Department of Research and Innovation, Division of Clinical Neuroscience, Oslo University Hospital, Oslo, Norway.
K. G. Jebsen Center for Genetic Epidemiology, Department of Public Health and Nursing, Faculty of Medicine and Health Sciences, Norwegian University of Science and Technology (NTNU), Trondheim, Norway.
Ann Neurol. 2023 Oct;94(4):713-726. doi: 10.1002/ana.26743. Epub 2023 Aug 7.
The objective of this study was to aggregate data for the first genomewide association study meta-analysis of cluster headache, to identify genetic risk variants, and gain biological insights.
A total of 4,777 cases (3,348 men and 1,429 women) with clinically diagnosed cluster headache were recruited from 10 European and 1 East Asian cohorts. We first performed an inverse-variance genomewide association meta-analysis of 4,043 cases and 21,729 controls of European ancestry. In a secondary trans-ancestry meta-analysis, we included 734 cases and 9,846 controls of East Asian ancestry. Candidate causal genes were prioritized by 5 complementary methods: expression quantitative trait loci, transcriptome-wide association, fine-mapping of causal gene sets, genetically driven DNA methylation, and effects on protein structure. Gene set and tissue enrichment analyses, genetic correlation, genetic risk score analysis, and Mendelian randomization were part of the downstream analyses.
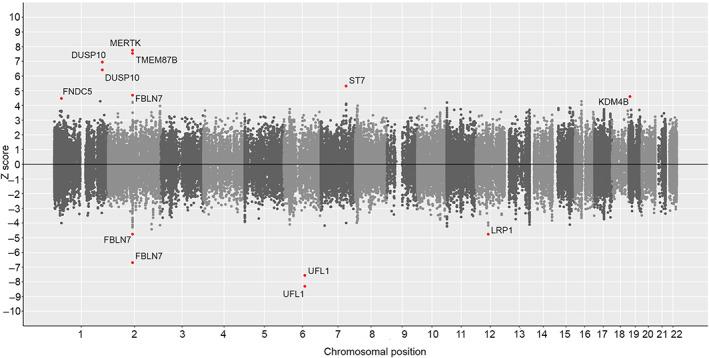
The estimated single nucleotide polymorphism (SNP)-based heritability of cluster headache was 14.5%. We identified 9 independent signals in 7 genomewide significant loci in the primary meta-analysis, and one additional locus in the trans-ethnic meta-analysis. Five of the loci were previously known. The 20 genes prioritized as potentially causal for cluster headache showed enrichment to artery and brain tissue. Cluster headache was genetically correlated with cigarette smoking, risk-taking behavior, attention deficit hyperactivity disorder (ADHD), depression, and musculoskeletal pain. Mendelian randomization analysis indicated a causal effect of cigarette smoking intensity on cluster headache. Three of the identified loci were shared with migraine.
This first genomewide association study meta-analysis gives clues to the biological basis of cluster headache and indicates that smoking is a causal risk factor. ANN NEUROL 2023;94:713-726.
本研究旨在汇总丛集性头痛全基因组关联研究荟萃分析的数据,以确定遗传风险变异体,并获得生物学见解。
本研究共纳入 10 个欧洲队列和 1 个东亚队列中 4777 例(3348 名男性和 1429 名女性)经临床诊断的丛集性头痛患者。我们首先对欧洲血统的 4043 例病例和 21729 例对照进行了逆方差全基因组关联荟萃分析。在二次跨血统荟萃分析中,我们纳入了东亚血统的 734 例病例和 9846 例对照。通过 5 种互补方法优先考虑候选因果基因:表达数量性状基因座、转录组全关联、因果基因集精细映射、遗传驱动 DNA 甲基化和对蛋白质结构的影响。基因集和组织富集分析、遗传相关性、遗传风险评分分析和孟德尔随机化是下游分析的一部分。
丛集性头痛的估计基于单核苷酸多态性(SNP)的遗传率为 14.5%。我们在主要荟萃分析中确定了 7 个全基因组显著位点中的 9 个独立信号,在跨种族荟萃分析中确定了 1 个额外的位点。其中 5 个位点是先前已知的。被优先认为可能导致丛集性头痛的 20 个基因与动脉和脑组织呈富集关系。丛集性头痛与吸烟、冒险行为、注意力缺陷多动障碍(ADHD)、抑郁和肌肉骨骼疼痛存在遗传相关性。孟德尔随机化分析表明吸烟强度对丛集性头痛有因果影响。鉴定出的 3 个位点与偏头痛共享。
这是第一项全基因组关联研究荟萃分析,为丛集性头痛的生物学基础提供了线索,并表明吸烟是一个因果风险因素。