• 文献检索
  • 文档翻译
  • 深度研究
  • 学术资讯
  • Suppr Zotero 插件Zotero 插件
  • 邀请有礼
  • 套餐&价格
  • 历史记录
应用&插件
Suppr Zotero 插件Zotero 插件浏览器插件Mac 客户端Windows 客户端微信小程序
定价
高级版会员购买积分包购买API积分包
服务
文献检索文档翻译深度研究API 文档MCP 服务
关于我们
关于 Suppr公司介绍联系我们用户协议隐私条款
关注我们

Suppr 超能文献

核心技术专利:CN118964589B侵权必究
粤ICP备2023148730 号-1Suppr @ 2026

文献检索

告别复杂PubMed语法,用中文像聊天一样搜索,搜遍4000万医学文献。AI智能推荐,让科研检索更轻松。

立即免费搜索

文件翻译

保留排版,准确专业,支持PDF/Word/PPT等文件格式,支持 12+语言互译。

免费翻译文档

深度研究

AI帮你快速写综述,25分钟生成高质量综述,智能提取关键信息,辅助科研写作。

立即免费体验

大西洋鲑鱼在整个卵黄囊阶段肠道和皮肤微生物群的稳定性与组成

The stability and composition of the gut and skin microbiota of Atlantic salmon throughout the yolk sac stage.

作者信息

Fiedler Alexander W, Drågen Martha K R, Lorentsen Eirik D, Vadstein Olav, Bakke Ingrid

机构信息

Department of Biotechnology and Food Science, Norwegian University of Science and Technology, Trondheim, Norway.

出版信息

Front Microbiol. 2023 Jul 6;14:1177972. doi: 10.3389/fmicb.2023.1177972. eCollection 2023.

DOI:10.3389/fmicb.2023.1177972
PMID:37485532
原文链接:https://pmc.ncbi.nlm.nih.gov/articles/PMC10358989/
Abstract

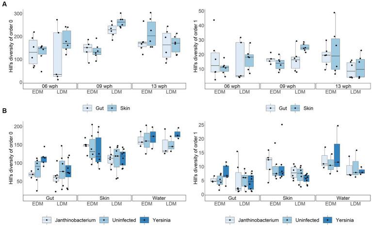
The bacterial colonization of newly hatched fish is important for the larval development and health. Still, little is known about the ontogeny of the early microbiota of fish. Here, we conducted two independent experiments with yolk sac fry of Atlantic salmon that were (1) either reared conventionally, with the eggs as the only source for bacteria (egg-derived microbiota; EDM) or (2) hatched germ-free and re-colonized using lake water (lake-derived microbiota; LDM). First, we characterized the gut and skin microbiota at 6, 9, and 13 weeks post hatching based on extracted RNA. In the second experiment, we exposed fry to high doses of either a fish pathogen or a commensal bacterial isolate and sampled the microbiota based on extracted DNA. The fish microbiota differed strongly between EDM and LDM treatments. The phyla Proteobacteria, Bacteroidetes, and Actinobacteria dominated the fry microbiota, which was found temporarily dynamic. Interestingly, the microbiota of EDM fry was more stable, both between replicate rearing flasks, and over time. Although similar, the skin and gut microbiota started to differentiate during the yolk sac stage, several weeks before the yolk was consumed. Addition of high doses of bacterial isolates to fish flasks had only minor effects on the microbiota.

摘要

新孵化鱼类的细菌定殖对幼体发育和健康很重要。然而,人们对鱼类早期微生物群的个体发育仍知之甚少。在此,我们对大西洋鲑鱼的卵黄囊仔鱼进行了两项独立实验,实验对象为:(1)传统饲养的仔鱼,以鱼卵作为细菌的唯一来源(卵源微生物群;EDM);(2)无菌孵化并用湖水重新定殖的仔鱼(湖源微生物群;LDM)。首先,我们根据提取的RNA,在孵化后6周、9周和13周对肠道和皮肤微生物群进行了表征。在第二项实验中,我们将仔鱼暴露于高剂量的鱼类病原体或共生细菌分离株中,并根据提取的DNA对微生物群进行采样。EDM和LDM处理之间的鱼类微生物群差异很大。变形菌门、拟杆菌门和放线菌门在仔鱼微生物群中占主导地位,且发现其具有暂时的动态变化。有趣的是,EDM仔鱼的微生物群在重复饲养瓶之间以及随时间推移都更加稳定。尽管皮肤和肠道微生物群相似,但在卵黄囊阶段,即在卵黄被消耗前几周,它们就开始分化。向鱼瓶中添加高剂量的细菌分离株对微生物群的影响很小。

https://cdn.ncbi.nlm.nih.gov/pmc/blobs/0122/10358989/e579a4f06c47/fmicb-14-1177972-g006.jpg
https://cdn.ncbi.nlm.nih.gov/pmc/blobs/0122/10358989/31fb020910ef/fmicb-14-1177972-g001.jpg
https://cdn.ncbi.nlm.nih.gov/pmc/blobs/0122/10358989/001468ff1130/fmicb-14-1177972-g002.jpg
https://cdn.ncbi.nlm.nih.gov/pmc/blobs/0122/10358989/161204f6006e/fmicb-14-1177972-g003.jpg
https://cdn.ncbi.nlm.nih.gov/pmc/blobs/0122/10358989/17bf32431f93/fmicb-14-1177972-g004.jpg
https://cdn.ncbi.nlm.nih.gov/pmc/blobs/0122/10358989/b42d8c8ba052/fmicb-14-1177972-g005.jpg
https://cdn.ncbi.nlm.nih.gov/pmc/blobs/0122/10358989/e579a4f06c47/fmicb-14-1177972-g006.jpg
https://cdn.ncbi.nlm.nih.gov/pmc/blobs/0122/10358989/31fb020910ef/fmicb-14-1177972-g001.jpg
https://cdn.ncbi.nlm.nih.gov/pmc/blobs/0122/10358989/001468ff1130/fmicb-14-1177972-g002.jpg
https://cdn.ncbi.nlm.nih.gov/pmc/blobs/0122/10358989/161204f6006e/fmicb-14-1177972-g003.jpg
https://cdn.ncbi.nlm.nih.gov/pmc/blobs/0122/10358989/17bf32431f93/fmicb-14-1177972-g004.jpg
https://cdn.ncbi.nlm.nih.gov/pmc/blobs/0122/10358989/b42d8c8ba052/fmicb-14-1177972-g005.jpg
https://cdn.ncbi.nlm.nih.gov/pmc/blobs/0122/10358989/e579a4f06c47/fmicb-14-1177972-g006.jpg

相似文献

1
The stability and composition of the gut and skin microbiota of Atlantic salmon throughout the yolk sac stage.大西洋鲑鱼在整个卵黄囊阶段肠道和皮肤微生物群的稳定性与组成
Front Microbiol. 2023 Jul 6;14:1177972. doi: 10.3389/fmicb.2023.1177972. eCollection 2023.
2
A novel gnotobiotic experimental system for Atlantic salmon ( L.) reveals a microbial influence on mucosal barrier function and adipose tissue accumulation during the yolk sac stage.一种新型大西洋鲑(L.)无菌实验体系揭示了在蛋黄囊期微生物对黏膜屏障功能和脂肪组织积累的影响。
Front Cell Infect Microbiol. 2023 Feb 1;12:1068302. doi: 10.3389/fcimb.2022.1068302. eCollection 2022.
3
Phage therapy minimally affects the water microbiota in an Atlantic salmon (Salmo salar) rearing system while still preventing infection.噬菌体疗法在预防感染的同时,对大西洋鲑(Salmo salar)养殖系统中的水微生物群落的影响最小。
Sci Rep. 2023 Nov 6;13(1):19145. doi: 10.1038/s41598-023-44987-7.
4
Environmental and physiological factors shape the gut microbiota of Atlantic salmon parr ( L.).环境和生理因素塑造了大西洋鲑鱼苗(L.)的肠道微生物群。
Aquaculture. 2017 Jan 20;467:149-157. doi: 10.1016/j.aquaculture.2016.07.017.
5
Light conditions during Atlantic salmon embryogenesis affect key neuropeptides in the melanocortin system during transition from endogenous to exogenous feeding.大西洋鲑鱼胚胎发育期间的光照条件会影响从内源性摄食向外源性摄食转变过程中黑素皮质素系统中的关键神经肽。
Front Behav Neurosci. 2023 Apr 21;17:1162494. doi: 10.3389/fnbeh.2023.1162494. eCollection 2023.
6
Bisphenol A induces yolk-sac oedema and other adverse effects in landlocked salmon (Salmo salar m. sebago) yolk-sac fry.双酚A在内陆鲑鱼(塞巴戈湖鲑,Salmo salar m. sebago)的卵黄囊仔鱼中会引发卵黄囊水肿及其他不良影响。
Chemosphere. 2004 Apr;55(2):187-96. doi: 10.1016/j.chemosphere.2003.10.028.
7
Treatment with thiamine hydrochloride and astaxanthine for the prevention of yolk-sac mortality in Baltic salmon fry (M74 syndrome).用盐酸硫胺素和虾青素治疗预防波罗的海鲑鱼苗的卵黄囊死亡率(M74综合征)。
Dis Aquat Organ. 1999 Sep 14;37(3):209-20. doi: 10.3354/dao037209.
8
Hemodynamic dysfunction and cytochrome P4501A mRNA expression induced by 2,3,7,8-tetrachlorodibenzo-p-dioxin during embryonic stages of lake trout development.2,3,7,8-四氯二苯并对二恶英在湖红点鲑胚胎发育阶段诱导的血流动力学功能障碍和细胞色素P4501A mRNA表达。
Toxicol Appl Pharmacol. 2000 Oct 1;168(1):1-14. doi: 10.1006/taap.2000.8999.
9
The respiratory development of Atlantic salmon. I. Morphometry of gills, yolk sac and body surface.大西洋鲑的呼吸发育。I. 鳃、卵黄囊和体表的形态测量
J Exp Biol. 1996;199(Pt 12):2725-36. doi: 10.1242/jeb.199.12.2725.
10
Baltic salmon (Salmo salar) yolk-sac fry mortality is associated with disturbances in the function of hypoxia-inducible transcription factor (HIF-1alpha) and consecutive gene expression.波罗的海鲑鱼(大西洋鲑)卵黄囊仔鱼的死亡率与缺氧诱导转录因子(HIF-1α)功能紊乱及后续基因表达有关。
Aquat Toxicol. 2004 Jul 14;68(4):301-13. doi: 10.1016/j.aquatox.2004.03.019.

引用本文的文献

1
Microbial Interactions in Rearing Systems for Marine Fish Larvae.海水鱼幼体养殖系统中的微生物相互作用
Microorganisms. 2025 Feb 27;13(3):539. doi: 10.3390/microorganisms13030539.
2
A High-Fat-Diet-Induced Microbiota Imbalance Correlates with Oxidative Stress and the Inflammatory Response in the Gut of Freshwater Drum ().高脂饮食诱导的微生物群失衡与淡水鼓肠道中的氧化应激和炎症反应相关()。
Antioxidants (Basel). 2024 Mar 18;13(3):363. doi: 10.3390/antiox13030363.

本文引用的文献

1
A novel gnotobiotic experimental system for Atlantic salmon ( L.) reveals a microbial influence on mucosal barrier function and adipose tissue accumulation during the yolk sac stage.一种新型大西洋鲑(L.)无菌实验体系揭示了在蛋黄囊期微生物对黏膜屏障功能和脂肪组织积累的影响。
Front Cell Infect Microbiol. 2023 Feb 1;12:1068302. doi: 10.3389/fcimb.2022.1068302. eCollection 2022.
2
Calf rumen microbiome from birth to weaning and shared microbial properties to the maternal rumen microbiome.犊牛瘤胃微生物组从出生到断奶,并与母体瘤胃微生物组具有共同的微生物特性。
J Anim Sci. 2022 Oct 1;100(10). doi: 10.1093/jas/skac264.
3
Rapid evolution and strain turnover in the infant gut microbiome.
婴儿肠道微生物组的快速进化和菌株更替。
Genome Res. 2022 Jun;32(6):1124-1136. doi: 10.1101/gr.276306.121. Epub 2022 May 11.
4
Interactions and Stability of Gut Microbiota in Zebrafish Increase with Host Development.肠道微生物群在斑马鱼中的相互作用和稳定性随着宿主的发育而增加。
Microbiol Spectr. 2022 Apr 27;10(2):e0169621. doi: 10.1128/spectrum.01696-21. Epub 2022 Mar 21.
5
Draft Genome Sequence of Janthinobacterium lividum ID1246, Isolated from a Rainbow Trout Hatchery Biofilm.从虹鳟鱼孵化场生物膜中分离出的青紫色杆菌ID1246的基因组序列草图
Microbiol Resour Announc. 2021 Jul 15;10(28):e0044421. doi: 10.1128/MRA.00444-21.
6
Infant gut microbiome composition is associated with non-social fear behavior in a pilot study.在一项初步研究中,婴儿肠道微生物组的组成与非社交性恐惧行为有关。
Nat Commun. 2021 Jun 2;12(1):3294. doi: 10.1038/s41467-021-23281-y.
7
Salmon gut microbiota correlates with disease infection status: potential for monitoring health in farmed animals.鲑鱼肠道微生物群与疾病感染状况相关:监测养殖动物健康状况的潜力。
Anim Microbiome. 2021 Apr 20;3(1):30. doi: 10.1186/s42523-021-00096-2.
8
Gnotobiotic rainbow trout (Oncorhynchus mykiss) model reveals endogenous bacteria that protect against Flavobacterium columnare infection.无菌虹鳟(Oncorhynchus mykiss)模型揭示了内源性细菌可以预防柱状黄杆菌感染。
PLoS Pathog. 2021 Jan 29;17(1):e1009302. doi: 10.1371/journal.ppat.1009302. eCollection 2021 Jan.
9
Influences of claywater and greenwater on the skin microbiome of cultured larval sablefish (Anoplopoma fimbria).泥水和绿水对养殖黑鲪幼鱼(Anoplopoma fimbria)皮肤微生物群的影响。
Anim Microbiome. 2020 Aug 4;2(1):27. doi: 10.1186/s42523-020-00045-5.
10
A Slimy Business: the Future of Fish Skin Microbiome Studies.一项棘手的业务:鱼类皮肤微生物组研究的未来
Microb Ecol. 2021 Aug;82(2):275-287. doi: 10.1007/s00248-020-01648-w. Epub 2021 Jan 7.