• 文献检索
  • 文档翻译
  • 深度研究
  • 学术资讯
  • Suppr Zotero 插件Zotero 插件
  • 邀请有礼
  • 套餐&价格
  • 历史记录
应用&插件
Suppr Zotero 插件Zotero 插件浏览器插件Mac 客户端Windows 客户端微信小程序
定价
高级版会员购买积分包购买API积分包
服务
文献检索文档翻译深度研究API 文档MCP 服务
关于我们
关于 Suppr公司介绍联系我们用户协议隐私条款
关注我们

Suppr 超能文献

核心技术专利:CN118964589B侵权必究
粤ICP备2023148730 号-1Suppr @ 2026

文献检索

告别复杂PubMed语法,用中文像聊天一样搜索,搜遍4000万医学文献。AI智能推荐,让科研检索更轻松。

立即免费搜索

文件翻译

保留排版,准确专业,支持PDF/Word/PPT等文件格式,支持 12+语言互译。

免费翻译文档

深度研究

AI帮你快速写综述,25分钟生成高质量综述,智能提取关键信息,辅助科研写作。

立即免费体验

氯原子或氧原子取代不饱和(乙烯型)碳正离子中的 H 原子。

Substitution of H Atoms in Unsaturated (Vinyl-Type) Carbocations by Cl or O Atoms.

机构信息

N.N. Vorozhtsov Institute of Organic Chemistry, Siberian Branch of Russian Academy of Sciences, 630090 Novosibirsk, Russia.

出版信息

Int J Mol Sci. 2023 Jun 27;24(13):10734. doi: 10.3390/ijms241310734.

DOI:10.3390/ijms241310734
PMID:37445912
原文链接:https://pmc.ncbi.nlm.nih.gov/articles/PMC10341854/
Abstract

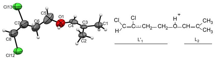
Introduction of Cl and O atoms into C-vinyl carbocations was studied by X-ray diffraction analysis and IR spectroscopy. Chlorine atoms are weak electron acceptors in ordinary molecules but, within vinyl carbocations, manifest themselves as strong electron donors that accept a positive charge. The attachment of a Cl atom directly to a C=C bond leads to an increase in the e-density on it, exceeding that of the common double bond. The positive charge should be concentrated on the Cl atom, and weak δ may appear on the C=C bond. More distant attachment of the Cl atom, e.g., to a C atom adjacent to the C=C bond, has a weaker effect on it. If two Cl atoms are attached to the C atom of the vinyl cation, as in ClCCHCHCH, then the cation switches to the allyl type with two practically equivalent and almost uncharged CCC bonds. When such a strong nucleophile as the O atom is introduced into the carbocation, a protonated ester molecule with a C-O(H)-C group and a C=C bond forms. Nonetheless, in the future, there is still a possibility of obtaining carbocations with a non-protonated C-O-C group.

摘要

通过 X 射线衍射分析和红外光谱研究了 Cl 和 O 原子在 C-乙烯碳正离子中的引入。氯原子在普通分子中是弱电子受体,但在乙烯碳正离子中,它们表现为强电子供体,接受正电荷。Cl 原子直接连接到 C=C 键上会导致其上的 e 密度增加,超过普通双键的密度。正电荷应集中在 Cl 原子上,而 C=C 键上可能出现弱的 δ。Cl 原子的更远距离的连接,例如,连接到 C=C 键相邻的 C 原子,对其影响较弱。如果两个 Cl 原子连接到乙烯阳离子的 C 原子上,如 ClCCHCHCH,则阳离子会转变为具有两个几乎等效且几乎不带电荷的 CCC 键的烯丙型阳离子。当像 O 原子这样的强亲核试剂引入到碳正离子中时,会形成带有 C-O(H)-C 基团和 C=C 键的质子化酯分子。尽管如此,将来仍有可能获得带有非质子化 C-O-C 基团的碳正离子。

https://cdn.ncbi.nlm.nih.gov/pmc/blobs/f4a2/10341854/32090d4c0399/ijms-24-10734-sch004.jpg
https://cdn.ncbi.nlm.nih.gov/pmc/blobs/f4a2/10341854/e3a6994f42bf/ijms-24-10734-g001.jpg
https://cdn.ncbi.nlm.nih.gov/pmc/blobs/f4a2/10341854/ab91a7bde7f3/ijms-24-10734-g002.jpg
https://cdn.ncbi.nlm.nih.gov/pmc/blobs/f4a2/10341854/113df3fff653/ijms-24-10734-g003.jpg
https://cdn.ncbi.nlm.nih.gov/pmc/blobs/f4a2/10341854/f60d73e436ab/ijms-24-10734-g004.jpg
https://cdn.ncbi.nlm.nih.gov/pmc/blobs/f4a2/10341854/e59d89ae71d6/ijms-24-10734-sch001.jpg
https://cdn.ncbi.nlm.nih.gov/pmc/blobs/f4a2/10341854/c8b006d99356/ijms-24-10734-sch002.jpg
https://cdn.ncbi.nlm.nih.gov/pmc/blobs/f4a2/10341854/dba6e38ed203/ijms-24-10734-sch003.jpg
https://cdn.ncbi.nlm.nih.gov/pmc/blobs/f4a2/10341854/2ec90b97a80f/ijms-24-10734-g005.jpg
https://cdn.ncbi.nlm.nih.gov/pmc/blobs/f4a2/10341854/32090d4c0399/ijms-24-10734-sch004.jpg
https://cdn.ncbi.nlm.nih.gov/pmc/blobs/f4a2/10341854/e3a6994f42bf/ijms-24-10734-g001.jpg
https://cdn.ncbi.nlm.nih.gov/pmc/blobs/f4a2/10341854/ab91a7bde7f3/ijms-24-10734-g002.jpg
https://cdn.ncbi.nlm.nih.gov/pmc/blobs/f4a2/10341854/113df3fff653/ijms-24-10734-g003.jpg
https://cdn.ncbi.nlm.nih.gov/pmc/blobs/f4a2/10341854/f60d73e436ab/ijms-24-10734-g004.jpg
https://cdn.ncbi.nlm.nih.gov/pmc/blobs/f4a2/10341854/e59d89ae71d6/ijms-24-10734-sch001.jpg
https://cdn.ncbi.nlm.nih.gov/pmc/blobs/f4a2/10341854/c8b006d99356/ijms-24-10734-sch002.jpg
https://cdn.ncbi.nlm.nih.gov/pmc/blobs/f4a2/10341854/dba6e38ed203/ijms-24-10734-sch003.jpg
https://cdn.ncbi.nlm.nih.gov/pmc/blobs/f4a2/10341854/2ec90b97a80f/ijms-24-10734-g005.jpg
https://cdn.ncbi.nlm.nih.gov/pmc/blobs/f4a2/10341854/32090d4c0399/ijms-24-10734-sch004.jpg

相似文献

1
Substitution of H Atoms in Unsaturated (Vinyl-Type) Carbocations by Cl or O Atoms.氯原子或氧原子取代不饱和(乙烯型)碳正离子中的 H 原子。
Int J Mol Sci. 2023 Jun 27;24(13):10734. doi: 10.3390/ijms241310734.
2
A new type of C⋯H(C=) bond in adducts of vinyl carbocations with alkenes.乙烯基碳正离子与烯烃加合物中一种新型的C⋯H(C=)键。
Sci Rep. 2024 Apr 10;14(1):8423. doi: 10.1038/s41598-024-58109-4.
3
Interaction of Vinyl-Type Carbocations, CH and CH with Molecules of Water, Alcohols, and Acetone.乙烯型碳正离子、CH 和 CH 与水分子、醇和丙酮的相互作用。
Molecules. 2023 Jan 23;28(3):1146. doi: 10.3390/molecules28031146.
4
IR-Spectroscopic and X-ray-Structural Study of Vinyl-Type Carbocations in Their Carborane Salts.碳硼烷盐中乙烯基型碳正离子的红外光谱和X射线结构研究。
ACS Omega. 2022 Jul 29;7(31):27560-27572. doi: 10.1021/acsomega.2c03025. eCollection 2022 Aug 9.
5
The Chloronium Cation [(CH)Cl] and Unsaturated C-Carbocations with C=C and C≡C Bonds in Their Solid Salts and in Solutions: An H/C NMR and Infrared Spectroscopic Study.氯翁阳离子 [(CH)Cl]+ 和不饱和 C-C 碳正离子在其固态盐和溶液中的 C=C 和 C≡C 键:H/C NMR 和红外光谱研究。
Int J Mol Sci. 2022 Aug 14;23(16):9111. doi: 10.3390/ijms23169111.
6
Spontaneous Transition of Alkyl Carbocations to Unsaturated Vinyl-Type Carbocations in Organic Solutions.烷基碳正离子在有机溶液中向不饱和乙烯型碳正离子的自发转变。
Int J Mol Sci. 2023 Jan 16;24(2):1802. doi: 10.3390/ijms24021802.
7
The Cl-initiated oxidation of CH(3)C(O)OCH=CH (2), CH (3)C(O)OCH (2)CH=CH (2), and CH (2)=CHC(O)O(CH (2)) (3)CH (3) in the troposphere.对流层中氯引发的CH(3)C(O)OCH=CH (2)、CH (3)C(O)OCH (2)CH=CH (2)和CH (2)=CHC(O)O(CH (2)) (3)CH (3)的氧化反应
Environ Sci Pollut Res Int. 2009 Sep;16(6):641-8. doi: 10.1007/s11356-008-0096-y. Epub 2009 Jan 9.
8
Unsaturated Vinyl-Type Carbocation [(CH)C=CH] in Its Carborane Salts.其碳硼烷盐中的不饱和乙烯基型碳正离子[(CH)C=CH]
ACS Omega. 2021 Jun 10;6(24):15834-15843. doi: 10.1021/acsomega.1c01297. eCollection 2021 Jun 22.
9
Packing and polytypism in 1,10-phenanthrolin-1-ium (2-carboxyethyl)(2-carboxylatoethyl)dichlorostannate(IV).1,10 - 菲啰啉 - 1 - 鎓(2 - 羧乙基)(2 - 羧基乙基)二氯锡酸(IV)中的堆积与多型性
Acta Crystallogr B. 2006 Apr;62(Pt 2):255-61. doi: 10.1107/S0108768106002461. Epub 2006 Mar 15.
10
Selective Reactivity of the Phosphorus-Chlorine and Carbon-Chlorine Bonds in Cyclic Chlorocarbaphosphazenes: An Unusual Activation of a Carbon-Nitrogen Bond in Trialkylamines.环状氯代碳磷腈中磷氯键和碳氯键的选择性反应活性:三烷基胺中碳氮键的异常活化
Inorg Chem. 1997 Jun 18;36(13):2730-2745. doi: 10.1021/ic9612921.

引用本文的文献

1
A new type of C⋯H(C=) bond in adducts of vinyl carbocations with alkenes.乙烯基碳正离子与烯烃加合物中一种新型的C⋯H(C=)键。
Sci Rep. 2024 Apr 10;14(1):8423. doi: 10.1038/s41598-024-58109-4.

本文引用的文献

1
Interaction of Vinyl-Type Carbocations, CH and CH with Molecules of Water, Alcohols, and Acetone.乙烯型碳正离子、CH 和 CH 与水分子、醇和丙酮的相互作用。
Molecules. 2023 Jan 23;28(3):1146. doi: 10.3390/molecules28031146.
2
The Chloronium Cation [(CH)Cl] and Unsaturated C-Carbocations with C=C and C≡C Bonds in Their Solid Salts and in Solutions: An H/C NMR and Infrared Spectroscopic Study.氯翁阳离子 [(CH)Cl]+ 和不饱和 C-C 碳正离子在其固态盐和溶液中的 C=C 和 C≡C 键:H/C NMR 和红外光谱研究。
Int J Mol Sci. 2022 Aug 14;23(16):9111. doi: 10.3390/ijms23169111.
3
IR-Spectroscopic and X-ray-Structural Study of Vinyl-Type Carbocations in Their Carborane Salts.
碳硼烷盐中乙烯基型碳正离子的红外光谱和X射线结构研究。
ACS Omega. 2022 Jul 29;7(31):27560-27572. doi: 10.1021/acsomega.2c03025. eCollection 2022 Aug 9.
4
Isomers of the Allyl Carbocation CH in Solid Salts: Infrared Spectra and Structures.固体盐中烯丙基碳正离子CH的异构体:红外光谱与结构
ACS Omega. 2021 Sep 8;6(37):23691-23699. doi: 10.1021/acsomega.1c01316. eCollection 2021 Sep 21.
5
Unsaturated Vinyl-Type Carbocation [(CH)C=CH] in Its Carborane Salts.其碳硼烷盐中的不饱和乙烯基型碳正离子[(CH)C=CH]
ACS Omega. 2021 Jun 10;6(24):15834-15843. doi: 10.1021/acsomega.1c01297. eCollection 2021 Jun 22.
6
Are Vinyl Cations Finally Coming of Age?乙烯基阳离子终于成熟了吗?
Angew Chem Int Ed Engl. 2018 Dec 21;57(52):16942-16944. doi: 10.1002/anie.201810701. Epub 2018 Nov 25.
7
Why Are Vinyl Cations Sluggish Electrophiles?为什么乙烯阳离子是缓慢的亲电试剂?
J Am Chem Soc. 2017 Feb 1;139(4):1499-1511. doi: 10.1021/jacs.6b10889. Epub 2017 Jan 20.
8
The salts of chloronium ions R-Cl(+)-R (R = CH3 or CH2Cl): formation, thermal stability, and interaction with chloromethanes.氯鎓离子R-Cl(+)-R(R = CH3或CH2Cl)的盐:形成、热稳定性及其与氯甲烷的相互作用。
Phys Chem Chem Phys. 2016 May 14;18(18):12896-904. doi: 10.1039/c6cp00946h. Epub 2016 Apr 22.
9
Crystal structure refinement with SHELXL.使用SHELXL进行晶体结构精修。
Acta Crystallogr C Struct Chem. 2015 Jan;71(Pt 1):3-8. doi: 10.1107/S2053229614024218. Epub 2015 Jan 1.
10
Trisilyl-substituted vinyl cations.三硅烷基取代的乙烯基阳离子。
Chemistry. 2009 Aug 24;15(34):8414-8423. doi: 10.1002/chem.200900795.