Suppr超能文献

用于增强型储能设备的稻壳活性炭表征

Characterization of Activated Carbon from Rice Husk for Enhanced Energy Storage Devices.

作者信息

Yerdauletov Meir S, Nazarov Kuanysh, Mukhametuly Bagdaulet, Yeleuov Mukhtar A, Daulbayev Chingis, Abdulkarimova Roza, Yskakov Almas, Napolskiy Filipp, Krivchenko Victor

机构信息

Institute of Nuclear Physics, Almaty 050032, Kazakhstan.

Joint Institute for Nuclear Research, 141980 Dubna, Russia.

出版信息

Molecules. 2023 Aug 2;28(15):5818. doi: 10.3390/molecules28155818.

Abstract

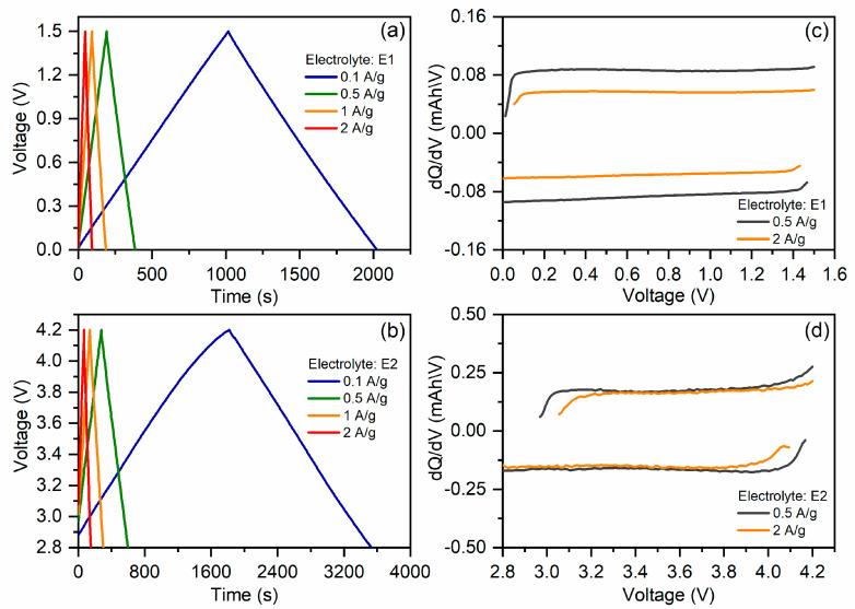
The production of activated carbon (AC) from lignocellulosic biomass through chemical activation is gaining global attention due to its scalability, economic viability, and environmental advantages. Chemical activation offers several benefits, including energy efficiency, reduced carbonization time, and lower temperature requirements. In this study, potassium hydroxide (KOH) was employed for chemical activation, resulting in activated carbon with a high specific surface area of ~3050 m/g. The structural analysis revealed the presence of graphitized carbon in the activated carbon matrix, accounting for over 15%. The X-ray diffraction (XRD) technique was employed to investigate the activated carbon derived from rice husk (RH). The potential applications of activated carbon obtained from rice husks through chemical activation were explored, including its use for heavy metal removal, elimination of organic pollutants, and as an active material in hybrid energy storage devices. Furthermore, a scaling methodology for the production of activated carbon was proposed, facilitating its industrial implementation.

摘要

通过化学活化从木质纤维素生物质生产活性炭(AC)因其可扩展性、经济可行性和环境优势而受到全球关注。化学活化具有多种益处,包括能源效率高、碳化时间缩短以及温度要求较低。在本研究中,使用氢氧化钾(KOH)进行化学活化,得到了比表面积高达约3050 m/g的活性炭。结构分析表明,活性炭基质中存在石墨化碳,占比超过15%。采用X射线衍射(XRD)技术研究了稻壳(RH)衍生的活性炭。探索了通过化学活化从稻壳获得的活性炭的潜在应用,包括用于去除重金属、消除有机污染物以及作为混合储能装置中的活性材料。此外,还提出了一种活性炭生产的规模化方法,以促进其工业应用。

https://cdn.ncbi.nlm.nih.gov/pmc/blobs/1b90/10421275/f3168788804c/molecules-28-05818-g001.jpg

文献检索

告别复杂PubMed语法,用中文像聊天一样搜索,搜遍4000万医学文献。AI智能推荐,让科研检索更轻松。

立即免费搜索

文件翻译

保留排版,准确专业,支持PDF/Word/PPT等文件格式,支持 12+语言互译。

免费翻译文档

深度研究

AI帮你快速写综述,25分钟生成高质量综述,智能提取关键信息,辅助科研写作。

立即免费体验