• 文献检索
  • 文档翻译
  • 深度研究
  • 学术资讯
  • Suppr Zotero 插件Zotero 插件
  • 邀请有礼
  • 套餐&价格
  • 历史记录
应用&插件
Suppr Zotero 插件Zotero 插件浏览器插件Mac 客户端Windows 客户端微信小程序
定价
高级版会员购买积分包购买API积分包
服务
文献检索文档翻译深度研究API 文档MCP 服务
关于我们
关于 Suppr公司介绍联系我们用户协议隐私条款
关注我们

Suppr 超能文献

核心技术专利:CN118964589B侵权必究
粤ICP备2023148730 号-1Suppr @ 2026

文献检索

告别复杂PubMed语法,用中文像聊天一样搜索,搜遍4000万医学文献。AI智能推荐,让科研检索更轻松。

立即免费搜索

文件翻译

保留排版,准确专业,支持PDF/Word/PPT等文件格式,支持 12+语言互译。

免费翻译文档

深度研究

AI帮你快速写综述,25分钟生成高质量综述,智能提取关键信息,辅助科研写作。

立即免费体验

基于人群队列研究的结肠癌肺转移预后预测模型的建立和验证。

Development and validation of prediction models for the prognosis of colon cancer with lung metastases: a population-based cohort study.

机构信息

School of Medicine, Huaqiao University, Quanzhou, China.

出版信息

Front Endocrinol (Lausanne). 2023 Jul 31;14:1073360. doi: 10.3389/fendo.2023.1073360. eCollection 2023.

DOI:10.3389/fendo.2023.1073360
PMID:37583430
原文链接:https://pmc.ncbi.nlm.nih.gov/articles/PMC10424923/
Abstract

BACKGROUND

Current studies on the establishment of prognostic models for colon cancer with lung metastasis (CCLM) were lacking. This study aimed to construct and validate prediction models of overall survival (OS) and cancer-specific survival (CSS) probability in CCLM patients.

METHOD

Data on 1,284 patients with CCLM were collected from the Surveillance, Epidemiology, and End Results (SEER) database. Patients were randomly assigned with 7:3 (stratified by survival time) to a development set and a validation set on the basis of computer-calculated random numbers. After screening the predictors by the least absolute shrinkage and selection operator (LASSO) and multivariate Cox regression, the suitable predictors were entered into Cox proportional hazard models to build prediction models. Calibration curves, concordance index (C-index), time-dependent receiver operating characteristic (ROC) curves, and decision curve analysis (DCA) were used to perform the validation of models. Based on model-predicted risk scores, patients were divided into low-risk and high-risk groups. The Kaplan-Meier (K-M) plots and log-rank test were applied to perform survival analysis between the two groups.

RESULTS

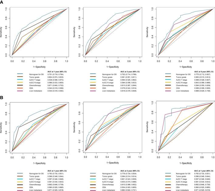
Building upon the LASSO and multivariate Cox regression, six variables were significantly associated with OS and CSS (i.e., tumor grade, AJCC T stage, AJCC N stage, chemotherapy, CEA, liver metastasis). In development, validation, and expanded testing sets, AUCs and C-indexes of the OS and CSS prediction models were all greater than or near 0.7, which indicated excellent predictability of models. On the whole, the calibration curves coincided with the diagonal in two models. DCA indicated that the models had higher clinical benefit than any single risk factor. Survival analysis results showed that the prognosis was worse in the high-risk group than in the low-risk group, which suggested that the models had significant discrimination for patients with different prognoses.

CONCLUSION

After verification, our prediction models of CCLM are reliable and can predict the OS and CSS of CCLM patients in the next 1, 3, and 5 years, providing valuable guidance for clinical prognosis estimation and individualized administration of patients with CCLM.

摘要

背景

目前缺乏关于建立结肠癌伴肺转移(CCLM)预后模型的研究。本研究旨在构建和验证 CCLM 患者总生存(OS)和癌症特异性生存(CSS)概率的预测模型。

方法

从监测、流行病学和最终结果(SEER)数据库中收集了 1284 例 CCLM 患者的数据。根据计算机计算的随机数,患者被 7:3(按生存时间分层)随机分配到开发集和验证集中。在通过最小绝对收缩和选择算子(LASSO)和多变量 Cox 回归筛选预测因子后,将合适的预测因子输入 Cox 比例风险模型中构建预测模型。校准曲线、一致性指数(C 指数)、时间依赖性接收者操作特征(ROC)曲线和决策曲线分析(DCA)用于模型验证。基于模型预测的风险评分,患者被分为低风险组和高风险组。采用 Kaplan-Meier(K-M)图和对数秩检验比较两组之间的生存分析。

结果

基于 LASSO 和多变量 Cox 回归,有 6 个变量与 OS 和 CSS 显著相关(即肿瘤分级、AJCC T 分期、AJCC N 分期、化疗、CEA、肝转移)。在开发、验证和扩展测试集中,OS 和 CSS 预测模型的 AUC 和 C 指数均大于或接近 0.7,表明模型具有良好的预测能力。总的来说,两个模型的校准曲线与对角线重合。DCA 表明模型比任何单一风险因素都具有更高的临床获益。生存分析结果表明,高风险组的预后比低风险组差,这表明模型对不同预后的患者具有显著的区分能力。

结论

经过验证,我们的 CCLM 预测模型是可靠的,可以预测 CCLM 患者未来 1、3 和 5 年的 OS 和 CSS,为临床预后评估和 CCLM 患者的个体化治疗提供有价值的指导。

https://cdn.ncbi.nlm.nih.gov/pmc/blobs/9aab/10424923/cfe6b79e2963/fendo-14-1073360-g011.jpg
https://cdn.ncbi.nlm.nih.gov/pmc/blobs/9aab/10424923/002c316bc571/fendo-14-1073360-g001.jpg
https://cdn.ncbi.nlm.nih.gov/pmc/blobs/9aab/10424923/7e8e3529d5dc/fendo-14-1073360-g002.jpg
https://cdn.ncbi.nlm.nih.gov/pmc/blobs/9aab/10424923/ed69bd286a35/fendo-14-1073360-g003.jpg
https://cdn.ncbi.nlm.nih.gov/pmc/blobs/9aab/10424923/80f7814a33e5/fendo-14-1073360-g004.jpg
https://cdn.ncbi.nlm.nih.gov/pmc/blobs/9aab/10424923/23854346da4c/fendo-14-1073360-g005.jpg
https://cdn.ncbi.nlm.nih.gov/pmc/blobs/9aab/10424923/d1543744feaa/fendo-14-1073360-g006.jpg
https://cdn.ncbi.nlm.nih.gov/pmc/blobs/9aab/10424923/b33ddc397f9d/fendo-14-1073360-g007.jpg
https://cdn.ncbi.nlm.nih.gov/pmc/blobs/9aab/10424923/21f57960bbb7/fendo-14-1073360-g008.jpg
https://cdn.ncbi.nlm.nih.gov/pmc/blobs/9aab/10424923/76ce20bfd57c/fendo-14-1073360-g009.jpg
https://cdn.ncbi.nlm.nih.gov/pmc/blobs/9aab/10424923/63ee9e1a785c/fendo-14-1073360-g010.jpg
https://cdn.ncbi.nlm.nih.gov/pmc/blobs/9aab/10424923/cfe6b79e2963/fendo-14-1073360-g011.jpg
https://cdn.ncbi.nlm.nih.gov/pmc/blobs/9aab/10424923/002c316bc571/fendo-14-1073360-g001.jpg
https://cdn.ncbi.nlm.nih.gov/pmc/blobs/9aab/10424923/7e8e3529d5dc/fendo-14-1073360-g002.jpg
https://cdn.ncbi.nlm.nih.gov/pmc/blobs/9aab/10424923/ed69bd286a35/fendo-14-1073360-g003.jpg
https://cdn.ncbi.nlm.nih.gov/pmc/blobs/9aab/10424923/80f7814a33e5/fendo-14-1073360-g004.jpg
https://cdn.ncbi.nlm.nih.gov/pmc/blobs/9aab/10424923/23854346da4c/fendo-14-1073360-g005.jpg
https://cdn.ncbi.nlm.nih.gov/pmc/blobs/9aab/10424923/d1543744feaa/fendo-14-1073360-g006.jpg
https://cdn.ncbi.nlm.nih.gov/pmc/blobs/9aab/10424923/b33ddc397f9d/fendo-14-1073360-g007.jpg
https://cdn.ncbi.nlm.nih.gov/pmc/blobs/9aab/10424923/21f57960bbb7/fendo-14-1073360-g008.jpg
https://cdn.ncbi.nlm.nih.gov/pmc/blobs/9aab/10424923/76ce20bfd57c/fendo-14-1073360-g009.jpg
https://cdn.ncbi.nlm.nih.gov/pmc/blobs/9aab/10424923/63ee9e1a785c/fendo-14-1073360-g010.jpg
https://cdn.ncbi.nlm.nih.gov/pmc/blobs/9aab/10424923/cfe6b79e2963/fendo-14-1073360-g011.jpg

相似文献

1
Development and validation of prediction models for the prognosis of colon cancer with lung metastases: a population-based cohort study.基于人群队列研究的结肠癌肺转移预后预测模型的建立和验证。
Front Endocrinol (Lausanne). 2023 Jul 31;14:1073360. doi: 10.3389/fendo.2023.1073360. eCollection 2023.
2
Development and validation of prognostic nomograms for early-onset colon cancer in different tumor locations: a population-based study.不同肿瘤部位早发性结肠癌预后列线图的建立与验证:基于人群的研究。
BMC Gastroenterol. 2023 Oct 21;23(1):362. doi: 10.1186/s12876-023-02991-1.
3
Nomograms-based prediction of overall and cancer-specific survivals for patients diagnosed with major salivary gland carcinoma.基于列线图对确诊为大唾液腺癌患者的总生存期和癌症特异性生存期的预测
Ann Transl Med. 2021 Aug;9(15):1230. doi: 10.21037/atm-21-1725.
4
Development and validation of prognostic models for small cell lung cancer patients with liver metastasis: a SEER population-based study.开发和验证小细胞肺癌伴肝转移患者的预后模型:一项 SEER 人群研究。
BMC Pulm Med. 2024 Jan 4;24(1):13. doi: 10.1186/s12890-023-02832-7.
5
The nomograms for predicting overall and cancer-specific survival in elderly patients with early-stage lung cancer: A population-based study using SEER database.基于 SEER 数据库的人群研究:用于预测老年早期肺癌患者总生存和癌症特异生存的列线图。
Front Public Health. 2022 Sep 8;10:946299. doi: 10.3389/fpubh.2022.946299. eCollection 2022.
6
Nomogram to Predict the Occurrence and Prognosis of Distant Metastasis in T1N0 Colon Cancer: A SEER Data-Based Study.预测T1N0期结肠癌远处转移发生及预后的列线图:一项基于监测、流行病学和最终结果(SEER)数据库的研究
Int J Gen Med. 2021 Nov 30;14:9131-9143. doi: 10.2147/IJGM.S335151. eCollection 2021.
7
Prognosticators and Prognostic Nomograms for Leiomyosarcoma Patients With Metastasis.转移性平滑肌肉瘤患者的预后预测指标及预后列线图
Front Oncol. 2022 Mar 18;12:840962. doi: 10.3389/fonc.2022.840962. eCollection 2022.
8
Establishment of predictive nomogram and web-based survival risk calculator for malignant pleural mesothelioma: A SEER database analysis.恶性胸膜间皮瘤预测列线图及基于网络的生存风险计算器的建立:一项监测、流行病学和最终结果(SEER)数据库分析
Front Oncol. 2022 Oct 7;12:1027149. doi: 10.3389/fonc.2022.1027149. eCollection 2022.
9
Development and validation of nomograms for predicting survival of elderly patients with stage I small-cell lung cancer.列线图预测Ⅰ期老年小细胞肺癌患者生存的建立与验证。
Bosn J Basic Med Sci. 2021 Oct 1;21(5):632-641. doi: 10.17305/bjbms.2020.5420.
10
Early distinction of lymph node metastasis in patients with soft tissue sarcoma and individualized survival prediction using the online available nomograms: A population-based analysis.软组织肉瘤患者淋巴结转移的早期鉴别及使用在线可用列线图进行个体化生存预测:一项基于人群的分析
Front Oncol. 2022 Dec 7;12:959804. doi: 10.3389/fonc.2022.959804. eCollection 2022.

引用本文的文献

1
Colorectal Cancers and Immunotherapy.结直肠癌与免疫疗法
Cancer Treat Res. 2025;129:83-102. doi: 10.1007/978-3-031-97242-3_5.
2
Development and validation of a prognostic model for post-surgical overall survival in Asian colon cancer patients: a real-world population-based study.亚洲结肠癌患者术后总生存预后模型的开发与验证:一项基于真实世界人群的研究
Front Oncol. 2025 Apr 17;15:1541561. doi: 10.3389/fonc.2025.1541561. eCollection 2025.
3
Development and validation of nomograms for predicting overall survival and cancer-specific survival in unresected colorectal cancer patients undergoing chemotherapy.

本文引用的文献

1
Clinicopathological characteristics and prognosis of colon cancer with lung metastasis without liver metastasis: A large population-based analysis.结肠癌伴肺转移而无肝转移的临床病理特征和预后:一项大型基于人群的分析。
Medicine (Baltimore). 2022 Oct 21;101(42):e31333. doi: 10.1097/MD.0000000000031333.
2
Global, regional, and national burden of colorectal cancer and its risk factors, 1990-2019: a systematic analysis for the Global Burden of Disease Study 2019.全球、区域和国家结直肠癌及其危险因素负担,1990-2019 年:2019 年全球疾病负担研究的系统分析。
Lancet Gastroenterol Hepatol. 2022 Jul;7(7):627-647. doi: 10.1016/S2468-1253(22)00044-9. Epub 2022 Apr 7.
3
预测接受化疗的未切除结直肠癌患者总生存期和癌症特异性生存期的列线图的开发与验证
Sci Rep. 2025 Apr 11;15(1):12477. doi: 10.1038/s41598-025-96526-1.
4
Development and validation of a clinical prognosis prediction model for malignant intestinal obstruction: A retrospective cohort study.恶性肠梗阻临床预后预测模型的开发与验证:一项回顾性队列研究。
Sci Rep. 2025 Apr 4;15(1):11550. doi: 10.1038/s41598-025-96593-4.
5
Prediction of acute myeloid leukemia prognosis based on autophagy features and characterization of its immune microenvironment.基于自噬特征的急性髓系白血病预后预测及其免疫微环境特征分析
Front Immunol. 2024 Nov 22;15:1489171. doi: 10.3389/fimmu.2024.1489171. eCollection 2024.
6
Construction and validation of a novel web-based nomogram for primary ocular adnexal lymphoma: a real-world analysis based on the Surveillance, Epidemiology, and End Results database.一种用于原发性眼附属器淋巴瘤的新型基于网络的列线图的构建与验证:基于监测、流行病学和最终结果数据库的真实世界分析
Transl Cancer Res. 2024 Feb 29;13(2):864-878. doi: 10.21037/tcr-23-1556. Epub 2024 Feb 23.
Survival Nomogram for Metastasis Colon Cancer Patients Based on SEER Database.
基于监测、流行病学和最终结果(SEER)数据库的转移性结肠癌患者生存列线图
Front Genet. 2022 Feb 9;13:832060. doi: 10.3389/fgene.2022.832060. eCollection 2022.
4
Prognostic Nomogram for Liver Metastatic Colon Cancer Based on Histological Type, Tumor Differentiation, and Tumor Deposit: A TRIPOD Compliant Large-Scale Survival Study.基于组织学类型、肿瘤分化程度和肿瘤沉积物的肝转移性结肠癌预后列线图:一项符合TRIPOD标准的大规模生存研究
Front Oncol. 2021 Oct 12;11:604882. doi: 10.3389/fonc.2021.604882. eCollection 2021.
5
Development and validation of survival nomograms in colorectal cancer patients with synchronous liver metastases underwent simultaneous surgical treatment of primary and metastatic lesions.同步肝转移的结直肠癌患者同时接受原发灶和转移灶手术治疗的生存列线图的开发与验证
Am J Cancer Res. 2021 Jun 15;11(6):2654-2669. eCollection 2021.
6
Systematic Pan-Cancer Population-Based Analysis Reveals the Incidence and Prognosis of Lung Metastases at Diagnosis.基于人群的系统性泛癌分析揭示了诊断时肺转移的发生率和预后。
J Oncol. 2021 Jun 15;2021:9999968. doi: 10.1155/2021/9999968. eCollection 2021.
7
A Prognostic Nomogram of Colon Cancer With Liver Metastasis: A Study of the US SEER Database and a Chinese Cohort.一项关于伴有肝转移的结肠癌的预后列线图:美国监测、流行病学和最终结果(SEER)数据库及一个中国队列的研究
Front Oncol. 2021 Feb 26;11:591009. doi: 10.3389/fonc.2021.591009. eCollection 2021.
8
Global Cancer Statistics 2020: GLOBOCAN Estimates of Incidence and Mortality Worldwide for 36 Cancers in 185 Countries.《全球癌症统计数据 2020:全球 185 个国家和地区 36 种癌症的发病率和死亡率估计》。
CA Cancer J Clin. 2021 May;71(3):209-249. doi: 10.3322/caac.21660. Epub 2021 Feb 4.
9
Predictive and Prognostic Factors of Synchronous Colorectal Lung-Limited Metastasis.同步性结直肠癌肺局限性转移的预测和预后因素
Gastroenterol Res Pract. 2020 Nov 23;2020:6131485. doi: 10.1155/2020/6131485. eCollection 2020.
10
Predictive Risk Factors and Online Nomograms for Synchronous Colon Cancer With Liver Metastasis.同步性结肠癌肝转移的预测风险因素及在线列线图
Front Oncol. 2020 Oct 2;10:1681. doi: 10.3389/fonc.2020.01681. eCollection 2020.