Suppr超能文献

经皮迷走神经刺激治疗高海拔地区人群失眠症:一项随机对照试验

Transcutaneous Vagus Nerve Stimulation for Insomnia in People Living in Places or Cities with High Altitudes: A Randomized Controlled Trial.

作者信息

Zhang Liang, Jin Yinchuan, Zhang Qintao, Liu Hongyao, Chen Chen, Song Lei, Li Xiao, Ma Zhujing, Yang Qun

机构信息

Department of Military Medical Psychology, Air Force Military Medical University, Xi'an 710032, China.

出版信息

Brain Sci. 2023 Jun 22;13(7):985. doi: 10.3390/brainsci13070985.

Abstract

BACKGROUND

The purpose of this study was to investigate the effectiveness and safety of transcutaneous vagus nerve stimulation (tVNS) to improve insomnia in the special environment of a plateau.

METHODS

This study was a single-center, single-blind, randomized controlled trial. A total of 100 patients with insomnia at high altitude were randomized into three groups receiving either transcutaneous vagus nerve stimulation intervention in the left ear tragus (treatment group), pseudo-stimulation intervention (sham group), or cognitive behavioral therapy for insomnia (CBTI group). The primary measure was the Pittsburgh Sleep Quality Index (PSQI) score. In addition, we assessed the patients' objective sleep status with polysomnography and evaluated changes in the Insomnia Severity Index Scale (ISI) and Generalized Anxiety Disorder-7 (GAD-7) scores. We used one-way ANOVA and repeated-measures ANOVA for analysis.

RESULTS

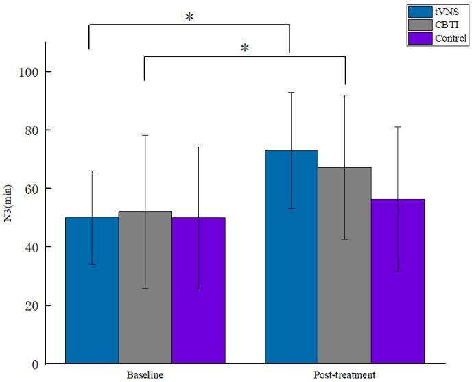
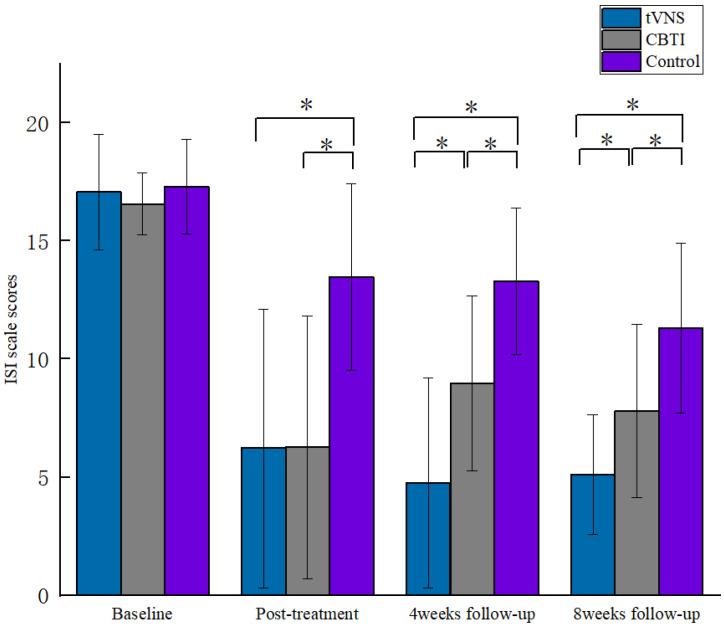
Patients' PSQI, ISI, and GAD-7 scale scores significantly decreased after 4 weeks of tVNS treatment and were greater than those of the control group. Polysomnographic data also demonstrated shortened sleep latency and longer deep sleep in the patients.

CONCLUSION

tVNS is effective in improving sleep quality and reducing anxiety levels in high-altitude insomnia patients but should be confirmed in future adequate and prolonged trials to guide clinical promotion.

摘要

背景

本研究旨在探讨经皮迷走神经刺激(tVNS)改善高原特殊环境下失眠的有效性和安全性。

方法

本研究为单中心、单盲、随机对照试验。共100例高原失眠患者被随机分为三组,分别接受左耳耳屏经皮迷走神经刺激干预(治疗组)、伪刺激干预(假手术组)或失眠认知行为疗法(CBTI组)。主要测量指标为匹兹堡睡眠质量指数(PSQI)评分。此外,我们通过多导睡眠图评估患者的客观睡眠状态,并评估失眠严重程度指数量表(ISI)和广泛性焦虑障碍-7(GAD-7)评分的变化。我们采用单因素方差分析和重复测量方差分析进行分析。

结果

tVNS治疗4周后,患者的PSQI、ISI和GAD-7量表评分显著降低,且高于对照组。多导睡眠图数据也显示患者的睡眠潜伏期缩短,深度睡眠时间延长。

结论

tVNS对改善高原失眠患者的睡眠质量和降低焦虑水平有效,但应在未来充分且长期的试验中得到证实,以指导临床推广。

https://cdn.ncbi.nlm.nih.gov/pmc/blobs/9dba/10377398/3e1e8463809b/brainsci-13-00985-g001.jpg

文献检索

告别复杂PubMed语法,用中文像聊天一样搜索,搜遍4000万医学文献。AI智能推荐,让科研检索更轻松。

立即免费搜索

文件翻译

保留排版,准确专业,支持PDF/Word/PPT等文件格式,支持 12+语言互译。

免费翻译文档

深度研究

AI帮你快速写综述,25分钟生成高质量综述,智能提取关键信息,辅助科研写作。

立即免费体验