Suppr超能文献

温度和成分如何决定锆基硫族钙钛矿的结构和带隙:基于机器学习加速的第一性原理分子动力学研究

How the Temperature and Composition Govern the Structure and Band Gap of Zr-Based Chalcogenide Perovskites: Insights from ML Accelerated AIMD.

作者信息

Jaykhedkar Namrata, Bystrický Roman, Sýkora Milan, Bučko Tomáš

机构信息

Laboratory of Advanced Materials, Comenius University, Ilkovičova 6, 841 04 Bratislava, Slovakia.

Institute of Inorganic Chemistry, Slovak Academy of Sciences, Dúbravská Cesta 9, 842 36 Bratislava, Slovakia.

出版信息

Inorg Chem. 2023 Aug 7;62(31):12480-12492. doi: 10.1021/acs.inorgchem.3c01696. Epub 2023 Jul 26.

Abstract

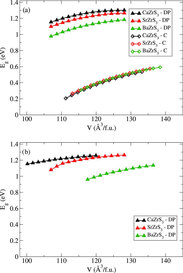
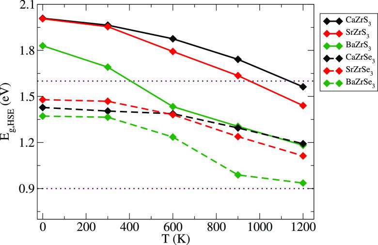
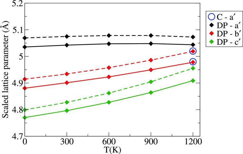
The effects of temperature and composition on the structural and electronic properties of chalcogenide perovskite (CP) materials AZrX (A = Ba, Sr, Ca; X = S, Se) in the distorted perovskite (DP) phase are investigated using ab initio molecular dynamics (AIMD) accelerated by machine-learned force fields. Long-range van der Waals (vdW) interactions, incorporated into the Perdew-Burke-Ernzerhof (PBE) exchange-correlation functional using the DFT-D3 scheme, are found to be crucial for achieving correct predictions of structural parameters. Our calculations show that the distortion of the DP structure with respect to the parent cubic (C) phase, realized in the form of interoctahedral tilting, decreases with the increasing size of the A cations. The tendency for a gradual transformation of the DP-to-C phase with increasing temperature is shown to be strongly composition-dependent. The transformation temperature decreases with the size of cation A and increases with the size of anion X. Thus, within the range of the temperatures considered here (300-1200 K), a complete transformation is observed only for BaZrS (∼600 K) and BaZrSe (∼900 K). The computed band gap of CPs is shown to monotonically decrease with increasing temperature, and the magnitude of this decrease is found to be proportional to the extent of the thermally induced changes in the internal structure. Diverse factors affecting the magnitude of band gaps of CP materials are analyzed.

摘要

利用机器学习力场加速的从头算分子动力学(AIMD),研究了温度和成分对畸变钙钛矿(DP)相中的硫族钙钛矿(CP)材料AZrX(A = Ba、Sr、Ca;X = S、Se)的结构和电子性质的影响。使用DFT-D3方案将长程范德华(vdW)相互作用纳入Perdew-Burke-Ernzerhof(PBE)交换相关泛函中,发现这对于正确预测结构参数至关重要。我们的计算表明,DP结构相对于母体立方(C)相的畸变,以八面体间倾斜的形式实现,随着A阳离子尺寸的增加而减小。随着温度升高,DP相向C相逐渐转变的趋势显示出强烈的成分依赖性。转变温度随着阳离子A的尺寸减小而降低,随着阴离子X的尺寸增大而升高。因此,在此处考虑的温度范围内(300 - 1200 K),仅在BaZrS(约600 K)和BaZrSe(约900 K)中观察到完全转变。计算得出CPs的带隙随温度升高单调减小,并且发现这种减小的幅度与内部结构中热诱导变化的程度成正比。分析了影响CP材料带隙大小的各种因素。

https://cdn.ncbi.nlm.nih.gov/pmc/blobs/b394/10410608/4dc52dc4547e/ic3c01696_0002.jpg

文献AI研究员

20分钟写一篇综述,助力文献阅读效率提升50倍。

立即体验

用中文搜PubMed

大模型驱动的PubMed中文搜索引擎

马上搜索

文档翻译

学术文献翻译模型,支持多种主流文档格式。

立即体验