• 文献检索
  • 文档翻译
  • 深度研究
  • 学术资讯
  • Suppr Zotero 插件Zotero 插件
  • 邀请有礼
  • 套餐&价格
  • 历史记录
应用&插件
Suppr Zotero 插件Zotero 插件浏览器插件Mac 客户端Windows 客户端微信小程序
定价
高级版会员购买积分包购买API积分包
服务
文献检索文档翻译深度研究API 文档MCP 服务
关于我们
关于 Suppr公司介绍联系我们用户协议隐私条款
关注我们

Suppr 超能文献

核心技术专利:CN118964589B侵权必究
粤ICP备2023148730 号-1Suppr @ 2026

文献检索

告别复杂PubMed语法,用中文像聊天一样搜索,搜遍4000万医学文献。AI智能推荐,让科研检索更轻松。

立即免费搜索

文件翻译

保留排版,准确专业,支持PDF/Word/PPT等文件格式,支持 12+语言互译。

免费翻译文档

深度研究

AI帮你快速写综述,25分钟生成高质量综述,智能提取关键信息,辅助科研写作。

立即免费体验

母猪对处于困境仔猪的反应:自然环境中的一项实验研究。

Sows' Responses to Piglets in Distress: An Experimental Investigation in a Natural Setting.

作者信息

Collarini Edoardo, Capponcelli Luca, Pierdomenico Andrea, Norscia Ivan, Cordoni Giada

机构信息

Department of Life Sciences and Systems Biology, University of Torino (DBIOS), Via Accademia Albertina 13, 20123 Torino, Italy.

出版信息

Animals (Basel). 2023 Jul 10;13(14):2261. doi: 10.3390/ani13142261.

DOI:10.3390/ani13142261
PMID:37508041
原文链接:https://pmc.ncbi.nlm.nih.gov/articles/PMC10376744/
Abstract

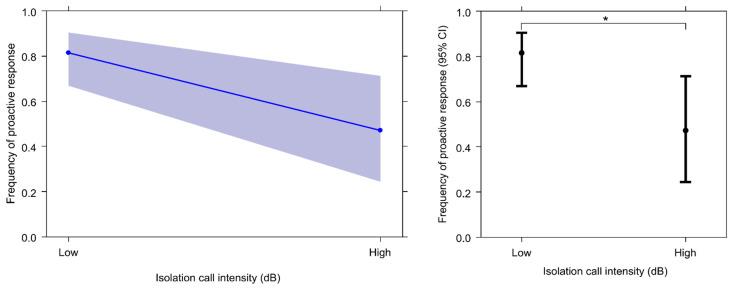
Domestic pigs () possess complex socio-cognitive skills, and sows show high inter-individual variability in maternal behaviour. To evaluate how females-reared under natural conditions-react to the isolation calls of their own piglets or those of other females, we conducted observations and experimental trials. In January-February 2021, we conducted all-occurrences sampling on affiliation, aggression, and lactation (daily, 7:30-16:30 h) on six lactating and four non-lactating females at the ethical farm Parva Domus (Turin, Italy). The trials (30 s each, = 37/sow) consisted of briefly catching and restraining a piglet. We recorded the sow response (none/reactive/proactive movement towards the piglet; self-directed anxiety behaviours such as body shaking) before and during the trial and under control conditions. Increased levels of anxiety behaviour in sows were accompanied by an increased frequency of responses. Less aggressive sows and lactating sows showed the highest frequencies of response. Finally, the isolation calls' maximum intensity had an influence on the type of response observed, with higher proactive response frequencies following lower intensity isolation calls. Our results suggest that being under lactation could play a key role in increasing sow response levels and that specific acoustic features may influence the response.

摘要

家猪()具备复杂的社会认知技能,且母猪在母性行为方面表现出较高的个体间差异。为了评估在自然条件下饲养的母猪对自己仔猪或其他母猪的隔离呼叫如何做出反应,我们进行了观察和实验试验。2021年1月至2月,我们在意大利都灵的帕瓦多穆斯伦理农场对6头泌乳母猪和4头非泌乳母猪的亲和行为、攻击行为和泌乳行为(每天7:30 - 16:30)进行了全事件抽样。试验(每次30秒,每头母猪 = 37次)包括短暂捕捉并约束一头仔猪。我们记录了试验前、试验期间以及对照条件下母猪的反应(无/对仔猪有反应/主动走向仔猪;自我导向的焦虑行为,如身体颤抖)。母猪焦虑行为水平的增加伴随着反应频率的提高。攻击性较弱的母猪和泌乳母猪表现出最高的反应频率。最后,隔离呼叫的最大强度对观察到的反应类型有影响,较低强度的隔离呼叫后主动反应频率更高。我们的结果表明,处于泌乳状态可能在提高母猪反应水平方面起关键作用,并且特定的声学特征可能会影响反应。

https://cdn.ncbi.nlm.nih.gov/pmc/blobs/295f/10376744/c7a3383cae90/animals-13-02261-g007.jpg
https://cdn.ncbi.nlm.nih.gov/pmc/blobs/295f/10376744/9de01ec54943/animals-13-02261-g001.jpg
https://cdn.ncbi.nlm.nih.gov/pmc/blobs/295f/10376744/04daa04971ae/animals-13-02261-g002.jpg
https://cdn.ncbi.nlm.nih.gov/pmc/blobs/295f/10376744/adbf669690e5/animals-13-02261-g003.jpg
https://cdn.ncbi.nlm.nih.gov/pmc/blobs/295f/10376744/9f364d143223/animals-13-02261-g004.jpg
https://cdn.ncbi.nlm.nih.gov/pmc/blobs/295f/10376744/cc7ffb5db07c/animals-13-02261-g005.jpg
https://cdn.ncbi.nlm.nih.gov/pmc/blobs/295f/10376744/941dc8497ebf/animals-13-02261-g006.jpg
https://cdn.ncbi.nlm.nih.gov/pmc/blobs/295f/10376744/c7a3383cae90/animals-13-02261-g007.jpg
https://cdn.ncbi.nlm.nih.gov/pmc/blobs/295f/10376744/9de01ec54943/animals-13-02261-g001.jpg
https://cdn.ncbi.nlm.nih.gov/pmc/blobs/295f/10376744/04daa04971ae/animals-13-02261-g002.jpg
https://cdn.ncbi.nlm.nih.gov/pmc/blobs/295f/10376744/adbf669690e5/animals-13-02261-g003.jpg
https://cdn.ncbi.nlm.nih.gov/pmc/blobs/295f/10376744/9f364d143223/animals-13-02261-g004.jpg
https://cdn.ncbi.nlm.nih.gov/pmc/blobs/295f/10376744/cc7ffb5db07c/animals-13-02261-g005.jpg
https://cdn.ncbi.nlm.nih.gov/pmc/blobs/295f/10376744/941dc8497ebf/animals-13-02261-g006.jpg
https://cdn.ncbi.nlm.nih.gov/pmc/blobs/295f/10376744/c7a3383cae90/animals-13-02261-g007.jpg

相似文献

1
Sows' Responses to Piglets in Distress: An Experimental Investigation in a Natural Setting.母猪对处于困境仔猪的反应:自然环境中的一项实验研究。
Animals (Basel). 2023 Jul 10;13(14):2261. doi: 10.3390/ani13142261.
2
Sow communication with piglets while being active is a good predictor of maternal skills, piglet survival and litter quality in three different breeds of domestic pigs (Sus scrofa domesticus).母猪与仔猪活跃时的交流是其母性技能、仔猪存活率和窝产仔数的良好预测指标,这在三个不同品种的家猪(Sus scrofa domesticus)中得到了验证。
PLoS One. 2018 Nov 14;13(11):e0206128. doi: 10.1371/journal.pone.0206128. eCollection 2018.
3
Effects of socialising piglets on sow and piglet performance and behaviour of entire male piglets.社交化仔猪对母猪和仔猪性能的影响及公仔猪整体行为。
Animal. 2024 Mar;18(3):101086. doi: 10.1016/j.animal.2024.101086. Epub 2024 Jan 26.
4
Nurse sow strategies in the domestic pig: II. Consequences for piglet growth, suckling behaviour and sow nursing behaviour.母猪饲养策略在国内猪中的应用:II. 对仔猪生长、哺乳行为和母猪哺乳行为的影响。
Animal. 2019 Mar;13(3):590-599. doi: 10.1017/S1751731118001702. Epub 2018 Jul 11.
5
Dam parity structure and body condition during lactation influence piglet growth and gilt sexual maturation through pre-finishing.哺乳期的母畜体况和产仔数结构会通过肥育前阶段影响仔猪生长和后备母猪的性成熟。
J Anim Sci. 2022 Apr 1;100(4). doi: 10.1093/jas/skac031.
6
Effect of increasing dietary energy density during late gestation and lactation on sow performance, piglet vitality, and lifetime growth of offspring.妊娠后期和哺乳期增加日粮能量密度对母猪生产性能、仔猪活力和后代终生生长的影响。
J Anim Sci. 2020 Jan 1;98(1). doi: 10.1093/jas/skz379.
7
Piglets' behaviour and performance in relation to sow characteristics.仔猪行为与母猪特性的关系。
Animal. 2023 Feb;17(2):100699. doi: 10.1016/j.animal.2022.100699. Epub 2022 Dec 16.
8
Effects of yeast-derived postbiotic supplementation in late gestation and lactation diets on performance, milk quality, and immune function in lactating sows.酵母源后生元补充剂对妊娠后期和哺乳期日粮对泌乳母猪生产性能、牛奶质量和免疫功能的影响。
J Anim Sci. 2023 Jan 3;101. doi: 10.1093/jas/skad201.
9
Assessment of lying down behaviour in temporarily crated lactating sows.评估临时圈养泌乳母猪的躺卧行为。
Animal. 2021 Feb;15(2):100130. doi: 10.1016/j.animal.2020.100130. Epub 2020 Dec 25.
10
Evaluation of oxidized beta-carotene on sow and piglet immune systems, sow reproductive performance, and piglet growth.评价氧化β-胡萝卜素对母猪和仔猪免疫系统、母猪繁殖性能和仔猪生长的影响。
J Anim Sci. 2023 Jan 3;101. doi: 10.1093/jas/skad066.

本文引用的文献

1
Piglets' behaviour and performance in relation to sow characteristics.仔猪行为与母猪特性的关系。
Animal. 2023 Feb;17(2):100699. doi: 10.1016/j.animal.2022.100699. Epub 2022 Dec 16.
2
Domestic pigs (Sus scrofa) engage in non-random post-conflict affiliation with third parties: cognitive and functional implications.家猪(Sus scrofa)会与第三方进行非随机的冲突后结盟:认知和功能意义。
Anim Cogn. 2023 Mar;26(2):687-701. doi: 10.1007/s10071-022-01688-4. Epub 2022 Nov 8.
3
Relationship between oxytocin and maternal approach behaviors to infants' vocalizations.
催产素与母亲对婴儿发声的趋近行为之间的关系。
Compr Psychoneuroendocrinol. 2020 Sep 19;4:100010. doi: 10.1016/j.cpnec.2020.100010. eCollection 2020 Nov.
4
Classification of pig calls produced from birth to slaughter according to their emotional valence and context of production.根据情感效价和产生语境对从出生到屠宰的猪叫声进行分类。
Sci Rep. 2022 Mar 7;12(1):3409. doi: 10.1038/s41598-022-07174-8.
5
Anxiety Behavior in Pigs () Decreases Through Affiliation and May Anticipate Threat.猪的焦虑行为()通过社交而减少,并且可能预示着威胁。
Front Vet Sci. 2021 Feb 16;8:630164. doi: 10.3389/fvets.2021.630164. eCollection 2021.
6
Impact of sow lactation feed intake on the growth and suckling behavior of low and average birthweight pigs to 10 weeks of age.母猪泌乳期采食量对低出生体重和平均出生体重仔猪至10周龄时生长及吮乳行为的影响。
Transl Anim Sci. 2020 May 9;4(2):txaa057. doi: 10.1093/tas/txaa057. eCollection 2020 Apr.
7
Feline vocal communication.猫科动物的声音交流。
J Vet Sci. 2020 Jan;21(1):e18. doi: 10.4142/jvs.2020.21.e18.
8
Context and gender-specific differences in the acoustic structure of common marmoset (Callithrix jacchus) phee calls.普通狨猴(Callithrix jacchus)鸣声的声学结构中的背景及性别差异
Am J Primatol. 1993;30(1):37-54. doi: 10.1002/ajp.1350300104.
9
Rodent mothers increase vigilance behaviour when facing infanticide risk.当面临杀婴风险时,啮齿动物母亲会增加警惕行为。
Sci Rep. 2019 Aug 19;9(1):12054. doi: 10.1038/s41598-019-48459-9.
10
Early maternal recognition of offspring vocalizations in rhesus macaques (Macaca mulatta).猕猴(Macaca mulatta)母亲对后代叫声的早期识别。
Primates. 2000 Oct;41(4):421-428. doi: 10.1007/BF02557653.