Suppr超能文献

电池供电的物联网 (IoT) 设备的能量耗尽过程和电池耗尽攻击建模。

Modelling of the Energy Depletion Process and Battery Depletion Attacks for Battery-Powered Internet of Things (IoT) Devices.

机构信息

Institute of Theoretical and Applied Informatics, Polish Academy of Sciences, Bałtycka 5, 44-100 Gliwice, Poland.

Department of Computer Graphics, Vision and Digital System, Faculty of Automatic Control, Electronics and Computer Science, Silesian University of Technology, Akademicka 16, 44-100 Gliwice, Poland.

出版信息

Sensors (Basel). 2023 Jul 6;23(13):6183. doi: 10.3390/s23136183.

Abstract

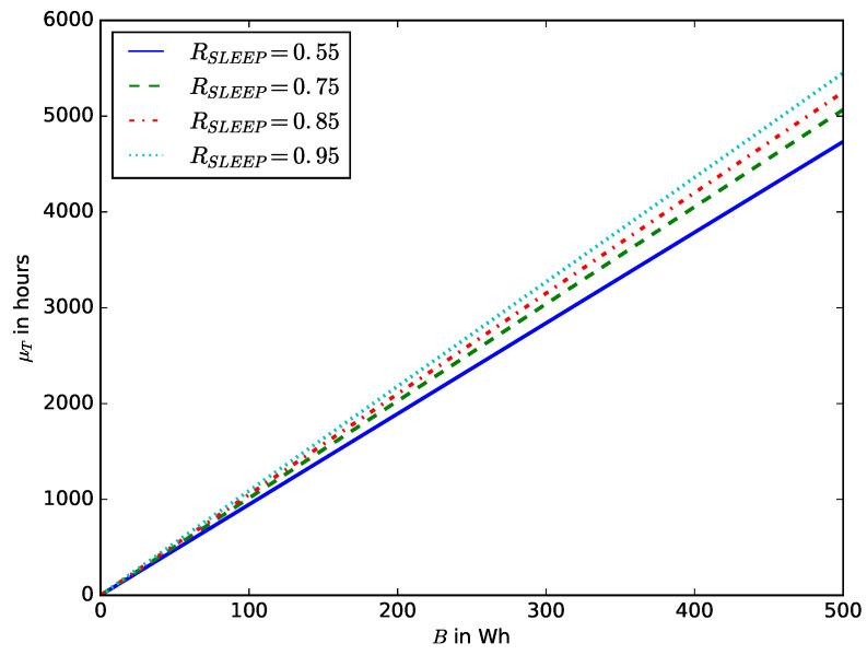
The Internet of Things (IoT) is transforming almost every industry, including agriculture, food processing, health care, oil and gas, environmental protection, transportation and logistics, manufacturing, home automation, and safety. Cost-effective, small-sized batteries are often used to power IoT devices being deployed with limited energy capacity. The limited energy capacity of IoT devices makes them vulnerable to battery depletion attacks designed to exhaust the energy stored in the battery rapidly and eventually shut down the device. In designing and deploying IoT devices, the battery and device specifications should be chosen in such a way as to ensure a long lifetime of the device. This paper proposes diffusion approximation as a mathematical framework for modelling the energy depletion process in IoT batteries. We applied diffusion or Brownian motion processes to model the energy depletion of a battery of an IoT device. We used this model to obtain the probability density function, mean, variance, and probability of the lifetime of an IoT device. Furthermore, we studied the influence of active power consumption, sleep time, and battery capacity on the probability density function, mean, and probability of the lifetime of an IoT device. We modelled ghost energy depletion attacks and their impact on the lifetime of IoT devices. We used numerical examples to study the influence of battery depletion attacks on the distribution of the lifetime of an IoT device. We also introduced an energy threshold after which the device's battery should be replaced in order to ensure that the battery is not completely drained before it is replaced.

摘要

物联网(IoT)正在改变几乎所有行业,包括农业、食品加工、医疗保健、石油和天然气、环境保护、交通运输和物流、制造业、家庭自动化和安全。具有成本效益、体积小巧的电池通常用于为具有有限能量容量的物联网设备供电。物联网设备的有限能量容量使它们容易受到旨在快速耗尽电池中存储的能量并最终关闭设备的电池耗尽攻击。在设计和部署物联网设备时,应选择电池和设备规格,以确保设备具有较长的使用寿命。本文提出扩散逼近作为一种数学框架,用于对物联网电池的能量耗尽过程进行建模。我们应用扩散或布朗运动过程来模拟物联网设备电池的能量耗尽。我们使用该模型获得了物联网设备的寿命的概率密度函数、均值、方差和概率。此外,我们研究了有源功耗、睡眠时间和电池容量对物联网设备寿命的概率密度函数、均值和概率的影响。我们对幽灵能量耗尽攻击及其对物联网设备寿命的影响进行了建模。我们使用数值示例研究了电池耗尽攻击对物联网设备寿命分布的影响。我们还引入了一个能量阈值,超过该阈值后应更换设备电池,以确保在更换电池之前电池不会完全耗尽。

https://cdn.ncbi.nlm.nih.gov/pmc/blobs/9356/10346553/988403f18bfd/sensors-23-06183-g001.jpg

文献检索

告别复杂PubMed语法,用中文像聊天一样搜索,搜遍4000万医学文献。AI智能推荐,让科研检索更轻松。

立即免费搜索

文件翻译

保留排版,准确专业,支持PDF/Word/PPT等文件格式,支持 12+语言互译。

免费翻译文档

深度研究

AI帮你快速写综述,25分钟生成高质量综述,智能提取关键信息,辅助科研写作。

立即免费体验