的建立和验证。
Cancer Med. 2023 Jun;12(12):13111-13122. doi: 10.1002/cam4.5994. Epub 2023 May 3.
10
Development and validation of prognostic nomograms for early-onset colon cancer in different tumor locations: a population-based study.不同肿瘤部位早发性结肠癌预后列线图的建立与验证:基于人群的研究。
BMC Gastroenterol. 2023 Oct 21;23(1):362. doi: 10.1186/s12876-023-02991-1.

引用本文的文献

1
Comprehensive analysis of risk factors and nomogram development for predicting hepatic metastasis following radical resection of adenocarcinoma of the esophagogastric junction.食管胃交界腺癌根治性切除术后肝转移预测的危险因素综合分析及列线图构建
BMC Gastroenterol. 2025 May 27;25(1):409. doi: 10.1186/s12876-025-04014-7.

本文引用的文献

1
Nomograms for Predicting Disease-Free Survival in Patients With Siewert Type II/III Adenocarcinoma of the Esophagogastric Junction Receiving Neoadjuvant Therapy and Radical Surgery.用于预测接受新辅助治疗和根治性手术的食管胃交界部Siewert II/III型腺癌患者无病生存期的列线图
Front Oncol. 2022 Jun 8;12:908229. doi: 10.3389/fonc.2022.908229. eCollection 2022.
2
Age and metastasis - How age influences metastatic spread in cancer. Colorectal cancer as a model.年龄与转移——年龄如何影响癌症的转移扩散。以结直肠癌为例
Cancer Epidemiol. 2022 Apr;77:102112. doi: 10.1016/j.canep.2022.102112. Epub 2022 Jan 29.
3
Clinicopathological Characteristics and Survival Predictions for Adenocarcinoma of the Esophagogastric Junction: A SEER Population-Based Retrospective Study.
食管胃交界腺癌的临床病理特征及生存预测:一项基于监测、流行病学和最终结果(SEER)数据库的回顾性研究
Int J Gen Med. 2021 Dec 24;14:10303-10314. doi: 10.2147/IJGM.S341405. eCollection 2021.
4
Epidemiological Review of Gastroesophageal Junction Adenocarcinoma in Asian Countries.亚洲国家胃食管结合部腺癌的流行病学研究综述。
Digestion. 2022;103(1):29-36. doi: 10.1159/000519602. Epub 2021 Oct 29.
5
The probability of Lymph node metastasis with a tumor size larger than and smaller than 4 cm is different in stages T1-T3 of Siewert type II adenocarcinoma of esophagogastric junction: A Population-Based Study.胃食管交界部Siewert II型腺癌T1-T3期肿瘤大小大于和小于4 cm时的淋巴结转移概率不同:一项基于人群的研究
J Cancer. 2021 Sep 27;12(22):6873-6882. doi: 10.7150/jca.63392. eCollection 2021.
6
Development and validation of a survival nomogram for patients with Siewert type II/III adenocarcinoma of the esophagogastric junction based on real-world data.基于真实世界数据的食管胃结合部 Siewert Ⅱ/Ⅲ型腺癌患者生存列线图的建立和验证。
BMC Cancer. 2021 May 10;21(1):532. doi: 10.1186/s12885-021-08249-x.
7
Executive Summary of the American Radium Society Appropriate Use Criteria for Operable Esophageal and Gastroesophageal Junction Adenocarcinoma: Systematic Review and Guidelines.美国镭协会可手术食管癌和食管胃交界腺癌合理使用标准执行摘要:系统评价与指南
Int J Radiat Oncol Biol Phys. 2021 Jan 1;109(1):186-200. doi: 10.1016/j.ijrobp.2020.08.050. Epub 2020 Aug 25.
8
Survival nomogram for patients with metastatic siewert type II adenocarcinoma of the esophagogastric junction: a population-based study.胃食管结合部 Siewert II 型腺癌转移患者的生存列线图:一项基于人群的研究。
Expert Rev Gastroenterol Hepatol. 2020 Aug;14(8):757-764. doi: 10.1080/17474124.2020.1784726. Epub 2020 Jun 30.
9
Sites of distant metastases and the cancer-specific survival of metastatic Siewert type II esophagogastric junction adenocarcinoma: a population-based study.远处转移部位与 Siewert Ⅱ型食管胃结合部腺癌患者的肿瘤特异性生存:一项基于人群的研究。
Expert Rev Gastroenterol Hepatol. 2020 Jun;14(6):491-497. doi: 10.1080/17474124.2020.1760839. Epub 2020 Apr 29.
10
Proximal Gastrectomy versus Total Gastrectomy for Siewert Type II Adenocarcinoma of the Esophagogastric Junction: A Comprehensive Analysis of Data from the SEER Registry.近端胃切除术与全胃切除术治疗食管胃结合部 Siewert II 型腺癌:来自 SEER 登记处的数据综合分析。
Dis Markers. 2019 Dec 31;2019:9637972. doi: 10.1155/2019/9637972. eCollection 2019.