Suppr超能文献

吩噻嗪鎓介导的耳念珠菌光动力灭活的新见解

New Insights in Phenothiazinium-Mediated Photodynamic Inactivation of Candida Auris.

作者信息

Silva Abdênego R, Cabral Fernanda V, Silva Camila R, Silva Daniela F T, Freitas Anderson Z, Fontes Adriana, Ribeiro Martha S

机构信息

Center for Lasers and Applications, Nuclear and Energy Research Institute (IPEN-CNEN), São Paulo 05508-000, SP, Brazil.

Department of Biophysics and Radiobiology, Federal University of Pernambuco, Recife 50670-901, PE, Brazil.

出版信息

J Fungi (Basel). 2023 Jun 30;9(7):717. doi: 10.3390/jof9070717.

Abstract

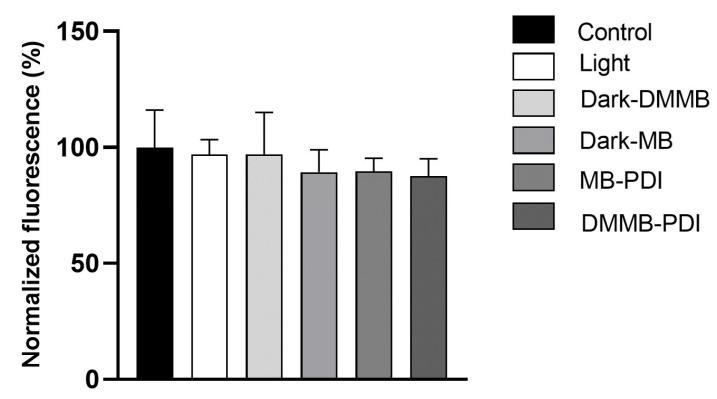
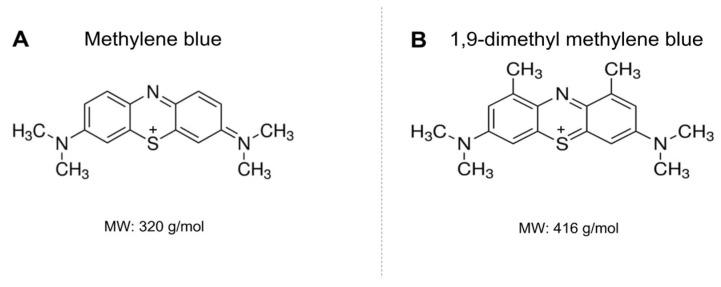
In recent years, has emerged as a hazardous hospital-acquired pathogen. Its resistance to antifungal treatments makes it challenging, requiring new approaches to manage it effectively. Herein, we aimed to assess the impact of photodynamic inactivation mediated by methylene blue (MB-PDI) or 1,9-dimethyl MB (DMMB-PDI) combined with a red LED against . To evaluate the photoinactivation of yeasts, we quantified colony-forming units and monitored ROS production. To gain some insights into the differences between MB and DMMB, we assessed lipid peroxidation (LPO) and mitochondrial membrane potential (ΔΨm). After, we verified the effectiveness of DMMB against biofilms by measuring metabolic activity and biomass, and the structures were analyzed through scanning electron microscopy and optical coherence tomography. We also evaluated the cytotoxicity in mammalian cells. DMMB-PDI successfully eradicated yeasts at 3 μM regardless of the light dose. In contrast, MB (100 μM) killed cells only when exposed to the highest dose of light. DMMB-PDI promoted higher ROS, LPO and ΔΨm levels than those of MB. Furthermore, DMMB-PDI was able to inhibit biofilm formation and destroy mature biofilms, with no observed toxicity in fibroblasts. We conclude that DMMB-PDI holds great potential to combat the global threat posed by .

摘要

近年来,已成为一种危险的医院获得性病原体。它对抗真菌治疗的耐药性使其具有挑战性,需要新的方法来有效管理它。在此,我们旨在评估亚甲蓝介导的光动力灭活(MB-PDI)或1,9-二甲基亚甲蓝(DMMB-PDI)联合红色发光二极管对的影响。为了评估酵母的光灭活,我们对菌落形成单位进行了定量并监测了活性氧的产生。为了深入了解MB和DMMB之间的差异,我们评估了脂质过氧化(LPO)和线粒体膜电位(ΔΨm)。之后,我们通过测量代谢活性和生物量来验证DMMB对生物膜的有效性,并通过扫描电子显微镜和光学相干断层扫描对结构进行分析。我们还评估了对哺乳动物细胞的细胞毒性。无论光照剂量如何,DMMB-PDI在3μM时都能成功根除酵母。相比之下,MB(100μM)仅在暴露于最高剂量的光时才会杀死细胞。DMMB-PDI促进产生的活性氧、LPO和ΔΨm水平高于MB。此外,DMMB-PDI能够抑制生物膜形成并破坏成熟生物膜,在成纤维细胞中未观察到毒性。我们得出结论,DMMB-PDI在对抗所构成的全球威胁方面具有巨大潜力。

https://cdn.ncbi.nlm.nih.gov/pmc/blobs/f714/10381569/e3b6f15e0112/jof-09-00717-g001.jpg

文献AI研究员

20分钟写一篇综述,助力文献阅读效率提升50倍。

立即体验

用中文搜PubMed

大模型驱动的PubMed中文搜索引擎

马上搜索

文档翻译

学术文献翻译模型,支持多种主流文档格式。

立即体验