• 文献检索
  • 文档翻译
  • 深度研究
  • 学术资讯
  • Suppr Zotero 插件Zotero 插件
  • 邀请有礼
  • 套餐&价格
  • 历史记录
应用&插件
Suppr Zotero 插件Zotero 插件浏览器插件Mac 客户端Windows 客户端微信小程序
定价
高级版会员购买积分包购买API积分包
服务
文献检索文档翻译深度研究API 文档MCP 服务
关于我们
关于 Suppr公司介绍联系我们用户协议隐私条款
关注我们

Suppr 超能文献

核心技术专利:CN118964589B侵权必究
粤ICP备2023148730 号-1Suppr @ 2026

文献检索

告别复杂PubMed语法,用中文像聊天一样搜索,搜遍4000万医学文献。AI智能推荐,让科研检索更轻松。

立即免费搜索

文件翻译

保留排版,准确专业,支持PDF/Word/PPT等文件格式,支持 12+语言互译。

免费翻译文档

深度研究

AI帮你快速写综述,25分钟生成高质量综述,智能提取关键信息,辅助科研写作。

立即免费体验

淋巴细胞和嗜酸性粒细胞与新冠病毒疾病严重程度相关吗:一项大型回顾性研究

Are Lymphocytes and Eosinophils Associated with the COVID-19 Severity: A Large, Retrospective Study.

作者信息

Duman Dildar, Karakurt Zuhal, Durmuş Koçak Nagihan, Adıgüzel Nalan, Yıldız Tekin, Güngör Gökay, Berk Takır Huriye, Tepetam Fatma Merve, Günen Hakan, Interest Group On Behalf Of The Covid-

机构信息

Department of Pulmonology, University of Health Sciences, Süreyyapaşa Chest Diseases and Thoracic Surgery Training and Research Hospital, İstanbul, Turkey.

Respiratory Intensive Care Unit Clinic, University of Health Sciences, Süreyyapaşa Chest Diseases and Thoracic Surgery Training and Research Hospital, İstanbul, Turkey.

出版信息

Thorac Res Pract. 2023 Jan;24(1):6-13. doi: 10.5152/ThoracResPract.2023.21233.

DOI:10.5152/ThoracResPract.2023.21233
PMID:37503593
原文链接:https://pmc.ncbi.nlm.nih.gov/articles/PMC10765235/
Abstract

OBJECTIVE

Coronavirus disease 2019 is an ongoing disease with high morbidity and mortality. We aimed to investigate the relationship between demographics, lymphocytes, eosinophils, and the coronavirus disease 2019 severity at hospital admission.

MATERIAL AND METHODS

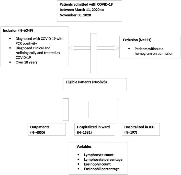
A retrospective, observational cross-sectional study was carried out with 5828 coronavirus disease 2019 patients between March 11, 2020, and November 30, 2020. Patients were divided into 3 groups according to where they were followed up as an indicator of disease severity, namely outpatients, inpatients, and critically ill patients. The patients' demographics and hemogram values on admission were recorded. The predictive accuracies of lymphocyte count, lymphocyte percentage, eosinophil count, and eosinophil percentage for predicting severity were determined using receiver operating characteristic curves. Logistic regression analysis was used to predict intensive care unit demand according to lymphocyte and eosinophil values.

RESULTS

Of the 5828 coronavirus disease 2019 patients, 4050 were followed up as outpatients, 1581 were hospitalized in a ward, and 197 were hospitalized in the intensive care unit. Lymphocyte count and lymphocyte percentage were significantly different between the groups, but the difference for eosinophil count and eosinophil percentage was not significant as it was for lymphocytes. Cutoff values for lymphocyte count (1.0 × 109 /L), lymphocyte percentage (22%), eosinophil count (0.052 × 109 /L), and eosinophil percentage (0.08%) were found to indicate a high risk for intensive care unit admission. Coronavirus disease 2019 patients >55 years of age, with a lymphocyte count <1.0 × 109 /L, a lymphocyte percentage <22%, and an eosinophil percentage <0.08% had a 2-fold higher risk of requiring intensive care unit management.

CONCLUSION

Lymphocyte counts and percentages are quick and reliable biomarkers for predicting coronavirus disease 2019 severity and may guide physicians for proper management earlier.

摘要

目的

2019冠状病毒病是一种发病率和死亡率都很高的持续性疾病。我们旨在研究人口统计学特征、淋巴细胞、嗜酸性粒细胞与2019冠状病毒病入院时严重程度之间的关系。

材料与方法

对2020年3月11日至2020年11月30日期间的5828例2019冠状病毒病患者进行了一项回顾性观察性横断面研究。根据作为疾病严重程度指标的随访地点,将患者分为3组,即门诊患者、住院患者和重症患者。记录患者入院时的人口统计学特征和血常规值。使用受试者工作特征曲线确定淋巴细胞计数、淋巴细胞百分比、嗜酸性粒细胞计数和嗜酸性粒细胞百分比预测严重程度的预测准确性。采用逻辑回归分析根据淋巴细胞和嗜酸性粒细胞值预测重症监护病房需求。

结果

在5828例2019冠状病毒病患者中,4050例作为门诊患者进行随访,1581例在病房住院,197例在重症监护病房住院。各组间淋巴细胞计数和淋巴细胞百分比有显著差异,但嗜酸性粒细胞计数和嗜酸性粒细胞百分比的差异不如淋巴细胞显著。发现淋巴细胞计数(1.0×10⁹/L)、淋巴细胞百分比(22%)、嗜酸性粒细胞计数(0.052×10⁹/L)和嗜酸性粒细胞百分比(0.08%)的临界值表明入住重症监护病房的风险较高。年龄>55岁、淋巴细胞计数<1.0×10⁹/L、淋巴细胞百分比<22%且嗜酸性粒细胞百分比<0.08%的2019冠状病毒病患者需要重症监护病房管理的风险高出2倍。

结论

淋巴细胞计数和百分比是预测2019冠状病毒病严重程度的快速且可靠的生物标志物,可能有助于医生更早地进行适当管理。

https://cdn.ncbi.nlm.nih.gov/pmc/blobs/d4ef/10765235/640fb2ba31d5/trp-24-1-6_f002.jpg
https://cdn.ncbi.nlm.nih.gov/pmc/blobs/d4ef/10765235/9c3ba2e1a438/trp-24-1-6_f001.jpg
https://cdn.ncbi.nlm.nih.gov/pmc/blobs/d4ef/10765235/640fb2ba31d5/trp-24-1-6_f002.jpg
https://cdn.ncbi.nlm.nih.gov/pmc/blobs/d4ef/10765235/9c3ba2e1a438/trp-24-1-6_f001.jpg
https://cdn.ncbi.nlm.nih.gov/pmc/blobs/d4ef/10765235/640fb2ba31d5/trp-24-1-6_f002.jpg

相似文献

1
Are Lymphocytes and Eosinophils Associated with the COVID-19 Severity: A Large, Retrospective Study.淋巴细胞和嗜酸性粒细胞与新冠病毒疾病严重程度相关吗:一项大型回顾性研究
Thorac Res Pract. 2023 Jan;24(1):6-13. doi: 10.5152/ThoracResPract.2023.21233.
2
Persistent lymphocyte reduction and interleukin-6 levels are independently associated with death in patients with COVID-19.持续性淋巴细胞减少和白细胞介素 6 水平与 COVID-19 患者的死亡独立相关。
Clin Exp Med. 2023 Nov;23(7):3719-3728. doi: 10.1007/s10238-023-01114-0. Epub 2023 Jun 13.
3
Normalization of eosinophil count is predictive of oxygen weaning over the course of COVID-19 infection among hospitalized adults during the first wave of 2020 pandemic.在 2020 年大流行的第一波疫情期间,住院成人 COVID-19 感染过程中,嗜酸性粒细胞计数的正常化可预测氧脱机。
Front Immunol. 2024 May 24;15:1381059. doi: 10.3389/fimmu.2024.1381059. eCollection 2024.
4
Predictive Value of Eosinophil Count on COVID-19 Disease Progression and Outcomes, a Retrospective Study of Leishenshan Hospital in Wuhan, China.嗜酸粒细胞计数对 COVID-19 疾病进展和结局的预测价值:对中国武汉雷神山医院的回顾性研究。
J Intensive Care Med. 2022 Mar;37(3):359-365. doi: 10.1177/08850666211037326. Epub 2021 Sep 22.
5
Neutrophil to lymphocyte ratio is a better indicator of COPD exacerbation severity in neutrophilic endotypes than eosinophilic endotypes.在嗜中性粒细胞亚型中,中性粒细胞与淋巴细胞比值比嗜酸性粒细胞亚型更能准确反映慢性阻塞性肺疾病急性加重的严重程度。
Int J Chron Obstruct Pulmon Dis. 2018 Sep 4;13:2721-2730. doi: 10.2147/COPD.S170353. eCollection 2018.
6
Mortality prediction to hospitalized patients with influenza pneumonia: PO /FiO combined lymphocyte count is the answer.流感肺炎住院患者的死亡率预测:氧合指数(PO₂/FiO₂)联合淋巴细胞计数是答案。
Clin Respir J. 2017 May;11(3):352-360. doi: 10.1111/crj.12346. Epub 2015 Aug 11.
7
Peripheral eosinophil count and eosinophil-to-lymphocyte ratio are associated with revision sinus surgery.外周血嗜酸性粒细胞计数和嗜酸性粒细胞与淋巴细胞比值与鼻窦手术翻修相关。
Eur Arch Otorhinolaryngol. 2023 Jan;280(1):183-190. doi: 10.1007/s00405-022-07497-2. Epub 2022 Jun 23.
8
Full blood count parameters for the detection of asthma inflammatory phenotypes.用于检测哮喘炎症表型的全血细胞计数参数。
Clin Exp Allergy. 2014 Sep;44(9):1137-45. doi: 10.1111/cea.12345.
9
Characteristics of lymphocyte subsets and cytokine profiles of patients with COVID-19.新型冠状病毒肺炎患者淋巴细胞亚群及细胞因子特征。
Virol J. 2022 Mar 28;19(1):57. doi: 10.1186/s12985-022-01786-2.
10
The significance of eosinophils in predicting the severity of acute ischemic stroke.嗜酸性粒细胞在预测急性缺血性卒中严重程度中的意义。
Oncotarget. 2017 Oct 31;8(61):104238-104246. doi: 10.18632/oncotarget.22199. eCollection 2017 Nov 28.

引用本文的文献

1
RE: Lymphocytes and Eosinophils Associated with the Coronavirus Disease-2019 Severity.关于:与2019冠状病毒病严重程度相关的淋巴细胞和嗜酸性粒细胞
Thorac Res Pract. 2023 Jul;24(4):236. doi: 10.5152/ThoracResPract.2023.232004.
2
Lymphocytes and Eosinophils Associated with the Coronavirus Disease-2019 Severity.与2019冠状病毒病严重程度相关的淋巴细胞和嗜酸性粒细胞
Thorac Res Pract. 2023 Jul;24(4):235. doi: 10.5152/ThoracResPract.2023.23027.

本文引用的文献

1
Evaluation of eosinopenia as a diagnostic and prognostic indicator in COVID-19 infection.评价嗜酸性粒细胞减少症作为 COVID-19 感染的诊断和预后指标。
Int J Lab Hematol. 2021 Jul;43 Suppl 1:137-141. doi: 10.1111/ijlh.13425. Epub 2020 Dec 8.
2
Diagnostic and prognostic utility of WBC counts and cell population data in patients with COVID-19.白细胞计数和细胞群数据在 COVID-19 患者中的诊断和预后效用。
Int J Lab Hematol. 2021 Jul;43 Suppl 1(Suppl 1):124-128. doi: 10.1111/ijlh.13395. Epub 2020 Nov 15.
3
Eosinopenia could be a relevant prognostic biomarker in patients with coronavirus disease 2019.
嗜酸性粒细胞减少可能是2019冠状病毒病患者的一个相关预后生物标志物。
Allergy Asthma Proc. 2020 Nov 1;41(6):e80-e82. doi: 10.2500/aap.2020.41.200079.
4
Lymphopenia and neutrophilia at admission predicts severity and mortality in patients with COVID-19: a meta-analysis.入院时淋巴细胞减少和中性粒细胞增多可预测COVID-19患者的严重程度和死亡率:一项荟萃分析。
Acta Biomed. 2020 Sep 7;91(3):e2020008. doi: 10.23750/abm.v91i3.10217.
5
Laboratory features of severe vs. non-severe COVID-19 patients in Asian populations: a systematic review and meta-analysis.亚洲人群中重症与非重症 COVID-19 患者的实验室特征:系统评价和荟萃分析。
Eur J Med Res. 2020 Aug 3;25(1):30. doi: 10.1186/s40001-020-00432-3.
6
Hydroxychloroquine plus azithromycin and early hospital admission are beneficial in COVID-19 patients: Turkish experience with real-life data.羟氯喹联合阿奇霉素和早期住院治疗对 COVID-19 患者有益:土耳其真实数据的经验。
Turk J Med Sci. 2021 Feb 26;51(1):10-5. doi: 10.3906/sag-2005-82.
7
Clinical, radiological, and laboratory characteristics and risk factors for severity and mortality of 289 hospitalized COVID-19 patients.289 例住院 COVID-19 患者的临床、影像学和实验室特征及严重程度和死亡率的危险因素。
Allergy. 2021 Feb;76(2):533-550. doi: 10.1111/all.14496. Epub 2020 Aug 24.
8
Pathophysiology, Transmission, Diagnosis, and Treatment of Coronavirus Disease 2019 (COVID-19): A Review.新型冠状病毒病 2019(COVID-19)的病理生理学、传播、诊断和治疗:综述。
JAMA. 2020 Aug 25;324(8):782-793. doi: 10.1001/jama.2020.12839.
9
Lymphopenia during the COVID-19 infection: What it shows and what can be learned.新冠病毒感染期间的淋巴细胞减少症:所呈现的情况及可从中了解到的信息。
Immunol Lett. 2020 Sep;225:31-32. doi: 10.1016/j.imlet.2020.06.013. Epub 2020 Jun 20.
10
The role of peripheral blood eosinophil counts in COVID-19 patients.外周血嗜酸性粒细胞计数在 COVID-19 患者中的作用。
Allergy. 2021 Feb;76(2):471-482. doi: 10.1111/all.14465. Epub 2020 Jul 13.