Suppr超能文献

低剂量的β-石竹烯降低了多发性硬化症自身免疫动物模型的临床和临床前参数:研究CB受体在淋巴细胞和小胶质细胞炎症中的作用。

Low Doses of β-Caryophyllene Reduced Clinical and Paraclinical Parameters of an Autoimmune Animal Model of Multiple Sclerosis: Investigating the Role of CB Receptors in Inflammation by Lymphocytes and Microglial.

作者信息

Askari Vahid Reza, Baradaran Rahimi Vafa, Shafiee-Nick Reza

机构信息

International UNESCO Center for Health-Related Basic Sciences and Human Nutrition, Mashhad University of Medical Sciences, Mashhad 9177948564, Iran.

Applied Biomedical Research Center, Mashhad University of Medical Sciences, Mashhad 9177948564, Iran.

出版信息

Brain Sci. 2023 Jul 19;13(7):1092. doi: 10.3390/brainsci13071092.

Abstract

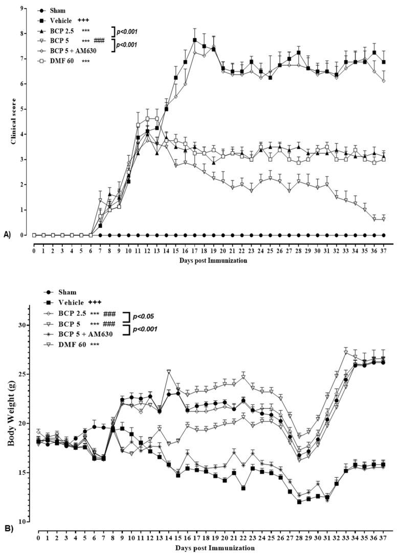
Multiple Sclerosis (MS) is a prevalent inflammatory disease in which the immune system plays an essential role in the damage, inflammation, and demyelination of central nervous system neurons (CNS). The cannabinoid receptor type 2 (CB) agonists possess anti-inflammatory effects against noxious stimuli and elevate the neuronal survival rate. We attempted to analyze the protective impact of low doses of β-Caryophyllene (BCP) in experimental autoimmune encephalomyelitis (EAE) mice as a chronic MS model. Immunization of female C57BL/6 mice was achieved through two subcutaneous injections into different areas of the hind flank with an emulsion that consisted of myelin Myelin oligodendrocyte glycoprotein (MOG) (150 µg) and complete Freund's adjuvant (CFA) (400 µg) with an equal volume. Two intraperitoneal (i.p.) injections of pertussis toxin (300 ng) were performed on the animals on day zero (immunizations day) and 48 h (2nd day) after injection of MOG + CFA. The defensive effect of low doses of BCP (2.5 and 5 mg/kg/d) was investigated in the presence and absence of a CB receptor antagonist (1 mg/kg, AM630) in the EAE model. We also examined the pro/anti-inflammatory cytokine levels and the polarization of brain microglia and spleen lymphocytes in EAE animals. According to our findings, low doses of BCP offered protective impacts in the EAE mice treatment in a CB2 receptor-dependent way. In addition, according to results, BCP decreased the pathological and clinical defects in EAE mice via modulating adaptive (lymphocytes) and innate (microglia) immune systems from inflammatory phenotypes (M/Th/Th) to anti-inflammatory (M/Th/T) phenotypes. Additionally, BCP elevated the anti-inflammatory cytokine IL-10 and reduced blood inflammatory cytokines. BCP almost targeted the systemic immune system more than the CNS immune system. Thus, a low dose of BCP can be suggested as a therapeutic effect on MS treatment with potent anti-inflammatory effects and possibly lower toxicity.

摘要

多发性硬化症(MS)是一种常见的炎症性疾病,免疫系统在其中对中枢神经系统(CNS)神经元的损伤、炎症和脱髓鞘起着至关重要的作用。2型大麻素受体(CB)激动剂对有害刺激具有抗炎作用,并能提高神经元存活率。我们试图分析低剂量的β-石竹烯(BCP)在作为慢性MS模型的实验性自身免疫性脑脊髓炎(EAE)小鼠中的保护作用。通过在雌性C57BL/6小鼠后腹不同区域皮下注射由髓鞘少突胶质细胞糖蛋白(MOG)(150μg)和完全弗氏佐剂(CFA)(400μg)组成的等体积乳剂进行免疫。在注射MOG + CFA后的第零天(免疫日)和48小时(第二天)对动物进行两次腹腔注射百日咳毒素(300 ng)。在EAE模型中,在存在和不存在CB受体拮抗剂(1 mg/kg,AM630)的情况下,研究了低剂量BCP(2.5和5 mg/kg/d)的防御作用。我们还检测了EAE动物中促炎/抗炎细胞因子水平以及脑小胶质细胞和脾淋巴细胞的极化情况。根据我们的研究结果,低剂量的BCP以CB2受体依赖性方式对EAE小鼠治疗产生保护作用。此外,根据结果,BCP通过将适应性(淋巴细胞)和先天性(小胶质细胞)免疫系统从炎症表型(M/Th/Th)调节为抗炎表型(M/Th/T),减少了EAE小鼠的病理和临床缺陷。此外,BCP升高了抗炎细胞因子IL-10并降低了血液中的炎症细胞因子。BCP对全身免疫系统的靶向作用几乎超过了CNS免疫系统。因此,低剂量的BCP可被建议作为对MS治疗具有有效抗炎作用且可能毒性较低的治疗方法。

https://cdn.ncbi.nlm.nih.gov/pmc/blobs/1901/10377147/9fc998a41a6b/brainsci-13-01092-g001.jpg

文献检索

告别复杂PubMed语法,用中文像聊天一样搜索,搜遍4000万医学文献。AI智能推荐,让科研检索更轻松。

立即免费搜索

文件翻译

保留排版,准确专业,支持PDF/Word/PPT等文件格式,支持 12+语言互译。

免费翻译文档

深度研究

AI帮你快速写综述,25分钟生成高质量综述,智能提取关键信息,辅助科研写作。

立即免费体验