Renal Division, Peking University First Hospital, Kidney Genetics Center, Peking University Institute of Nephrology, Key Laboratory of Renal Disease, Ministry of Health of China, Key Laboratory of Chronic Kidney Disease Prevention and Treatment, Peking University, Ministry of Education, Beijing, China.
Hunan Provincial Key Lab on Bioinformatics, School of Computer Science and Engineering, Central South University, Changsha, China.
Front Immunol. 2023 Aug 4;14:1224631. doi: 10.3389/fimmu.2023.1224631. eCollection 2023.
Immunoglobulin A nephropathy (IgAN) is one of the leading causes of end-stage kidney disease (ESKD). Many studies have shown the significance of pathological manifestations in predicting the outcome of patients with IgAN, especially -score of Oxford classification. Evaluating prognosis may be hampered in patients without renal biopsy.
A baseline dataset of 690 patients with IgAN and an independent follow-up dataset of 1,168 patients were used as training and testing sets to develop the pathology -score prediction ( ) model based on the stacking algorithm, respectively. The 5-year ESKD prediction models using clinical variables (base model), clinical variables and real pathological -score (base model plus ), and clinical variables and (base model plus ) were developed separately in 1,168 patients with regular follow-up to evaluate whether could assist in predicting ESKD. In addition, an external validation set consisting of 355 patients was used to evaluate the performance of the 5-year ESKD prediction model using .
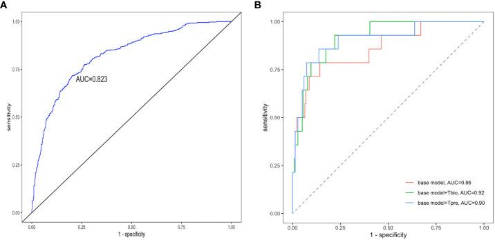
The features selected by AUCRF for the model included age, systolic arterial pressure, diastolic arterial pressure, proteinuria, eGFR, serum IgA, and uric acid. The AUC of the was 0.82 (95% CI: 0.80-0.85) in an independent testing set. For the 5-year ESKD prediction model, the AUC of the base model was 0.86 (95% CI: 0.75-0.97). When the was added to the base model, there was an increase in AUC [from 0.86 (95% CI: 0.75-0.97) to 0.92 (95% CI: 0.85-0.98); = 0.03]. There was no difference in AUC between the base model plus and the base model plus [0.90 (95% CI: 0.82-0.99) . 0.92 (95% CI: 0.85-0.98), = 0.52]. The AUC of the 5-year ESKD prediction model using was 0.93 (95% CI: 0.87-0.99) in the external validation set.
A pathology -score prediction ( ) model using routine clinical characteristics was constructed, which could predict the pathological severity and assist clinicians to predict the prognosis of IgAN patients lacking kidney pathology scores.
免疫球蛋白 A 肾病(IgAN)是导致终末期肾病(ESKD)的主要原因之一。许多研究表明,病理表现对预测 IgAN 患者的预后具有重要意义,尤其是牛津分类的 -评分。在没有肾活检的情况下,评估预后可能会受到阻碍。
分别使用 690 例 IgAN 患者的基线数据集和 1168 例患者的独立随访数据集作为训练和测试集,基于堆叠算法建立病理 -评分预测()模型。在 1168 例有定期随访的患者中,分别建立了基于临床变量的 5 年 ESKD 预测模型(基础模型)、基于临床变量和实际病理 -评分(基础模型加)和基于临床变量和(基础模型加)的预测模型,以评估是否可以帮助预测 ESKD。此外,还使用包含 355 例患者的外部验证集来评估使用的 5 年 ESKD 预测模型的性能。
AUCRF 为模型选择的特征包括年龄、收缩压、舒张压、蛋白尿、eGFR、血清 IgA 和尿酸。在独立测试集中,的 AUC 为 0.82(95%CI:0.80-0.85)。对于 5 年 ESKD 预测模型,基础模型的 AUC 为 0.86(95%CI:0.75-0.97)。当将添加到基础模型中时,AUC 增加[从 0.86(95%CI:0.75-0.97)增加到 0.92(95%CI:0.85-0.98);=0.03]。基础模型加与基础模型加的 AUC 无差异[0.90(95%CI:0.82-0.99)与 0.92(95%CI:0.85-0.98),=0.52]。在外部验证集中,使用的 5 年 ESKD 预测模型的 AUC 为 0.93(95%CI:0.87-0.99)。
构建了一种使用常规临床特征的病理 -评分预测()模型,可预测病理严重程度,并帮助临床医生预测缺乏肾脏病理评分的 IgAN 患者的预后。