• 文献检索
  • 文档翻译
  • 深度研究
  • 学术资讯
  • Suppr Zotero 插件Zotero 插件
  • 邀请有礼
  • 套餐&价格
  • 历史记录
应用&插件
Suppr Zotero 插件Zotero 插件浏览器插件Mac 客户端Windows 客户端微信小程序
定价
高级版会员购买积分包购买API积分包
服务
文献检索文档翻译深度研究API 文档MCP 服务
关于我们
关于 Suppr公司介绍联系我们用户协议隐私条款
关注我们

Suppr 超能文献

核心技术专利:CN118964589B侵权必究
粤ICP备2023148730 号-1Suppr @ 2026

文献检索

告别复杂PubMed语法,用中文像聊天一样搜索,搜遍4000万医学文献。AI智能推荐,让科研检索更轻松。

立即免费搜索

文件翻译

保留排版,准确专业,支持PDF/Word/PPT等文件格式,支持 12+语言互译。

免费翻译文档

深度研究

AI帮你快速写综述,25分钟生成高质量综述,智能提取关键信息,辅助科研写作。

立即免费体验

深入了解消除多黏菌素异质耐药的抗生素协同组合。

Insight into Antibiotic Synergy Combinations for Eliminating Colistin Heteroresistant .

机构信息

Laboratory of Medical Microbiology, Vaccine & Infectious Disease Institute, University of Antwerp, 2610 Antwerp, Belgium.

出版信息

Genes (Basel). 2023 Jul 10;14(7):1426. doi: 10.3390/genes14071426.

DOI:10.3390/genes14071426
PMID:37510330
原文链接:https://pmc.ncbi.nlm.nih.gov/articles/PMC10378790/
Abstract

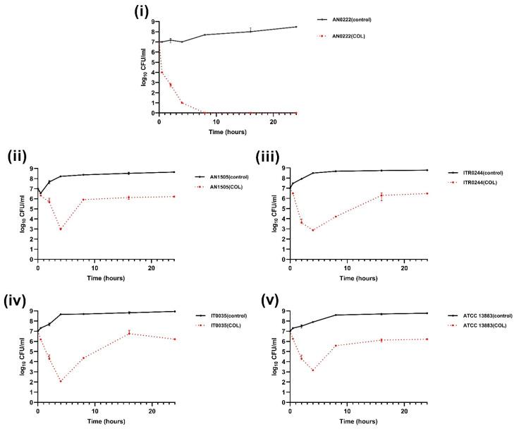
Colistin heteroresistance has been identified in several bacterial species, including and , and may underlie antibiotic therapy failures since it most often goes undetected by conventional antimicrobial susceptibility tests. This study utilizes population analysis profiling (PAP) and time-kill assay for the detection of heteroresistance in and for evaluating the association between in vitro regrowth and heteroresistance. The mechanisms of colistin resistance and the ability of combination therapies to suppress resistance selection were also analysed. In total, 3 (18%) of the 16 colistin-susceptible strains (MIC ≤ 2 mg/L) were confirmed to be heteroresistant to colistin by PAP assay. In contrast to the colistin-susceptible control strains, all three heteroresistant strains showed regrowth when exposed to colistin after 24 h following a rapid bactericidal action. Colistin resistance in all the resistant subpopulations was due to the disruption of the gene by various insertion elements such as IS of the IS family and IS of the IS family. Colistin combined with carbapenems (imipenem, meropenem), aminoglycosides (amikacin, gentamicin) or tigecycline was found to elicit in vitro synergistic effects against these colistin heteroresistant strains. Our experimental results showcase the potential of combination therapies for treatment of infections associated with colistin heteroresistance.

摘要

粘菌素异质性耐药已在多种细菌物种中被发现,包括 和 ,并且可能是抗生素治疗失败的基础,因为它通常无法通过常规抗菌药物敏感性测试检测到。本研究利用群体分析轮廓(PAP)和时间杀伤试验来检测 和 中的异质性耐药,并评估体外再生长与异质性耐药之间的关联。还分析了粘菌素耐药的机制以及联合治疗抑制耐药选择的能力。在总共 16 株粘菌素敏感的菌株(MIC ≤ 2 mg/L)中,有 3 株(18%)通过 PAP 试验被确认为粘菌素异质性耐药。与粘菌素敏感的对照菌株不同,所有三种异质性耐药菌株在经历快速杀菌作用 24 小时后暴露于粘菌素时都显示出再生长。所有耐药亚群的粘菌素耐药性是由于 基因被各种插入元件(如 IS 家族的 IS 和 IS 家族的 IS)破坏所致。粘菌素与碳青霉烯类(亚胺培南、美罗培南)、氨基糖苷类(阿米卡星、庆大霉素)或替加环素联合使用被发现对这些粘菌素异质性耐药菌株具有体外协同作用。我们的实验结果展示了联合治疗在治疗与粘菌素异质性耐药相关的 感染方面的潜力。

https://cdn.ncbi.nlm.nih.gov/pmc/blobs/eada/10378790/34a49a5a7352/genes-14-01426-g007.jpg
https://cdn.ncbi.nlm.nih.gov/pmc/blobs/eada/10378790/99dc7b0f73f0/genes-14-01426-g001.jpg
https://cdn.ncbi.nlm.nih.gov/pmc/blobs/eada/10378790/830a06426520/genes-14-01426-g002.jpg
https://cdn.ncbi.nlm.nih.gov/pmc/blobs/eada/10378790/0777a4747baf/genes-14-01426-g003.jpg
https://cdn.ncbi.nlm.nih.gov/pmc/blobs/eada/10378790/0f830c271d24/genes-14-01426-g004.jpg
https://cdn.ncbi.nlm.nih.gov/pmc/blobs/eada/10378790/8d51499a9edd/genes-14-01426-g005.jpg
https://cdn.ncbi.nlm.nih.gov/pmc/blobs/eada/10378790/53b2db0280ba/genes-14-01426-g006.jpg
https://cdn.ncbi.nlm.nih.gov/pmc/blobs/eada/10378790/34a49a5a7352/genes-14-01426-g007.jpg
https://cdn.ncbi.nlm.nih.gov/pmc/blobs/eada/10378790/99dc7b0f73f0/genes-14-01426-g001.jpg
https://cdn.ncbi.nlm.nih.gov/pmc/blobs/eada/10378790/830a06426520/genes-14-01426-g002.jpg
https://cdn.ncbi.nlm.nih.gov/pmc/blobs/eada/10378790/0777a4747baf/genes-14-01426-g003.jpg
https://cdn.ncbi.nlm.nih.gov/pmc/blobs/eada/10378790/0f830c271d24/genes-14-01426-g004.jpg
https://cdn.ncbi.nlm.nih.gov/pmc/blobs/eada/10378790/8d51499a9edd/genes-14-01426-g005.jpg
https://cdn.ncbi.nlm.nih.gov/pmc/blobs/eada/10378790/53b2db0280ba/genes-14-01426-g006.jpg
https://cdn.ncbi.nlm.nih.gov/pmc/blobs/eada/10378790/34a49a5a7352/genes-14-01426-g007.jpg

相似文献

1
Insight into Antibiotic Synergy Combinations for Eliminating Colistin Heteroresistant .深入了解消除多黏菌素异质耐药的抗生素协同组合。
Genes (Basel). 2023 Jul 10;14(7):1426. doi: 10.3390/genes14071426.
2
Combined effect of Polymyxin B and Tigecycline to overcome Heteroresistance in Carbapenem-Resistant Klebsiella pneumoniae.多黏菌素 B 和替加环素联合克服耐碳青霉烯类肺炎克雷伯菌异质性耐药的效果。
Microbiol Spectr. 2021 Oct 31;9(2):e0015221. doi: 10.1128/Spectrum.00152-21. Epub 2021 Oct 27.
3
Heteroresistance Is Associated With Regrowth During Colistin Treatment in Carbapenem-Resistant .异质性耐药与碳青霉烯类耐药菌黏菌素治疗期间的再生长有关。
Front Microbiol. 2022 Apr 7;13:868991. doi: 10.3389/fmicb.2022.868991. eCollection 2022.
4
Evaluation of double- and triple-antibiotic combinations for VIM- and NDM-producing Klebsiella pneumoniae by in vitro time-kill experiments.通过体外时间杀菌实验评估用于产VIM和NDM的肺炎克雷伯菌的双联和三联抗生素组合。
Antimicrob Agents Chemother. 2014;58(3):1757-62. doi: 10.1128/AAC.00741-13. Epub 2014 Jan 6.
5
Colistin Heteroresistance Is Largely Undetected among Carbapenem-Resistant in the United States.美碳青霉烯类耐药肠杆菌科中,黏菌素异质性耐药的检出率较低。
mBio. 2021 Jan 26;12(1):e02881-20. doi: 10.1128/mBio.02881-20.
6
Genomic Characterization of Colistin Heteroresistance in Klebsiella pneumoniae during a Nosocomial Outbreak.医院爆发期间肺炎克雷伯菌中多黏菌素异质性耐药的基因组特征分析
Antimicrob Agents Chemother. 2016 Oct 21;60(11):6837-6843. doi: 10.1128/AAC.01344-16. Print 2016 Nov.
7
Efficacy of colistin alone and in various combinations for the treatment of experimental osteomyelitis due to carbapenemase-producing Klebsiella pneumoniae.多黏菌素单用及联合用药治疗产碳青霉烯酶肺炎克雷伯菌致实验性骨髓炎的疗效。
J Antimicrob Chemother. 2019 Sep 1;74(9):2666-2675. doi: 10.1093/jac/dkz257.
8
evaluation of antibiotic synergy for carbapenem-resistant clinical isolates.碳青霉烯类耐药临床分离株抗生素协同作用评价。
Indian J Med Res. 2021 Mar;154(3):520-526. doi: 10.4103/ijmr.IJMR_760_19.
9
In vitro evaluation of different antimicrobial combinations against carbapenemase-producing Klebsiella pneumoniae: the activity of the double-carbapenem regimen is related to meropenem MIC value.体外评估不同抗菌药物组合对产碳青霉烯酶肺炎克雷伯菌的抗菌活性:双碳青霉烯方案的活性与美罗培南 MIC 值相关。
J Antimicrob Chemother. 2017 Jul 1;72(7):1981-1984. doi: 10.1093/jac/dkx084.
10
Activity of tigecycline alone and in combination with colistin and meropenem against Klebsiella pneumoniae carbapenemase (KPC)-producing Enterobacteriaceae strains by time-kill assay.替加环素单独及联合黏菌素和美罗培南对产碳青霉烯酶肠杆菌科细菌(KPC)菌株的时间杀菌试验研究。
Int J Antimicrob Agents. 2011 Mar;37(3):244-7. doi: 10.1016/j.ijantimicag.2010.10.031. Epub 2011 Jan 13.

引用本文的文献

1
Molecular Characterization of Carbapenemase Genes in Carbapenem-Resistant Klebsiella pneumoniae Isolates.耐碳青霉烯类肺炎克雷伯菌分离株中碳青霉烯酶基因的分子特征分析
Curr Microbiol. 2025 Jul 29;82(9):418. doi: 10.1007/s00284-025-04403-x.
2
Insight into the Mechanisms and Clinical Relevance of Antifungal Heteroresistance.深入了解抗真菌异质性耐药的机制及临床相关性。
J Fungi (Basel). 2025 Feb 13;11(2):143. doi: 10.3390/jof11020143.
3
Systematic review and meta-analysis of colistin heteroresistance in Klebsiella pneumoniae isolates.

本文引用的文献

1
International manufacturing and trade in colistin, its implications in colistin resistance and One Health global policies: a microbiological, economic, and anthropological study.国际多粘菌素的生产和贸易及其对多粘菌素耐药性的影响和“同一健康”全球政策:一项微生物学、经济学和人类学研究。
Lancet Microbe. 2023 Apr;4(4):e264-e276. doi: 10.1016/S2666-5247(22)00387-1. Epub 2023 Mar 14.
2
Colistin Treatment for Multidrug-Resistant Gram-Negative Infections in Children: Caution Required for Nephrotoxicity.儿童多药耐药革兰阴性菌感染的黏菌素治疗:需警惕肾毒性
Sisli Etfal Hastan Tip Bul. 2022 Sep 22;56(3):427-434. doi: 10.14744/SEMB.2021.69851. eCollection 2022.
3
肺炎克雷伯菌分离株中黏菌素异质性耐药的系统评价和荟萃分析
BMC Infect Dis. 2025 Feb 12;25(1):207. doi: 10.1186/s12879-025-10600-7.
4
potentiation of tetracyclines in by RW01, a new cyclic peptide.新型环肽RW01对四环素的增效作用
Antimicrob Agents Chemother. 2025 Feb 13;69(2):e0145924. doi: 10.1128/aac.01459-24. Epub 2024 Dec 23.
5
Overexpression of KPC contributes to ceftazidime-avibactam heteroresistance in clinical isolates of carbapenem-resistant .KPC的过表达导致耐碳青霉烯类临床分离株对头孢他啶-阿维巴坦产生异质性耐药。
Front Cell Infect Microbiol. 2024 Dec 6;14:1450530. doi: 10.3389/fcimb.2024.1450530. eCollection 2024.
6
A novel small RNA PhaS contributes to polymyxin B-heteroresistance in carbapenem-resistant .一种新型小 RNA PhaS 有助于碳青霉烯类耐药. 中的多黏菌素 B 异抗性
Emerg Microbes Infect. 2024 Dec;13(1):2366354. doi: 10.1080/22221751.2024.2366354. Epub 2024 Jul 10.
7
Assessment of Colistin Heteroresistance among Multidrug-Resistant Isolated from Intensive Care Patients in Europe.欧洲重症监护患者分离出的多重耐药菌中黏菌素异质性耐药的评估
Antibiotics (Basel). 2024 Mar 20;13(3):281. doi: 10.3390/antibiotics13030281.
Antibiotic heteroresistance in ESKAPE pathogens, from bench to bedside.
ESKAPE 病原体的抗生素异质性耐药性:从基础到临床。
Clin Microbiol Infect. 2023 Mar;29(3):320-325. doi: 10.1016/j.cmi.2022.10.018. Epub 2022 Oct 18.
4
Resistance mechanisms in Gram-negative bacteria.革兰氏阴性菌的耐药机制。
Med Intensiva (Engl Ed). 2022 Jul;46(7):392-402. doi: 10.1016/j.medine.2022.05.004. Epub 2022 May 31.
5
Heteroresistance Is Associated With Regrowth During Colistin Treatment in Carbapenem-Resistant .异质性耐药与碳青霉烯类耐药菌黏菌素治疗期间的再生长有关。
Front Microbiol. 2022 Apr 7;13:868991. doi: 10.3389/fmicb.2022.868991. eCollection 2022.
6
Infectious Diseases Society of America 2022 Guidance on the Treatment of Extended-Spectrum β-lactamase Producing Enterobacterales (ESBL-E), Carbapenem-Resistant Enterobacterales (CRE), and Pseudomonas aeruginosa with Difficult-to-Treat Resistance (DTR-P. aeruginosa).美国传染病学会 2022 年关于治疗产超广谱β-内酰胺酶肠杆菌科细菌(ESBL-E)、耐碳青霉烯肠杆菌科细菌(CRE)和治疗困难的耐药铜绿假单胞菌(DTR-P. aeruginosa)的指导意见。
Clin Infect Dis. 2022 Aug 25;75(2):187-212. doi: 10.1093/cid/ciac268.
7
Prevalence of insertion sequence elements in plasmids relating to mgrB gene disruption causing colistin resistance in Klebsiella pneumoniae.携带 mgrB 基因中断导致肺炎克雷伯菌对多粘菌素耐药相关质粒中插入序列元件的流行情况。
Microbiologyopen. 2022 Feb;11(1):e1262. doi: 10.1002/mbo3.1262.
8
Combined effect of Polymyxin B and Tigecycline to overcome Heteroresistance in Carbapenem-Resistant Klebsiella pneumoniae.多黏菌素 B 和替加环素联合克服耐碳青霉烯类肺炎克雷伯菌异质性耐药的效果。
Microbiol Spectr. 2021 Oct 31;9(2):e0015221. doi: 10.1128/Spectrum.00152-21. Epub 2021 Oct 27.
9
In vitro and in vivo synergistic effects of tigecycline combined with aminoglycosides on carbapenem-resistant Klebsiella pneumoniae.替加环素与氨基糖苷类药物联合对碳青霉烯类耐药肺炎克雷伯菌的体外及体内协同作用。
J Antimicrob Chemother. 2021 Jul 15;76(8):2097-2105. doi: 10.1093/jac/dkab122.
10
Detection of colistin-resistant populations prior to antibiotic exposure in KPC-2-producing Klebsiella pneumoniae clinical isolates.在抗生素暴露之前检测产 KPC-2 肺炎克雷伯菌临床分离株中的多黏菌素耐药菌。
J Microbiol. 2021 Jun;59(6):590-597. doi: 10.1007/s12275-021-0610-1. Epub 2021 Mar 29.