Suppr超能文献

基于多组学分析的薏苡仁种子萌发激素调控研究

Analysis of Hormone Regulation on Seed Germination of Coix Based on Muli-Omics Analysis.

作者信息

Tuo Donghao, Wu Jiawen, Zou Juan, Dong Guoqing, Zeng Wanyong, Li Jinhua, Du Dengxiang

机构信息

School of Life Science and Technology, Wuhan Polytechnic University, Wuhan 430023, China.

出版信息

Plants (Basel). 2023 Jul 20;12(14):2700. doi: 10.3390/plants12142700.

Abstract

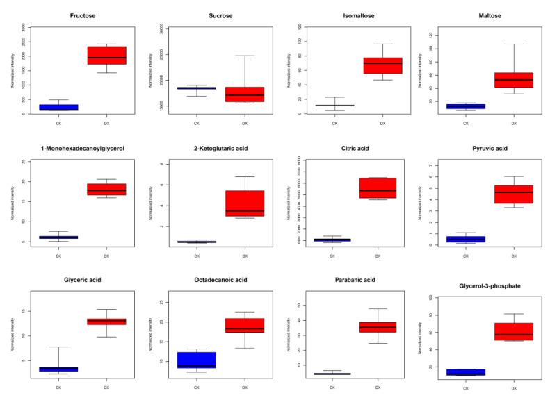
Seed germination is an important stage of growth and reproduction and plays an important role in the life cycle of spermatophyte. It is co-determined by both genetic and environmental factors, and plant hormone regulation may be a highly conservative mechanism. (coix) is a grain with balanced nutrition for medicine and food and has substantial production value. It is an important part of agricultural production, and the efficiency of seed germination after sowing is a key link. In this study, coix species "small white shell Xingren" was used as the experimental material, and changes in gene expression levels and metabolite enrichment in seeds were identified by transcriptome and metabonomic analysis before and after seed germination. A total of 599 metabolites, including those from amino acid metabolism, sugar metabolism, and fatty acid metabolism, were significantly increased in germinating coix. Simultaneously, 10,929 differentially expressed genes (DEGs) were identified, and functional clusters of genes were also significantly clustered in hormone-signaling and glucose and fatty acid metabolism. In addition, this study found that a considerable number of hormone-signaling genes were significantly up-regulated during seed germination, activating multiple metabolic processes. The results of our conjoint analysis of multi omics showed that glucose and fatty acid metabolism played an important role in seed germination under hormone regulation.

摘要

种子萌发是生长和繁殖的重要阶段,在种子植物的生命周期中起着重要作用。它由遗传和环境因素共同决定,而植物激素调节可能是一种高度保守的机制。薏苡仁是一种药食兼用、营养均衡的谷物,具有很高的生产价值。它是农业生产的重要组成部分,播种后种子萌发的效率是关键环节。本研究以薏苡仁品种“兴仁小白壳”为实验材料,通过转录组和代谢组学分析,鉴定种子萌发前后基因表达水平的变化和种子中代谢物的富集情况。在萌发的薏苡仁中,共有599种代谢物显著增加,包括来自氨基酸代谢、糖代谢和脂肪酸代谢的代谢物。同时,鉴定出10929个差异表达基因(DEG),基因功能簇也在激素信号传导以及葡萄糖和脂肪酸代谢中显著聚类。此外,本研究发现,在种子萌发过程中,相当数量的激素信号基因显著上调,激活了多个代谢过程。我们多组学联合分析的结果表明,在激素调节下,葡萄糖和脂肪酸代谢在种子萌发中起重要作用。

https://cdn.ncbi.nlm.nih.gov/pmc/blobs/309d/10385750/8e9c1e5f90f1/plants-12-02700-g001.jpg

文献AI研究员

20分钟写一篇综述,助力文献阅读效率提升50倍。

立即体验

用中文搜PubMed

大模型驱动的PubMed中文搜索引擎

马上搜索

文档翻译

学术文献翻译模型,支持多种主流文档格式。

立即体验